CSS3 中新增的变形如何使用

1,726 阅读18分钟

CSS3 变形相关知识

变形介绍

CSS2.1 中的页面都是静态的,多年来,Web 设计师依赖于图片、Flash 或者 JavaScript 才能完成修改页面的外观。CSS3 改变了设计师这种思维,借助 CSS3 可以轻松的倾斜、缩放、移动以及翻转元素。

20129 月,W3C 组织发布了 CSS3 变形工作草案。允许 CSS 把元素变成 2D 或者 3D 空间,这其实就是 CSS32D 变形和 3D 变形。

CSS3 变形是一些效果的集合,比如平移、旋转、缩放和倾斜效果,每个效果通过变形函数(transform function)来实现。在此之前,要想实现这些效果,必须依赖图片、Flash 或者 JavaScript 才能完成,而现在仅仅使用纯 CSS 就能够实现,大大的提高了开发效率以及页面的执行效率。

变形效果要通过变形函数来实现,语法如下:

transform: none|transform-functions;

那么 CSS3 中为我们提供了哪些变形函数呢?

这里我们整体可以划分出 3 大类:

  • 具有 X/Y 的函数:translateX、translateY、sclaeX、scaleY、skewX、skewY
  • 2D 变形函数:translate、sclae、rotate、skew、matrix
  • 3D 变形函数:rotateX、rotateY、rotate3d、translateZ、translate3d、scaleZ、scale3d、matrix3d

此时,你可能已经做好了逐一击破每个变形函数的思想准备了。

别急,在介绍每个变形函数之前,我们先来了解一下变形相关的属性。

变形属性

  1. transform 属性

第一个首当其冲的就是 transform 属性,该属性所对应的属性值就是一系列的变形函数,例如:

transform: scale(1.5)

上面的代码中,我们设置了 transform 属性,属性值为 scale 变形函数。

  1. transform-origin 属性

接下来第二个是 transform-origin 属性,该属性用于设置元素的中心点位置。该属性语法如下:

transform-origin: x-axis y-axis z-axis;
image-20210919160036555

为了演示此属性的作用,我们先透支一点后面的知识。

这里我们以 rotate 为例。rotate 是变形函数中的一个,作用是旋转元素,其语法如下:

rotate(angle)

定义 2D 旋转,在参数中规定角度。

来看一个例子:

<div></div>
div{
  width: 150px;
  height: 150px;
  background-color: red;
  margin: 200px;
  transition: all 1s;
}
div:hover{
  transform: rotate(45deg);
}

效果如下:

2021-09-19 16.06.26

在上面的示例中,我们设置 div 鼠标 hover 的时候进行变形,旋转 45 度,为了更加平滑,我们加入了 transition 过渡效果。

我们观察整个元素的旋转中心点,是在元素的最中央。

接下来我们可以使用 transform-origin 来修改这个中心点的位置。例如:

div{
  width: 150px;
  height: 150px;
  background-color: red;
  margin: 200px;
  transition: all 1s;
  transform-origin: bottom left;
  /* 修改元素的中心点位置 */
}
div:hover{
  transform: rotate(45deg);
}

效果如下:

2021-09-19 16.09.46

在上面的代码中,我们修改了元素的中心点位置为 bottom、left,也就是左下角。可以看到因为元素的中心点位置发生了变化,旋转的方式也随之发生了改变。

transform-origin 的属性值除了像上面一样设置关键词以外,也可以是百分比、em、px 等具体的值。

transform-origin 的第三个参数是定义 Z 轴的距离,这在后面介绍 3D 变形时再来介绍。

  1. transform-style 属性

transform-style 属性是 3D 空间一个重要属性,指定了嵌套元素如何在 3D 空间中呈现。语法如下:

transform-style: flat | preserve-3d;
image-20210919171722656

其中 flat 为默认值。

需要注意的是该属性需要设置在父元素上面,使其变成一个真正的 3D 图形。

当然光看属性说明是非常模糊的,一点都不直观,我们直接来看一个例子。

<div class="box">
  <div class="up"></div>
  <div class="down"></div>
  <div class="left"></div>
  <div class="right"></div>
  <div class="forword"></div>
  <div class="back"></div>
</div>
.box {
  width: 250px;
  height: 250px;
  border: 1px dashed red;
  margin: 100px auto;
  position: relative;
  border-radius: 50%;
  transform-style: preserve-3d;
  animation: gun 8s linear infinite;
}

.box>div {
  width: 100%;
  height: 100%;
  position: absolute;
  text-align: center;
  line-height: 250px;
  font-size: 60px;
  color: #daa520;
}

.left {
  background-color: rgba(255, 0, 0, 0.3);
  transform-origin: left;
  transform: rotateY(90deg) translateX(-125px);
}

.right {
  background: rgba(0, 0, 255, 0.3);
  transform-origin: right;
  /* 变换*/
  transform: rotateY(90deg) translateX(125px);
}
.forward {
  background: rgba(255, 255, 0, 0.3);
  transform: translateZ(125px);
}
.back {
  background: rgba(0, 255, 255, 0.3);
  transform: translateZ(-125px);
}
.up {
  background: rgba(255, 0, 255, 0.3);
  transform: rotateX(90deg) translateZ(125px);
}
.down {
  background: rgba(99, 66, 33, 0.3);
  transform: rotateX(-90deg) translateZ(125px);
}
@keyframes gun {
  0% {
    transform: rotateX(0deg) rotateY(0deg);
  }

  100% {
    transform: rotateX(360deg) rotateY(360deg);
  }
}

效果如下:

2021-09-19 17.20.08

上面的 CSS 代码不用具体去关心,我们只看在 box 元素上面添加了一句 transform-style: preserve-3d,表示 box 里面的子元素都以 3D 的形式呈现。如果我们把这行代码去除掉或者值修改为 flat,效果如下:

2021-09-19 17.23.06

怎么样?是不是非常直观,一下子就知道 transform-style 属性的作用是什么了。该属性就是指定子元素是在 3D 空间还是 2D 平面中显示。

  1. perspective 属性

perspective 属性用于设置查看者的位置,可以将可视内容映射到一个视锥上,继而投到一个 2D 视平面上。如果不指定该属性,则 Z 轴空间中所有点将平铺到同一个 2D 视平面中,并且在变换结果中将不存在景深概念。

简单理解,就是视距,用来设置用户和元素 3D 空间 Z 平面之间的距离。而其效应由他的值来决定,值越小,用户与 3D 空间 Z 平面距离越近,视觉效果更令人印象深刻;反之,值越大,用户与 3D 空间 Z 平面距离越远,视觉效果就很小。

image-20210919174151244

注意当为元素定义 perspective 属性时,其子元素会获得透视效果,而不是元素本身。

我们还是来看一个直观的例子来了解这个属性的作用。例如:

<div class="container">
  <div class="item"></div>
</div>
.container{
  width: 500px;
  height: 500px;
  border: 1px solid;
  margin: 100px;
  display: flex;
  justify-content: center;
  align-items: center;
}
.item{
  width: 150px;
  height: 150px;
  background-color: red;
  animation: rotateAnimation 5s infinite;
}
@keyframes rotateAnimation {
  0%{
    transform: rotateY(0deg);
  }
  100%{
    transform: rotateY(360deg);
  }
}

效果:

2021-09-19 17.51.16

在上面的代码中,我们虽然设置了 div.item 沿着 Y 轴进行旋转,但是由于没有设置 perspective 视距,所以看上去就像是 div 盒子在宽度伸缩一样,3D 效果并不明显。

此时我们可以给父元素 div.container 设置 perspective 视距,例如:

.container{
  ...
  perspective: 1200px;
}

效果如下:

2021-09-19 17.54.08

很明显,加入 perspective 视距后,3D 旋转效果更佳的真实。

关于 perspective 的取值,接受一个长度单位大于 0,其单位不能为百分比的值。大致能够分为如下 3 种情况:

  • none 或者不设置:没有 3D 空间。
  • 取值越小:3D 效果越明显,也就是眼睛越靠近真 3D
  • 取值无穷大或者为 0:与取值为 none 的效果一样。
  1. perspective-origin 属性

如果理解了上面的 perspective 属性,那么这个 perspective-origin 就非常好理解了,该属性用来决定 perspective 属性的源点角度。

其语法如下:

perspective-origin: x-axis y-axis;
image-20210919204301259

举个例子:

.container{
  ...
  perspective: 600px;
  perspective-origin: top;
}

效果如下:

2021-09-19 20.45.00

由于我们设置的 perspective-origin 的值为 top,所以会呈现一种俯视的效果。如果将其值修改为 bottom,则会是仰视的即视感,如下:

2021-09-19 20.46.34
  1. backface-visibility 属性

backface-visibility 属性决定元素旋转背面是否可见。对于未旋转的元素,该元素的正面面向观看者。当其旋转 180 度时会导致元素的背面面向观众。

该属性是设置在旋转的元素上面,语法如下:

backface-visibility: visible|hidden;

image-20210919205231265

来看一个具体的例子:

.item{
  ...
  backface-visibility: hidden;
}

效果:

2021-09-19 21.38.25

在上面的代码中,我们在子元素 div.item 上设置了 backface-visibility: hidden,当此元素旋转 180 度到背面时,我们可以发现此时是无法看到背面的。

2D 变形

介绍完 CSS3 中变形的相关属性后,接下来我们就该来看一下具体的变形函数了。

整个 CSS3 为我们提供了相当丰富的变形函数,有 2D 的,有 3D 的。这里我们先来看 2D 的变形函数。

2D 位移

2D 位移对应有 3 个变形函数,分别是 translate、translateX、translateY

用法也非常简单,translate 方法从其当前位置移动元素(根据为 X 轴和 Y 轴指定的参数)。

div {
  transform: translate(50px, 100px);
}

上面的例子把 div 元素从其当前位置向右移动 50 个像素,并向下移动 100 个像素:效果如下:

Translate

2D 缩放

2D 缩放对应的也有 3 个变形函数,分别是 sclae、sclaeX、sclaeY

该方法能够按照倍数放大或缩小元素的大小(根据给定的宽度和高度参数)。默认值为 1,小于这个值就是缩小,大于这个值就是放大。

div {
  transform: scale(2, 3);
}

上面的例子把 div 元素增大为其原始宽度的两倍和其原始高度的三倍,效果如下:

Scale

2D 旋转

2D 旋转对应的只有 1 个变形函数 rotate,这个我们在前面也已经用过了。

该变形函数只接受一个值代表旋转的角度值,取值可正可负,正值代表顺时针旋转,负值代表逆时针旋转。

div {
  transform: rotate(20deg);
}

上面的例子把 div 元素顺时针旋转 20 度,效果如下:

Rotate

2D 倾斜

2D 倾斜对应的变形函数也是 3 个,分别是 skew、skewX、skewY

语法如下:

skew(ax, ay)
  • ax:指定元素水平方向(X 轴方向)倾斜角度
  • ay:指定元素垂直方向(Y 轴方向)倾斜角度
<div></div>
div{
  width: 150px;
  height: 150px;
  background-color: red;
  margin: 150px;
  transition: all 1s;
}
div:hover{
  transform: skew(20deg);
}

效果如下:

2021-09-19 22.02.15

2D 矩阵

虽然 CSS3 为我们提供了上述的变形函数方便我们进行元素的变形操作,但是毕竟函数个数有限,有些效果是没有提供的,例如镜像翻转的效果。此时就轮到 2D 矩阵函数 matrix 登场了。

matrix 有六个参数:

matrix(a,b,c,d,e,f)

六个参数对应的矩阵:

image-20210919221131755

这六个参数组成的矩阵与原坐标矩阵相乘计算坐标。计算方式如下:

image-20210919221104828

什么意思呢 ?xy 是元素中每一个像素的初始原点的坐标,而 x'y' 是通过矩阵变化后得到的新原点坐标。通过中间 3 x 3 变换矩阵,对原先的坐标施加变换,从而得到新的坐标。

x' = ax+cy+e,表示变换后的水平坐标

y' = bx+dy+f,表示变换后的垂直位置

CSS3 中,上面我们所介绍的所有 2D 变形函数都能够通过这个 matrix 矩阵函数来替代。

矩阵实现偏移

我们首先来看通过矩阵实现偏移效果。

偏移效果前后 x、yx'、y' 所对应的坐标公式为:

x' = x + 偏移量
y' = y + 偏移量

套用上面的公式那么各个参数的取值就应该是:

a = 1; b = 0;
c = 0; d = 1;
e = x 偏移量; f = y 偏移量
x' = ax+cy+e = 1x + 0y + x 偏移量 = x + x 偏移量
y' = bx+dy+f = 0x + 1y + y 偏移量 = y + y 偏移量

所以换成 matrix 函数就应该是:

matrix(1, 0, 0, 1, x 偏移量, y 偏移量)

下面来做一个测试:

<div></div>
div{
  width: 150px;
  height: 150px;
  background-color: red;
  margin: 150px;
  transition: all 1s;
}
div:hover{
  /* transform: translate(100px, 200px); */
  transform: matrix(1, 0, 0, 1, 100, 200);
}

在上面的示例中,使用 translatematrix 两个变形函数的效果一致。

矩阵实现缩放

缩放之后 x、yx'、y' 所对应的坐标公式为:

x' = x * x 缩放倍数
y’ = y * y 缩放倍数

套用上面的公式那就是:

a = x缩放倍数; b = 0;
c = 0; d = y 缩放倍数;
e = 0; f = 0;
x' = ax+cy+e = x缩放倍数 * x + 0y + 0 = x缩放倍数 * x
y' = bx+dy+f = 0x + y 缩放倍数 * y + 0 = y 缩放倍数 * y

所以换成 matrix 函数就应该是:

matrix(x 缩放倍数, 0, 0, y 缩放倍数, 0, 0);

例如:

<div></div>
div{
  width: 150px;
  height: 150px;
  background-color: red;
  margin: 150px;
  transition: all 1s;
}
div:hover{
  /* transform: scale(2, 2); */
  transform: matrix(2, 0, 0, 2, 0, 0);
}

上面的代码我们分别使用 scale 和矩阵实现了相同的缩放效果。

矩阵实现旋转

旋转需要实现

水平倾斜角度 =  - 垂直倾斜角度

旋转我们用到的变形函数是 rotate(θ),其中 θ 为旋转的角度。套用上面的公式:

x' = xcosθ - ysinθ + 0 = xcosθ - ysinθ;
y' = xsinθ + ycosθ + 0 = xsinθ + ycosθ

转换为 matrix 的代码为:

matrix(cos(θ), sin(θ), -sin(θ), cos(θ), 0, 0)

例如:

<div></div>
div{
  width: 150px;
  height: 150px;
  background-color: red;
  margin: 150px;
  transition: all 1s;
}
div:hover{
  /* transform: rotate(45deg); */
  transform: matrix(0.7, 0.7, -0.7, 0.7, 0, 0);
}

上面的代码使用了 rotatematrix 来实现旋转 45 度的效果。其中 sin45cos45 的值都为 0.7

矩阵实现倾斜

skew(θx, θy) 将一个元素按指定的角度在 X 轴和 Y 轴上倾斜。

倾斜对应的公式为:

x' = x + ytan(θx) + 0 = x + ytan(θx)
y' = xtan(θy) + y + 0 = xtan(θy) + y

转换为 matrix 的代码为:

matrix(1,tan(θy),tan(θx),1,0,0)

例如:

<div></div>
div {
  width: 150px;
  height: 150px;
  background-color: red;
  margin: 150px;
  transition: all 1s;
}

div:hover {
  /* transform: skew(20deg); */
  transform: matrix(1, 0, 0.4, 1, 0, 0);
}

上面的示例中分别使用 skew 和矩阵 matrix 实现了一致的倾斜效果。

矩阵实现镜像变形

前面介绍的效果,CSS3 中都提供了对应的变形函数,但是矩阵真正发挥威力是在没有对应的变形函数时,例如这里要讲的镜像变形。

我们先来看一下各种镜像变化 x、yx'、y' 所对应的关系:

水平镜像,就是 y 坐标不变,x 坐标变负

x' = -x;
y' = y;

所以:

a = -1; b = 0; 
c = 0; d = 1; 
e = 0; f = 0;

具体示例如下:

<div></div>
div {
  width: 300px;
  height: 200px;
  margin: 150px;
  transition: all 1s;
  background: url('./ok.png') no-repeat;
  background-position: center;
  background-size: contain;
}

div:hover {
  transform: matrix(-1, 0, 0, 1, 0, 0);
}

效果:

2021-09-20 09.16.38

垂直镜像,就是 x 坐标不变,y 坐标变负

x' = x;
y' = -y;

所以:

a = 1; b = 0; 
c = 0; d = -1; 
e = 0; f = 0;

例如:

...
div:hover {
  transform: matrix(1, 0, 0, -1, 0, 0);
}

效果:

2021-09-20 09.19.11

水平镜像 + 倒立就是 y 坐标变负,x 坐标变负

x' = -x;
y' = -y;

所以:

a = -1; b = 0; 
c = 0; d = -1; 
e = 0; f = 0;

例如:

...
div:hover {
  transform: matrix(-1, 0, 0, -1, 0, 0);
}

效果:

2021-09-20 09.29.45

90 度旋转 + 镜像就是:

x' = y;
y' = x;

所以:

a = 0; b = 1; 
c = 1; d = 0; 
e = 0; f = 0;

例如:

...
div:hover {
  transform: matrix(0, 1, 1, 0, 0, 0);
}

效果:

2021-09-20 09.31.24

-90 度旋转 + 镜像就是:

x' = -y;
y' = -x;

所以:

a = 0; b = -1; 
c = -1; d = -0; 
e = 0; f = 0;

例如:

...
div:hover {
  transform: matrix(0, -1, -1, 0, 0, 0);
}

效果:

2021-09-20 09.32.47

通过上面一系列的示例,我们可以发现,使用矩阵 matrix 函数确实更佳灵活,能够写出各种变形效果。

3D 变形

使用二维变形能够改变元素在水平和垂直轴线,然而还有一个轴沿着它,可以改变元素。使用三维变形,可以改变元素在 Z 轴位置。

image-20210920104407743

三维变换使用基于二维变换的相同属性,如果熟悉二维变换就会发现,3D 变形的功能和 2D 变换的功能类似。CSS3 中的 3D 变换只要包含以下几类:

  • 3D 位移:包括 translateZtranslate3d 两个变形函数。
  • 3D 旋转:包括 rotateX、rotateY、rotateZrotate3d 这四个变形函数。
  • 3D 缩放:包括 scaleZsclae3d 两个变形函数。
  • 3D 矩阵:和 2D 变形一样,也有一个 3D 矩阵功能函数 matrix3d

3D 位移

我们直接来看合成变形函数 translate3d,其语法如下:

translate3d(tx, ty, tz)
  • tx:在 X 轴的位移距离。
  • ty:在 Y 轴的位移距离。
  • tz:在 Z 轴的位移距离。值越大,元素离观察者越近,值越小,元素离观察者越远

来看一个具体的示例:

<div class="container">
  <div class="item"></div>
</div>
.container{
  width: 400px;
  height: 400px;
  border: 1px solid;
  margin: 150px;
  display: flex;
  justify-content: center;
  align-items: center;
  perspective: 1000px;
}
.item {
  width: 300px;
  height: 200px;
  transition: all 1s;
  background: url('./ok.png') no-repeat;
  background-position: center;
  background-size: contain;
}

.item:hover {
  transform: translate3d(100px, 100px, -500px)
}

在上面的代码中,我们设置 div.itemhover 的时候进行 3D 位移,也就是 X、Y、Z 轴同时进行移动。注意这里要设置父元素的透视效果,也就是设置 perspective 值,否则看不出 Z 轴的移动效果。效果如下:

2021-09-20 10.40.24

3D 旋转

在三维变形中,可以让元素在任何轴旋转,对应的变形函数有 rotateX、rotateY、rotateZ 以及 rotate3d

其中 rotate3d 就是前面 3 个变形函数的复合函数。不过出了 x、y、z 这三条轴的参数以外,还接受第四个参数 a,表示旋转角度。

rotate3d(x, y, z, a)
  • x:可以是 01 之间的数值,表示旋转轴 X 坐标方向的矢量。
  • y:可以是 01 之间的数值,表示旋转轴 Y 坐标方向的矢量。
  • z:可以是 01 之间的数值,表示旋转轴 Z 坐标方向的矢量。
  • a:表示旋转角度。正的角度值表示顺时针旋转,负值表示逆时针旋转。

下面我们以 rotateX 变形函数为例:

<div class="container">
  <div class="item"></div>
</div>
.container{
  width: 400px;
  height: 400px;
  border: 1px solid;
  margin: 150px;
  display: flex;
  justify-content: center;
  align-items: center;
  perspective: 1000px;
}
.item {
  width: 150px;
  height: 150px;
  background-color: red;
  transition: all 1s;
}

.item:hover {
  transform: rotateX(45deg)
}

效果如下:

2021-09-21 21.23.14

3D 缩放

3D 缩放主要有 sclaeZscale3d,其中 scale3d 就是 scaleXscaleY 以及 scaleZ 的复合变形函数。其语法如下:

scale(sx, sy, sz)
  • sxX 轴上的缩放比例
  • syY 轴上的缩放比例
  • szZ 轴上的缩放比例

但是 scaleXscaleY 变形效果很明显,但是 scaleZ 却基本看不出有什么效果。原因很简单,scaleZZ 轴上面的缩放,也就是厚度上面的变化,所以如果不是立方体结构,基本上是看不出来 Z 轴上面的缩放效果的。

一般来讲,我们不会将 scaleZscale3d 单独使用,因为 scaleZscale3d 这两个变形函数在单独使用时没有任何效果,需要配合其他的变形函数一起使用时才会有效果。

这里我们以前面那个立方体为例,如下:

<div class="box">
  <div class="up"></div>
  <div class="down"></div>
  <div class="left"></div>
  <div class="right"></div>
  <div class="forword"></div>
  <div class="back"></div>
</div>
.box {
  width: 250px;
  height: 250px;
  border: 1px dashed red;
  margin: 100px auto;
  position: relative;
  border-radius: 50%;
  transform-style: preserve-3d;
  transition: all 1s;
  transform: rotateX(45deg) rotateY(45deg);
}

.box:hover{
  transform: rotateX(45deg) rotateY(45deg) scaleZ(.5);
}

.box>div {
  width: 100%;
  height: 100%;
  position: absolute;
  text-align: center;
  line-height: 250px;
  font-size: 60px;
  color: #daa520;
}

.left {
  background-color: rgba(255, 0, 0, 0.3);
  transform-origin: left;
  transform: rotateY(90deg) translateX(-125px);
}

.right {
  background: rgba(0, 0, 255, 0.3);
  transform-origin: right;
  /* 变换*/
  transform: rotateY(90deg) translateX(125px);
}

.forward {
  background: rgba(255, 255, 0, 0.3);
  transform: translateZ(125px);
}

.back {
  background: rgba(0, 255, 255, 0.3);
  transform: translateZ(-125px);
}

.up {
  background: rgba(255, 0, 255, 0.3);
  transform: rotateX(90deg) translateZ(125px);
}

.down {
  background: rgba(99, 66, 33, 0.3);
  transform: rotateX(-90deg) translateZ(125px);
}

效果如下:

2021-09-21 22.33.57

3D 矩阵

CSS3 中的 3D 矩阵比 2D 矩阵复杂,从二维到三维,在矩阵里 3*3 变成 4*4,即 916

对于 3D 矩阵而言,本质上很多东西与 2D 是一致的,只是复杂程度不一样而已。

对于 3D 缩放效果,其矩阵如下:

image-20210921225039133
matrix3d(sx, 0, 0, 0, 0, sy, 0, 0, 0, 0, sz, 0, 0, 0, 0, 1)

倾斜是二维变形,不能在三维空间变形。元素可能会在 X 轴和 Y 轴倾斜,然后转化为三维,但它们不能在 Z 轴倾斜。

这里举几个 3D 矩阵的例子:

translate3d(tx,ty,tz) 等价于 matrix3d(1,0,0,0,0,1,0,0,0,0,1,0,tx,ty,tz,1)

image-20210921225544059

scale3d(sx,sy,sz) 等价于 matrix3d(sx,0,0,0,0,sy,0,0,0,0,sz,0,0,0,0,1)

image-20210921225617731

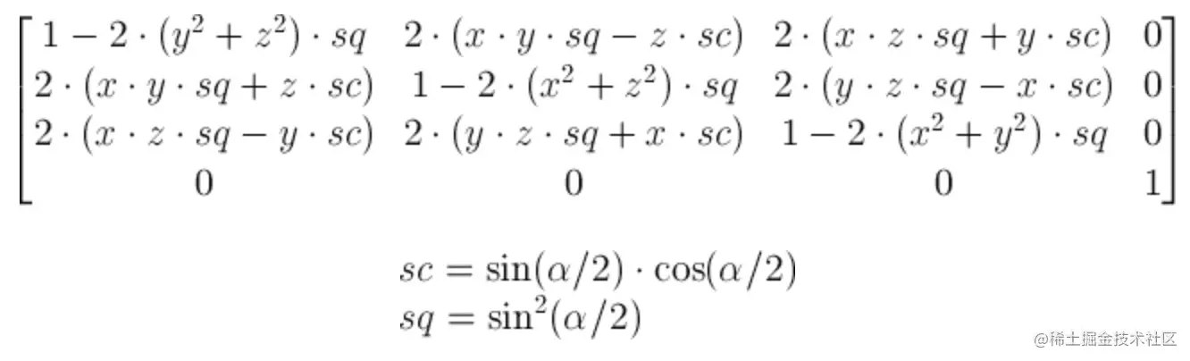
rotate3d(x,y,z,a) 真是得搬出高中数学书好好复习一下了,第四个参数 alpha 用于 scsq

image-20210921225731310

等价于...你自己从上到下,从左到右依次将参数搬入 matrix3d 中吧。

当然除非是库函数需要,否则我严重怀疑是否会有人放着 rotate3d 不用,偏要去挑战用 matrix3d 模拟 rotate3d

请简述一下 CSS3 中新增的变形如何使用?

CSS3 中的变形分为 2D 变形和 3D 变形。

整体可以划分出 3 大类:

  • 具有 X/Y 的函数:translateX、translateY、sclaeX、scaleY、skewX、skewY
  • 2D 变形函数:translate、sclae、rotate、skew、matrix
  • 3D 变形函数:rotateX、rotateY、rotate3d、translateZ、translate3d、scaleZ、scale3d、matrix3d

另外,还有一些重要的变形属性,例如:

  • transform 属性
  • transform-origin 属性
  • transform-style 属性
  • perspective 属性
  • perspective-origin 属性
  • backface-visibility 属性