剑指 Offer 52. 两个链表的第一个公共节点

119 阅读2分钟

前言:剑指offer刷题系列

问题:

输入两个链表,找出它们的第一个公共节点。

image-20230724112523334.png

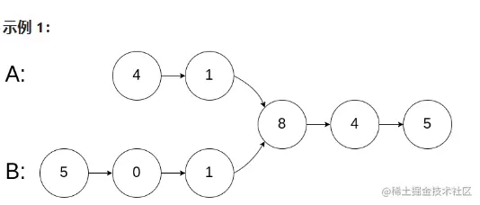
示例:

image-20230724112459176.png

输入:intersectVal = 8, listA = [4,1,8,4,5], listB = [5,0,1,8,4,5], skipA = 2, skipB = 3
输出:Reference of the node with value = 8
输入解释:相交节点的值为 8 (注意,如果两个列表相交则不能为 0)。从各自的表头开始算起,链表 A 为 [4,1,8,4,5],链表 B 为 [5,0,1,8,4,5]。在 A 中,相交节点前有 2 个节点;在 B 中,相交节点前有 3 个节点。

思路:

一开始的思路是比较两条链表中值相同的结点,写完之后,一提交发现什么都没有输出来,检查过后发现没有什么问题,去看了题解才知道,原来链表的第一个公共节点不止是数值相同而且还要地址相同,大家采用了一个很浪漫的双指针解法:

假设链表A前面不同的长度为a,链表B前面不同的长度是b,后面相同的长度是c,设置两个指针PA,PB,理论上a+c+b === b+c+a,当指针PA遍历链表a为空时,让PA指向链表b,当指针PB遍历链表b为空时,让PB指向链表a,PA,PB最后会指向同一个节点。

两链表的第一个公共节点贡献尾部链表。

基于上述思考,代码如下:

var getIntersectionNode = function(headA, headB) {
    if (headA === null || headB === null) {
        return null;
    }
    let pA = headA, pB = headB;
    while (pA !== pB) {
        pA = pA === null ? headB : pA.next;
        pB = pB === null ? headA : pB.next;
    }
    return pA;
};

执行结果如下图:

image-20230724124210975.png

学到的知识点:

  • 相向双指针:两个指针分别从数组或链表的两端开始,向中间移动,直到相遇或满足某个条件。可以解决判断回文串,反转数组或链表,寻找两数之和等问题。
  • 同向双指针:两个指针都从数组或链表的同一端开始,一个快一个慢,或者一个先一个后,向另一端移动,直到相遇或满足某个条件。可以解决寻找最长不重复子串,删除重复元素,找到倒数第k个元素等问题。