每日一题——二叉树的镜像

87 阅读1分钟

题目


操作给定的二叉树,将其变换为源二叉树的镜像。

数据范围:二叉树的节点数 0≤n≤1000 , 二叉树每个节点的值 0≤val≤1000

要求: 空间复杂度 O(n) 。本题也有原地操作,即空间复杂度 O(1) 的解法,时间复杂度 O(n)

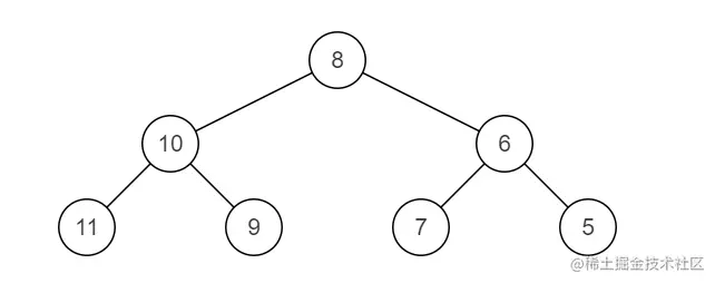
比如: 源二叉树

镜像二叉树

参数说明:二叉树类,二叉树序列化是通过按层遍历,#代表这这个节点为空节点,举个例子:

  1
 / \
2   3
   /
  4

以上二叉树会被序列化为 {1,2,3,#,#,4}

示例1

输入:
{8,6,10,5,7,9,11}
返回值:
{8,10,6,11,9,7,5}

示例2

输入:
{}
返回值:
{}

思路


  • 递归的交换左右子树
  • 使用栈辅助,dfs遍历二叉树,交换左右子节点。(解答略)

解答代码


/**
 * struct TreeNode {
 *	int val;
 *	struct TreeNode *left;
 *	struct TreeNode *right;
 *	TreeNode(int x) : val(x), left(nullptr), right(nullptr) {}
 * };
 */
class Solution {
public:
    /**
     * @param pRoot TreeNode类 
     * @return TreeNode类
     */
    TreeNode* Mirror(TreeNode* pRoot) {
        // write code here
        if (pRoot == nullptr) {
            return nullptr;
        }
        auto newRoot = new TreeNode(pRoot->val);
        newRoot->left = Mirror(pRoot->right);
        newRoot->right = Mirror(pRoot->left);
        return newRoot;
    }
};