Chapter 22 Differential Amplifier
对于单管运放, bias的设置很重要. 这一章我们关注差分运放, The diff-amp is a fundamental building block in CMOS analog integrated circuit design, 对于CMOS电路特别重要. 我们关注三类差分运放: source-coupled pair, the source cross-coupled pair, and the current differential amplifier.
The Source-Coupled Pair
input difference:
v D I = v I 1 − v I 1 = v G S 1 − v G S 2 v_{DI}=v_{I1}-v_{I1}=v_{GS1}-v_{GS2} v D I = v I 1 − v I 1 = v GS 1 − v GS 2
最大Input difference: M1或者M2的电流为0, Iss全部流到另外一边
v D I M A X < 2 L I S S K P n W v_{DIMAX}<\sqrt{\frac{2LI_{SS}}{KP_{n}W}} v D I M A X < K P n W 2 L I SS
输入input voltage range
为了让M1处于Saturated Region
V C M M A X = V D D + V T H N V_{CMMAX}=VDD+V_{THN} V CMM A X = V DD + V T H N
为了让M3 M4 处于Sat Region
V C M M I N = V G S 1 , 2 + 2 V D S , s a t V_{CMMIN}=V_{GS1,2}+2V_{DS,sat} V CMM I N = V GS 1 , 2 + 2 V D S , s a t
对于Folded Cascode Amplifier
最大输入电压
V C M M A X = V D D − V S G − 2 V s d , s a t V_{CMMAX}=VDD-V_{SG}-2V_{sd,sat} V CMM A X = V DD − V SG − 2 V s d , s a t
最小输入电压
V C M M I N = V D s a t − V T H P = 0.25 − 0.9 = − 0.65 V V_{CMMIN}=V_{Dsat}-V_{THP}=0.25-0.9=-0.65V V CMM I N = V Ds a t − V T H P = 0.25 − 0.9 = − 0.65 V
即输入电压可为负, 这对于input voltage需要达到0V的应用特别有用. The folded-cascode amplifier with PMOS diff-amp can be used when the input voltage swings around ground.
Current Mirror Load
V C M M A X = V D D − V S G + V T H N V_{CMMAX}=VDD-V_{SG}+V_{THN} V CMM A X = V DD − V SG + V T H N
V D D m i n = V S G 3 + V D S a t 1 + 2 V d s a t VDD_{min}=V_{SG3}+V_{DSat1}+2V_{dsat} V D D min = V SG 3 + V D S a t 1 + 2 V d s a t
AC Operation
The differential mode gain
v o u t = ( i d 1 − i d 2 ) ( r o 2 ∥ r o 4 ) = 2 i d ( r o 2 ∥ r o 4 ) v_{out}=(i_{d1}-i_{d2})(r_{o2}\parallel r_{o4})=2i_{d}(r_{o2}\parallel r_{o4}) v o u t = ( i d 1 − i d 2 ) ( r o 2 ∥ r o 4 ) = 2 i d ( r o 2 ∥ r o 4 )
i d = g m 1 2 v i d i_d=g_m\frac{1}{2}v_{id} i d = g m 2 1 v i d
Gain
A d = v o u t v d i = v o u t v i 1 − v i 2 = g m ( r o 2 ∥ r o 4 ) A_{d}=\frac{v_{out}}{v_{di}}=\frac{v_{out}}{v_{i1}-v_{i2}}=g_{m}(r_{o2}\parallel r_{o4}) A d = v d i v o u t = v i 1 − v i 2 v o u t = g m ( r o 2 ∥ r o 4 )
Common-Mode Rejection Ratio
Common-mode gain. 这是一个带degeneration的CS, drain的res =1/gm3, source带的电阻为2Ro, 因此
A c = v o u t v c = − 1 / g m 3 , 4 2 R o = − 1 2 g m 3 , 4 R o A_{c}=\frac{v_{out}}{v_{c}}=\frac{-1/g_{m3,4}}{2R_{o}}=-\frac{1}{2g_{m3,4}R_{o}} A c = v c v o u t = 2 R o − 1/ g m 3 , 4 = − 2 g m 3 , 4 R o 1
Common-mode rejection ratio (CMRR) in dB
C M R R = 20 l o g ∣ A d A c ∣ = 20 l o g [ g m 1 ( r o 2 ∥ r o 4 ) ⋅ 2 g m 3 R o ] CMRR=20log\left| \frac{A_d}{A_c} \right|=20log[g_{m1}(r_{o2}\parallel r_{o4})\cdot 2g_{m3}R_{o}] CMRR = 20 l o g ∣ ∣ A c A d ∣ ∣ = 20 l o g [ g m 1 ( r o 2 ∥ r o 4 ) ⋅ 2 g m 3 R o ]
Matching Considerations
V O S = Δ V T H N + V G S − V T H N 2 [ − Δ R L R L − Δ ( W / L ) ( W / L ) ] V_{OS}=\Delta V_{THN}+\frac{V_{GS}-V_{THN}}{2}[\frac{-\Delta R_{L}}{R_{L}}-\frac{\Delta (W/L)}{(W/L)}] V OS = Δ V T H N + 2 V GS − V T H N [ R L − Δ R L − ( W / L ) Δ ( W / L ) ]
小的输入对管Vgs, 导致小的mismatch, 也就是需要把M1和M2的W/L做大
Input-Referred Offset with a Current Mirror Load
V O S = V o , i d e a l A d = V o , i d e a l g m ( r o 2 ∥ r o 4 ) V_{OS}=\frac{V_{o,ideal}}{A_{d}}=\frac{V_{o,ideal}}{g_m(r_{o2}\parallel r_{o4})} V OS = A d V o , i d e a l = g m ( r o 2 ∥ r o 4 ) V o , i d e a l
为了减小input-referred offset, 需要设计diff-amp with large gain.
Noise Performance
Slew-Rate Limitations
Slew rate = dVout/dt=Iss/CL
The Source Cross-Coupled Pair
source cross-coupled diff-amp的好处是可以消除slew-rate的限制.
M11,M21,M31和M41像biasing battery. 这样M1和M4的gate能正确 DC bias且同方向变化. 这样M1,M2,M3和M4像Class-AB diff-amp, 提供充足的output drive current.
如果一段输入大于另外一段输入, drain-current迅速增加. In a low-power design, this topology would be useful to quickly charge a capacitor while burning little quiescent power.
有限的输入电压范围是source cross-coupled diff-amp的缺点, 下图是PMOS input的source cross-coupled
Current Source Load
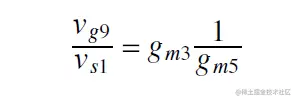
M1 gate 到M3 source的增益为
从M1 source到M9 gate增益为
M9 gate到Vout增益为 -gm9*rout
因此输出到输入的differential gain为
Input Signal Range
VCMAX=VDD-Vdsat6
VCMIN=VGS1+Vdsat3+VGS5
另外一种current source (current mirror) load configuration 如下图所示
Gain:
A d = 2 r o 2 ∥ r o 6 1 g m 1 + 1 g m 3 A_{d}=2\frac{r_{o2}\parallel r_{o6}}{\frac{1}{g_{m1}}+\frac{1}{g_{m3}}} A d = 2 g m 1 1 + g m 3 1 r o 2 ∥ r o 6
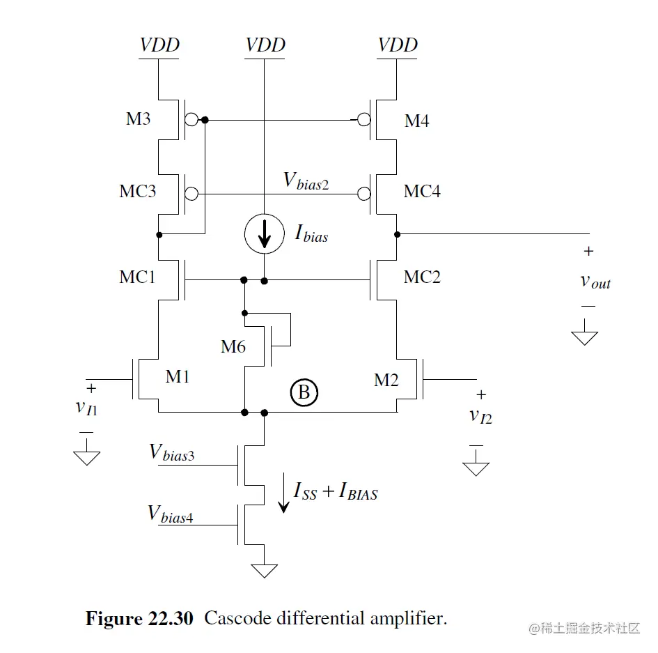
Cascode Loads (The Telescopic Diff-Amp)
M6和Ibias的作用是确保M1,MC1处于饱和区.
Gain
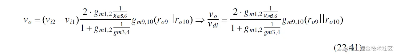
A d = g m 1 ( g m 2 r o 2 2 ∥ g m 4 r o 4 2 ) A_{d}=g_{m1}(g_{m2}r^{2}_{o2}\parallel g_{m4}r^{2}_{o4}) A d = g m 1 ( g m 2 r o 2 2 ∥ g m 4 r o 4 2 )
Vin 上升, B上升, M6保持Vgs, MC1和MC2的gate上升, 确保M1和M2处于Saturation
Wide-Swing Differential Amplifiers
为了扩大输入电压范围, 可以用 two complementary diff-amp stages in parallel
当输入PMOS和NMOS都On时
A v = ( g m 1 + g m 9 ) [ r o 7 ( 2 I ) ∥ r o 5 ( 2 I ) ] = 2 β 1 I + 2 β 9 I 2 I ( λ 7 + λ 5 ) A_{v}=(g_{m1}+g_{m9})[r_{o7}(2I)\parallel r_{o5}(2I)]=\frac{\sqrt{2\beta_1 I}+\sqrt{2\beta_9 I}}{2I(\lambda_7 + \lambda_5)} A v = ( g m 1 + g m 9 ) [ r o 7 ( 2 I ) ∥ r o 5 ( 2 I )] = 2 I ( λ 7 + λ 5 ) 2 β 1 I + 2 β 9 I
当输入较小, 只有PMOS on, NMOS off时
A v = g m 9 [ r o 7 ( 2 I ) ∥ r o 5 ( 2 I ) ] = 2 β 9 I I ( λ 7 + λ 5 ) A_{v}=g_{m9}[r_{o7}(2I)\parallel r_{o5}(2I)]=\frac{\sqrt{2\beta_9 I}}{I(\lambda_7 + \lambda_5)} A v = g m 9 [ r o 7 ( 2 I ) ∥ r o 5 ( 2 I )] = I ( λ 7 + λ 5 ) 2 β 9 I
当输入较大, 只有NMOS on, PMOS off时
A v = g m 1 [ r o 7 ( 2 I ) ∥ r o 5 ( 2 I ) ] = 2 β 1 I I ( λ 7 + λ 5 ) A_{v}=g_{m1}[r_{o7}(2I)\parallel r_{o5}(2I)]=\frac{\sqrt{2\beta_1 I}}{I(\lambda_7 + \lambda_5)} A v = g m 1 [ r o 7 ( 2 I ) ∥ r o 5 ( 2 I )] = I ( λ 7 + λ 5 ) 2 β 1 I
我们总是希望Gm constant, 这样amp容易补偿而且distortion更小
β 1 = β 9 = β ⇒ G m = 2 β I \beta_1=\beta_9=\beta \Rightarrow G_m=\sqrt{2\beta I} β 1 = β 9 = β ⇒ G m = 2 β I
因此Gain可统一写作
A v = G m ⋅ [ r o 7 ( I ) ∥ r o 5 ( I ) ] A_{v}=G_m\cdot [r_{o7}(I)\parallel r_{o5}(I)] A v = G m ⋅ [ r o 7 ( I ) ∥ r o 5 ( I )]
Current Differential Amplifier
Another wide-swing, differential amplifier is the current differencing amplifier.
输入阻抗Rin=1/gm
Constant Transconductance Diff-Amp
rail-to-rail amplifier 要保持输入gm constant, PMOS或者NMOS的gm和要一致
g m = g m n + g m p = 2 β n I n + 2 β p I p = constant g_m=g_{mn}+g_{mp}=\sqrt{2\beta_n I_n}+\sqrt{2\beta_p I_p}=\text{constant} g m = g mn + g m p = 2 β n I n + 2 β p I p = constant
为了保持constant gm可有在只有NMOS或者PMOS diff pair on时加3Io电流, 这样gm能保持一致
如下图结构