CS224N (2021) 笔记 01 Lecture 1 Introduction and Word Vectors

229 阅读4分钟

来学NLP, 课程是斯坦福CS224N, 我用的2021版, b站搜出来的第一个就是了

The Course

  • 介绍NLP相关知识,基本概念
  • 学会PyTorch等工具的使用

Human language and word meaning

  • 语言的特点

    • 由人类产生, 不断变化
  • NLP的目的

    • 让计算机看得懂人类语言
    • 让计算机拥有人类只会(computer with knowledge of people)
  • 进展/成果

    • 翻译(machine translation)
    • chatGPT--> universal model
  • 怎么描述一个词汇

    • 旧方法: 指称语义

      • 含义: 用同义词描述, 将一个个词语视为一个个离散的符号
      • 缺点:
        • 在细节上容易阐释不清
        • 词库是有限的, 部分词语无法用同义词替换
    • 新方法: 分布语义

      • 含义: 不再依靠同义词来描述一个词语, 而是在某一个语境下依靠周围词汇来阐述某词汇的含义("You shall know a word by the company it keeps!")

      • 过程

        • 收集语段资料--为每个表示单词含义的单词建立密集实值向量(build up dense real valued vector for each words represent the meaning of words)
      • 检验: 用于预测语段中随机某个词语的含义

        word一词在NLP中的两种含义

        • Types
        • Tokens

Word2vec introduction

  • 什么是Word2vec

    • word to vector--> 将词语变成向量, 是一个学习词语向量的框架
  • 思路

    • 搜集语料库(corpus&body)
    • 将词汇表中的每一个单词都用向量表示
    • 遍历语料库中的每一个词汇, 让每一个词汇都成为一次被描述的中心词C (center), 并且将中心词周围的词语记为O (outside)
    • 使用C和C的词汇向量的相似性来计算给定O的概率(反之亦然)
    • 调整向量使得概率最大化
  • 具体过程

    1.png

    • 至于这里具体的概率P如何计算则是需要借助后面的函数

Word2vec objective function gradients

这里先放PPT吧

2.png

  • Likelihood = L(θ)L(\theta )
    • 计算范围: 语段内每一个单词都可以作为C, 然后将这个C前后长度为m的窗口的每一个词汇的概率进行相乘
    • 注意
      • 在这里θ\theta才是要优化的对象
  • J(θ)J(\theta): 目标函数, 也可以说是想要优化的成本或者损失
    • J(θ)J(\theta)越小则准确性越高(前面有符号所以要反过来)
    • 在这里使用对数来进行计算使得之前的Likelihood变成和, 简化计算,
    • 同时, 使用了平均的Likelihood, 所以前面有一个1T\frac{1}{T}

3.png

  • 如何计算一个单词在上下文中出现的概率
    • 在这里给每个单词赋予了两个向量
      • 当该单词作为C的时候使用vwv_w
      • 当该单词作为O的时候使用uwu_w
    • 然后就可以获得一个描述相似度的数据,接下来需要将该数据转化为概率

5.png

  • 但是对于概率一般来说需要将范围控制在0~1之间所以这里还需要一个softmax函数对求出来的概率进行归一化(分母)
  • 为了防止出现负数, 所以这里使用了exp
  • 另外, softmax函数还对概率进行了一定程度上的放缩再返回概率分布(所以叫max)
  • 在这里, softmax函数并没有直接指出最大的概率对应的词汇, 而是仍然保留了其他词汇, 所以是soft

Optimization basics

4.png

接下来要做的就是训练模型对模型进行优化

θ\theta是一个特别特别长的向量, 长度是2dv, 接下来讲讲2dv怎么来的

  • 在这里每一个词汇都分别作为C和O出现了一次, 之前有讲过uuvv, 所以需要乘2
  • N指的是词汇量, 就是有多少个词汇
  • d指的是窗口大小, 因为前面计算Likelihood是在一个长度为-m~m的窗口内进行的
  • 注意: 在这里看似只有2N个向量但是实际上每一个uu或者vv都是一个小向量, 在这里为了排版这么写, 但是实际上写出来应该是可长可长一段了
  • 所以要优化的方向就是让J(θ)J(\theta)达到最小, 在这里需要进行一些微积分的操作

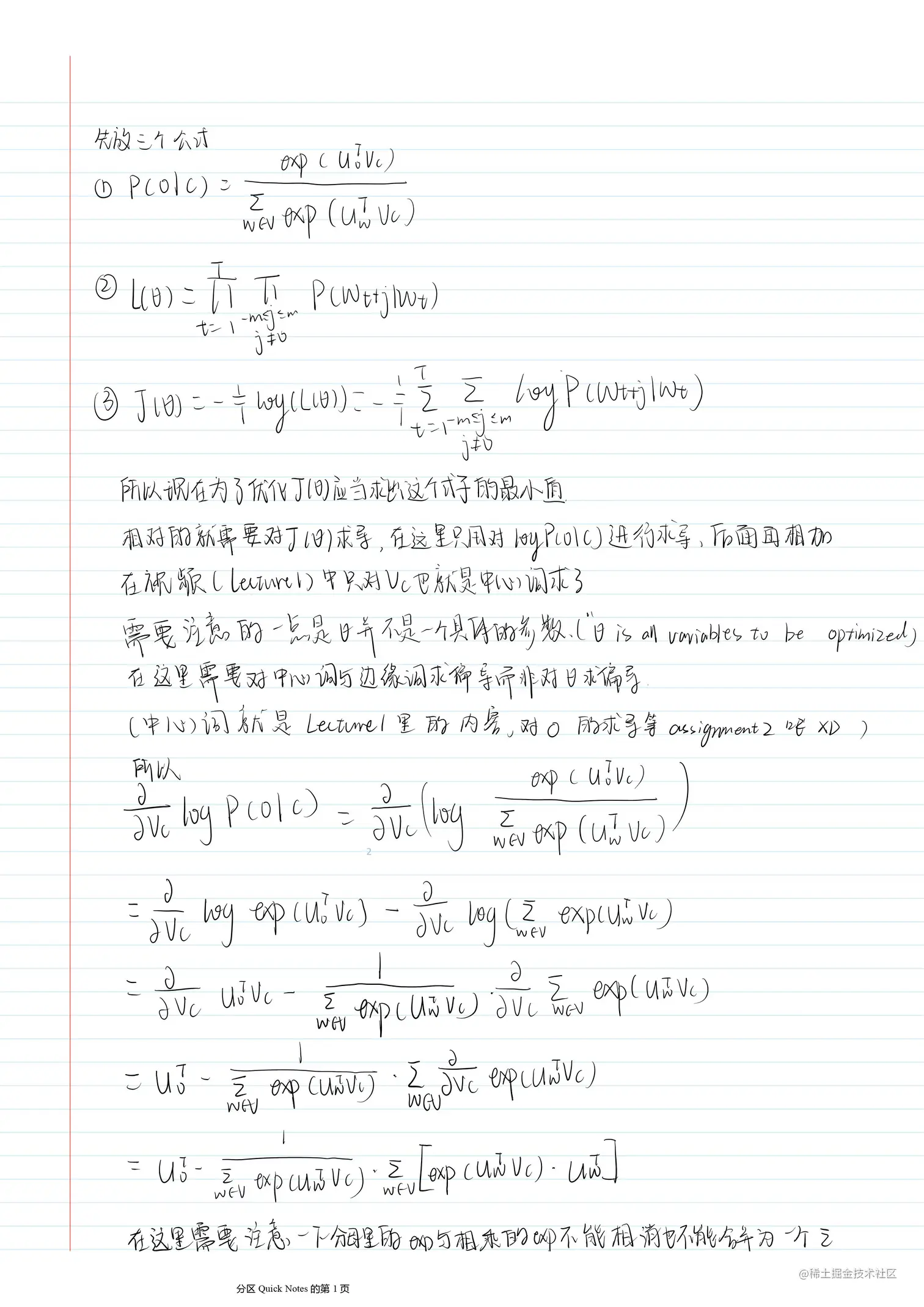
在这里优化的数学部分直接采用手写(字很丑但是应该看得懂吧)

数学过程-1.jpg

数学过程-2.jpg

Looking at word vectors

视频里就展示了一下jupyter, 然后讲了一个就是类比功能

analogy['pencil','sketching','camera']
return 'photograph'

Lecture 1 的笔记就这么多, 后面的Q&A环节就没记笔记了

最后放只小猫, 只是因为小猫Misty很可爱

1f4b3670e7da2f84ba81156d84862a1.jpg