【JS每日一算法】🟨99.从前序与中序遍历序列构造二叉树(递归回溯、递归回溯优化)

412 阅读1分钟

给定两个整数数组 preorder 和 inorder ,其中 preorder 是二叉树的先序遍历, inorder 是同一棵树的中序遍历,请构造二叉树并返回其根节点。

提示:

  • 1 <= preorder.length <= 3000
  • inorder.length == preorder.length
  • -3000 <= preorder[i], inorder[i] <= 3000
  • preorder 和 inorder 均 无重复 元素
  • inorder 均出现在 preorder
  • preorder 保证 为二叉树的前序遍历序列
  • inorder 保证 为二叉树的中序遍历序列

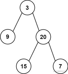
示例 1:

tree.jpg

输入 : preorder = [3,9,20,15,7], inorder = [9,3,15,20,7]
输出: [3,9,20,null,null,15,7]

示例 2:

输入: preorder = [-1], inorder = [-1]
输出: [-1]

题解:

个人博客

更多JS版本题解点击链接关注该仓库👀

/**
 * @description: 递归回溯  TC:O(n^2)  SC:O(n^2)
 * @author: JunLiangWang
 * @param {*} preorder 给定树的前序遍历
 * @param {*} inorder  给定树的中序遍历
 * @return {*}
 */
function recursionBackTracking(preorder, inorder) {
    /**
     * 本方案使用递归回溯的方式
     * 已知前序遍历有:[根,左子树,右子树]
     * 已知中序遍历有:[左子树,根,右子树]
     * 
     * 前序遍历数组中的首个元素肯定是根元素,
     * 因此我们可找到根元素在中序遍历中的位置
     * 然后根元素的左边则是左子树,右边则是右
     * 子树,然后我们删除前序遍历中的根元素,
     * 此时下一个元素则为左子树(如果左子树不为空)/
     * 右子树(如果左子树为空)的根节点,因此我们
     * 继续按照上述规则递归中序遍历中已经找到的
     * [左子树],[右子树],然后以此类推,直到递归
     * 完所有节点
     */

    // 如果节点为空,直接返回null
    if (preorder.length == 0 || inorder.length == 0) return null
    // 获得前序遍历数组中的首个元素,即为根元素,并删除
    let rootValue = preorder.shift(),
        // 找到根元素在中序遍历数组中的位置
        rootIndex = inorder.indexOf(rootValue),
        // 在中序遍历的数组中根元素的左边则为左子树
        leftArray = inorder.slice(0, rootIndex),
        // 在中序遍历的数组中根元素的右边则为右子树
        rightArray = inorder.slice(rootIndex + 1, inorder.length);
    // 返回构造一棵新的树,其根值为找打的根节点值,左节点为
    // 找到的左子树按照上述方式继续递归的结果,右子树同理
    return new TreeNode(rootValue, recursionBackTracking(preorder, leftArray), recursionBackTracking(preorder, rightArray));
}


/**
 * @description: 递归回溯优化  TC:O(n)  SC:O(n)
 * @author: JunLiangWang
 * @param {*} preorder 给定树的前序遍历数组
 * @param {*} inorder  给定树的中序遍历数组
 * @return {*}
 */
function recursionBackTrackingOptimization(preorder,inorder){
    /**
     * 我们可对上述递归回溯方案进一步优化,由于
     * 每次递归中我们都需要遍历中序数组找到根元
     * 素的位置,如下代码:
     * rootIndex = inorder.indexOf(rootValue),
     * 我们可以先利用Map记录节点中序遍历的位置,
     * 后续查找位置则无需多次遍历查找。
     * 
     * 对于递归参数preorder,inorder我们亦可以换成
     * 两个变量记录开始/结束位置索引即可
     * 
     */
    
    // 先利用Map记录节点中序遍历的位置
    // 后续查找位置不用多次遍历
    let inorderMap=new Map(),
    // 遍历到前序数组的位置
    preorderIndex=0;
    // 构造map
    inorder.forEach((value,index)=>{
        inorderMap.set(value,index)
    })
    /**
     * @description: 递归
     * @author: JunLiangWang
     * @param {*} startIndex 开始索引
     * @param {*} endIndex   结束索引
     * @return {*}
     */    
    function recursion(startIndex,endIndex){
        // 获取当前根节点
        let rootValue=preorder[preorderIndex],
        // 获取当前根节点在中序遍历中的位置
        rootIndex=inorderMap.get(rootValue),
        // 构造新的树
        node=new TreeNode(rootValue,null,null);
        // 更新前序数组已遍历的位置
        preorderIndex++   
        // 当根节点的索引等于开始索引,证明
        // 左边已经没有元素,此时左子树为null
        // 否则更新结束位置为根节点位置-1继续
        // 递归
        if(rootIndex>startIndex){
            node.left=recursion(startIndex,rootIndex-1)
        }
        // 当根节点的索引等于结束索引,证明
        // 右边已经没有元素,此时右子树为null
        // 否则更新开始位置为根节点位置+1继续
        // 递归
        if(rootIndex<endIndex){
            node.right=recursion(rootIndex+1,endIndex)
        }
        // 返回树
        return node;
    }
    // 执行递归
    return recursion(0,preorder.length-1)
}

来源:LeetCode