617. 合并二叉树

131 阅读2分钟

题目

给你两棵二叉树: root1 和 root2 。

想象一下,当你将其中一棵覆盖到另一棵之上时,两棵树上的一些节点将会重叠(而另一些不会)。你需要将这两棵树合并成一棵新二叉树。合并的规则是:如果两个节点重叠,那么将这两个节点的值相加作为合并后节点的新值;否则,不为 null 的节点将直接作为新二叉树的节点。

返回合并后的二叉树。

注意:  合并过程必须从两个树的根节点开始。

 

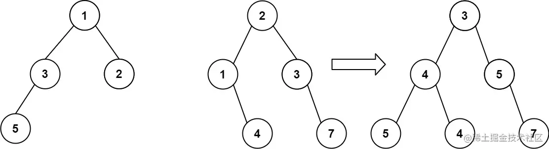
示例 1:

输入: root1 = [1,3,2,5], root2 = [2,1,3,null,4,null,7]
输出: [3,4,5,5,4,null,7]

示例 2:

输入: root1 = [1], root2 = [1,2]
输出: [2,2]

 

提示:

  • 两棵树中的节点数目在范围 [0, 2000] 内
  • -104 <= Node.val <= 104

题解

本题可使用深度优先搜索合并两个二叉树,从根节点同时遍历两个二叉树,并将对应的节点进行进行合并。

两个二叉树的对应节点可能存在三种情况,对于每种情况的合并方式如下:

  • 如果两个二叉树的对应节点都为空, 则合并的二叉树对应节点也为空。
  • 如果两个二叉树的对应节点只有一个为空,则合并后的二叉树的对应节点为其中的非空节点
  • 如果两个二叉树的对应节点都不为空,则合并后的二叉树节点的值为两个二叉树对应节点值之和,此时合并两个节点

当完成一个节点的合并之后,还要对节点的左右子树分别进行合并,这是一个递归的过程。

代码

/**
 * Definition for a binary tree node.
 * class TreeNode {
 *     val: number
 *     left: TreeNode | null
 *     right: TreeNode | null
 *     constructor(val?: number, left?: TreeNode | null, right?: TreeNode | null) {
 *         this.val = (val===undefined ? 0 : val)
 *         this.left = (left===undefined ? null : left)
 *         this.right = (right===undefined ? null : right)
 *     }
 * }
 */

function mergeTrees(root1: TreeNode | null, root2: TreeNode | null): TreeNode | null {
    if (root1 == null) {
        return root2;
    }

    if (root2 == null) {
        return root1;
    }

    root1.val = root1.val + root2.val;

    root1.left = mergeTrees(root1.left, root2.left);
    root1.right = mergeTrees(root1.right, root2.right);

    return root1;
};