Swift 数据结构与算法( 27) 链表 + Leetcode142. 环形链表 II(双指针)

1,213 阅读7分钟

Swift 数据结构与算法( ) 数组 + Leetcode

概念

这一题的关键概念和应用归纳如下:

  1. 快慢指针技巧 (Floyd's Cycle Detection Algorithm):这是一种使用两个移动速度不同的指针来检测循环(在这种情况下,是链表中的环)的技巧。这种方法不仅可以确定链表是否有环,还可以找到环的起始位置。

  2. 数学推导:在确定存在环之后,我们利用了数学和逻辑推导来确定环的起始位置。这包括了对环内外的距离进行比较,以及对快指针和慢指针的移动速度和距离的理解。

  3. 空间效率:此方法仅使用常数额外空间,即 O(1) 的空间复杂度,使其在处理大数据时非常高效。

实际应用

  1. 循环检测:除了链表,快慢指针技巧还可以应用于其他数据结构中,如数组,来检测循环或重复。

  2. 资源泄露诊断:在计算机程序中,如果存在不再需要但仍然被引用的对象,则可能会导致内存泄露。此技巧可以用于诊断此类问题。

  3. 网络诊断:在计算机网络中,数据包可能会在网络中的某些环路中被困。快慢指针技巧可以用于模拟并诊断此类问题。

  4. 周期性模式识别:在金融、气象学和其他领域中,数据可能会显示出周期性模式。此技巧可以帮助在数据中识别这些模式。

总之,本题不仅提供了一个解决链表问题的方法,还引入了一种在计算机科学和其他领域中都非常有用的技巧。

错误提示

总结一下代码中的问题:

这个循环条件是错误的。实际上希望循环继续,直到 fastslow 指针相遇或者 fastfast?.next 变为 nil。正确的条件应该是:

Create FileswiftCopy code
while fast != nil && fast?.next != nil && fast !== slow {
    ...
}
  1. 循环的初始条件:在的原始代码中,当尝试检测链表中的环时,while 循环的条件是不正确的。问题在于初始条件,因为设置了 slowfast 都指向 head,所以在循环的第一次迭代时,fast !== slow 评估为 false,导致循环不执行。

    错误的代码:

    while fast != nil && fast !== slow {
        slow = slow?.next
        fast = fast?.next?.next
    }
    

    应该首先移动 slowfast 指针,然后再检查它们是否相等。

    修正后的代码:

    while fast != nil && fast?.next != nil {
        slow = slow?.next
        fast = fast?.next?.next
        if slow === fast {
            break
        }
    }
    
  2. 接下来的检查是正确的。如果 slowfast 指针没有相遇,那么链表中没有环:

Create FileswiftCopy code
// If there's no cycle, return nil
if slow !== fast {
    return nil
}

判断链表是否有环

可以使用快慢指针法,分别定义 fast 和 slow 指针,从头结点出发,fast指针每次移动两个节点,slow指针每次移动一个节点,如果 fast 和 slow指针在途中相遇 ,说明这个链表有环。

为什么fast 走两个节点,slow走一个节点,有环的话,一定会在环内相遇呢,而不是永远的错开呢

首先第一点:fast指针一定先进入环中,如果fast指针和slow指针相遇的话,一定是在环中相遇,这是毋庸置疑的。

那么来看一下,为什么fast指针和slow指针一定会相遇呢?

可以画一个环,然后让 fast指针在任意一个节点开始追赶slow指针。

会发现最终都是这种情况, 如下图:

142环形链表1

fast和slow各自再走一步, fast和slow就相遇了

这是因为fast是走两步,slow是走一步,其实相对于slow来说,fast是一个节点一个节点的靠近slow的,所以fast一定可以和slow重合。

动画如下:

141.环形链表

如果有环,如何找到这个环的入口

此时已经可以判断链表是否有环了,那么接下来要找这个环的入口了。

假设从头结点到环形入口节点 的节点数为x。 环形入口节点到 fast指针与slow指针相遇节点 节点数为y。 从相遇节点 再到环形入口节点节点数为 z。 如图所示:

那么相遇时: slow指针走过的节点数为: x + y, fast指针走过的节点数:x + y + n (y + z),n为fast指针在环内走了n圈才遇到slow指针, (y+z)为 一圈内节点的个数A。

因为fast指针是一步走两个节点,slow指针一步走一个节点, 所以 fast指针走过的节点数 = slow指针走过的节点数 * 2:

(x + y) * 2 = x + y + n (y + z)

两边消掉一个(x+y): x + y = n (y + z)

因为要找环形的入口,那么要求的是x,因为x表示 头结点到 环形入口节点的的距离。

所以要求x ,将x单独放在左面:x = n (y + z) - y ,

再从n(y+z)中提出一个 (y+z)来,整理公式之后为如下公式:x = (n - 1) (y + z) + z 注意这里n一定是大于等于1的,因为 fast指针至少要多走一圈才能相遇slow指针。

这个公式说明什么呢?

先拿n为1的情况来举例,意味着fast指针在环形里转了一圈之后,就遇到了 slow指针了。

当 n为1的时候,公式就化解为 x = z

这里补充一下 即使n不为 1, 举例为 2

x = 2Z + y

那么, z + y = 一圈 的圆环举例.

两个新的 指针, 仍然会在圆环起点相遇. 等于多走了一个圆环而已.

这就意味着,从头结点出发一个指针,从相遇节点 也出发一个指针,这两个指针每次只走一个节点, 那么当这两个指针相遇的时候就是 环形入口的节点

也就是在相遇节点处,定义一个指针index1,在头结点处定一个指针index2。

让index1和index2同时移动,每次移动一个节点, 那么他们相遇的地方就是 环形入口的节点。

动画如下:

142.环形链表II(求入口)

题目

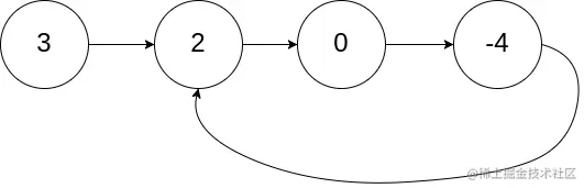
142. 环形链表 II 给定一个链表的头节点  head ,返回链表开始入环的第一个节点。 如果链表无环,则返回 null

如果链表中有某个节点,可以通过连续跟踪 next 指针再次到达,则链表中存在环。 为了表示给定链表中的环,评测系统内部使用整数 pos 来表示链表尾连接到链表中的位置(索引从 0 开始)。如果 pos 是 -1,则在该链表中没有环。注意:pos 不作为参数进行传递,仅仅是为了标识链表的实际情况。

不允许修改 链表。

 

示例 1:

输入: head = [3,2,0,-4], pos = 1
输出: 返回索引为 1 的链表节点
解释: 链表中有一个环,其尾部连接到第二个节点。

示例 2:

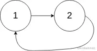
输入: head = [1,2], pos = 0
输出: 返回索引为 0 的链表节点
解释: 链表中有一个环,其尾部连接到第一个节点。

示例 3:

输入: head = [1], pos = -1
输出: 返回 null
解释: 链表中没有环。

 

提示:

  • 链表中节点的数目范围在范围 [0, 104] 内
  • -105 <= Node.val <= 105
  • pos 的值为 -1 或者链表中的一个有效索引

解题思路🙋🏻‍ ♀️

边界思考🤔

代码

class Solution {
    // 定义一个方法检测链表中的环
    func detectCycle(_ head: ListNode?) -> ListNode? {
        // 如果链表是空的或者只有一个节点,直接返回nil(无环)
        if head == nil || head?.next == nil {
            return nil
        }
        
        // 初始化两个指针:慢指针和快指针,都从头节点开始
        var slow: ListNode? = head
        var fast: ListNode? = head
        
        // 当快指针及其下一个节点不为nil时,持续循环
        while fast !== nil && fast?.next !== nil {
            // 慢指针每次移动一个节点
            slow = slow?.next
            // 快指针每次移动两个节点
            fast = fast?.next?.next
            // 如果两指针相遇,表示存在环,跳出循环
            if slow === fast {
                break
            }
        }
        
        // 如果循环结束后,慢指针与快指针不相等,表示链表中没有环
        if slow !== fast {
            return nil
        }
        
        // 将慢指针重新设置为头节点
        slow = head
        // 同时移动慢指针和快指针,直到它们再次相遇
        while slow !== fast {
            slow = slow?.next
            fast = fast?.next
        }
        
        // 返回环的起始节点
        return slow
    }
}

时空复杂度分析

O(n)

引用

本系列文章部分概念内容引用 www.hello-algo.com/

解题思路参考了 abuladong 的算法小抄, 代码随想录... 等等

Youtube 博主: huahua 酱, 山景城一姐,