Swift 数据结构与算法( 26 ) 链表 + Leetcode160. 相交链表(双指针)

102 阅读4分钟

Swift 数据结构与算法( ) 数组 + Leetcode

概念

为什么嫁接后的PA,PB的链表, 他们如果有相交的点,他们一定会重逢呢?

首先,让我们理解两个链表相交的含义。如果两个链表相交,那么它们在某个节点上相交,并且此后共享所有节点,即它们具有相同的尾部。这是因为在单链表中,一个节点只能有一个后续节点。

为了解释为什么嫁接后的链表 pApB 会在交点处重逢(如果有的话),让我们考虑以下两点:

  1. 两个链表的长度差异:假设链表 A 的长度为 a,链表 B 的长度为 b,并且 a > b。如果两个链表相交,那么它们在 a - b 之后的某个点相交。

  2. 嫁接后的遍历:当 pA 遍历完链表 A 后,它会跳到链表 B 的开始,继续遍历。同样,当 pB 遍历完链表 B 后,它会跳到链表 A 的开始,继续遍历。

由于 pApB 的遍历速度相同,当 pA 跳到链表 B 的头部时,pB 会在链表 A 中的 a - b 位置。然后,两个指针都将前进 b 步到达交点。同样,当 pB 跳到链表 A 的头部时,pA 会在链表 B 中的 b - a 位置。然后,两个指针都将前进 a 步到达交点。

简化解释

假设有两个链表 A 和 B,它们在某个节点 C 处相交。链表 A 在交点之前有 a 个节点,链表 B 在交点之前有 b 个节点。当 pA 遍历完链表 A 并跳到链表 B 的头部时,它遍历了 a 个节点。此时,pB 遍历了 b 个节点。由于 pApB 遍历速度相同,当 pA 遍历到交点时,pB 也会遍历到交点。

这样,两个指针最终会在交点处相遇,或者在链表的尾部相遇(如果没有交点)。

题目

160. 相交链表

给你两个单链表的头节点 headA 和 headB ,请你找出并返回两个单链表相交的起始节点。如果两个链表不存在相交节点,返回 null 。

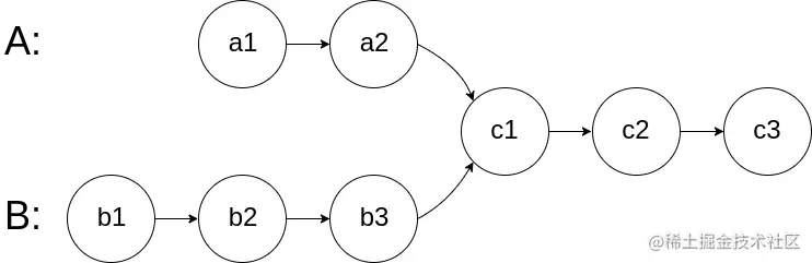
图示两个链表在节点 c1 开始相交

题目数据 保证 整个链式结构中不存在环。

注意,函数返回结果后,链表必须 保持其原始结构 。

自定义评测:

评测系统 的输入如下(你设计的程序 不适用 此输入):

  • intersectVal - 相交的起始节点的值。如果不存在相交节点,这一值为 0
  • listA - 第一个链表
  • listB - 第二个链表
  • skipA - 在 listA 中(从头节点开始)跳到交叉节点的节点数
  • skipB - 在 listB 中(从头节点开始)跳到交叉节点的节点数

评测系统将根据这些输入创建链式数据结构,并将两个头节点 headA 和 headB 传递给你的程序。如果程序能够正确返回相交节点,那么你的解决方案将被 视作正确答案 。

 

示例 1:

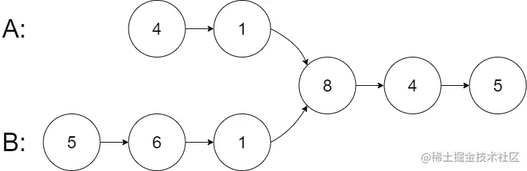
输入: intersectVal = 8, listA = [4,1,8,4,5], listB = [5,6,1,8,4,5], skipA = 2, skipB = 3
输出: Intersected at '8'
解释: 相交节点的值为 8 (注意,如果两个链表相交则不能为 0)。
从各自的表头开始算起,链表 A[4,1,8,4,5],链表 B[5,6,1,8,4,5]。
在 A 中,相交节点前有 2 个节点;在 B 中,相交节点前有 3 个节点。
— 请注意相交节点的值不为 1,因为在链表 A 和链表 B 之中值为 1 的节点 (A 中第二个节点和 B 中第三个节点) 是不同的节点。换句话说,它们在内存中指向两个不同的位置,而链表 A 和链表 B 中值为 8 的节点 (A 中第三个节点,B 中第四个节点) 在内存中指向相同的位置。

 

示例 2:

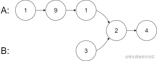
输入: intersectVal = 2, listA = [1,9,1,2,4], listB = [3,2,4], skipA = 3, skipB = 1
输出: Intersected at '2'
解释: 相交节点的值为 2 (注意,如果两个链表相交则不能为 0)。
从各自的表头开始算起,链表 A[1,9,1,2,4],链表 B[3,2,4]。
在 A 中,相交节点前有 3 个节点;在 B 中,相交节点前有 1 个节点。

示例 3:

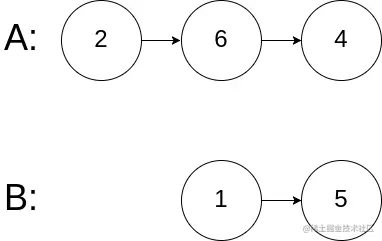
输入: intersectVal = 0, listA = [2,6,4], listB = [1,5], skipA = 3, skipB = 2
输出: null
解释: 从各自的表头开始算起,链表 A[2,6,4],链表 B[1,5]。
由于这两个链表不相交,所以 intersectVal 必须为 0,而 skipA 和 skipB 可以是任意值。
这两个链表不相交,因此返回 null 。

 

提示:

  • listA 中节点数目为 m
  • listB 中节点数目为 n
  • 1 <= m, n <= 3 * 104
  • 1 <= Node.val <= 105
  • 0 <= skipA <= m
  • 0 <= skipB <= n
  • 如果 listA 和 listB 没有交点,intersectVal 为 0
  • 如果 listA 和 listB 有交点,intersectVal == listA[skipA] == listB[skipB]

 

进阶: 你能否设计一个时间复杂度 O(m + n) 、仅用 O(1) 内存的解决方案?

class Solution {
    func getIntersectionNode(_ headA: ListNode?, _ headB: ListNode?) -> ListNode? {
         
    }
}

解题思路🙋🏻‍ ♀️

边界思考🤔

代码

class Solution {
    func getIntersectionNode(_ headA: ListNode?, _ headB: ListNode?) -> ListNode? {
         
        var dummyA = headA
        var dummyB = headB

        while dummyA !== dummyB {
            
            if dummyA == nil {
                dummyA = headB
            } else {
                dummyA = dummyA?.next
            }
            
            if dummyB == nil {
                dummyB = headA
            } else {
                dummyB = dummyB?.next
            }
            
        }
        
        return dummyA
    }
}

时空复杂度分析

O(m + n)

引用

本系列文章部分概念内容引用 www.hello-algo.com/

解题思路参考了 abuladong 的算法小抄, 代码随想录... 等等

Youtube 博主: huahua 酱, 山景城一姐,