算法套路四——反转链表

87 阅读3分钟

算法套路四——反转链表

算法示例一:LeetCode206. 反转链表

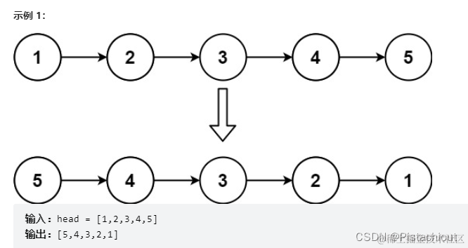
给你单链表的头节点 head ,请你反转链表,并返回反转后的链表。 在这里插入图片描述

在这里插入图片描述 在这里插入图片描述 初始化pre为空,cur为头指针

pre指针:记录当前结点的前一个结点 cur指针:记录当前结点,cur的next指针指向pre nxt指针:记录当前结点的后一个结点,记录cur的next,防止断链 循环中左边按照ncpc的顺序反转,右边按照cpcn的顺序,且左右两边第一个c都为cur.next 在这里插入图片描述 反转结束后,从原来的链表上看:pre指向反转这一段的末尾,即pre指向反转后的头结点,cur指向反转这一段后续的下一个节点

class Solution:
    def reverseList(self, head: Optional[ListNode]) -> Optional[ListNode]:
        pre = None
        cur = head
        while cur:
            nxt = cur.next
            cur.next = pre
            pre = cur
            cur = nxt
            #顺序为ncpc
        return pre

算法示例二:LeetCode92. 反转链表 II

给你单链表的头指针 head 和两个整数 left 和 right ,其中 left <= right 。请你反转从位置 left 到位置 right 的链表节点,返回 反转后的链表 。 在这里插入图片描述

这题比前一题相比只是在中间进行反转,

  • 如果left=1,那么反转的逻辑与前一题一样,可以令pre = None,cur = head
  • 但若是left>1,我们在反转时不是从head开始,那么在反转后需要一个结点p0来记录反转的前一个结点,从而反转后可以连接到前面的结点

但分情况讨论在问题复杂时比较麻烦,所以我们可以用到反转链表时常用的哨兵dummy结点,它可以作为一个“假”的头结点,它的下一个结点指向真正的头结点head,这样的话就可以认为left无论是大于或是等于1,都可以用p0来记录反转前的结点

初始化后如图所示,pre指向null,p0指向反转前一个结点, 在这里插入图片描述

在反转结束后链表结构如下图所示: 在这里插入图片描述

因此直接p0.next.next=cur,p0.Next = pre最后返回dummy.next,结果如下 在这里插入图片描述 不管head结点是否参与反转,由于p0.Next = pre,而pre指向反转后的头结点,故dummy.next一定是指向反转后的链表头结点

  • 若head结点参与反转,由于dummy=p0,故p0.Next = pre即dummy.next=pre,而pre是反转前的第一个结点即head,故返回dummy.Next
  • 若head没有参与反转,则dummy .next=head,故直接返回dummy.Next
func reverseBetween(head *ListNode, left int, right int) *ListNode {
    dummy := &ListNode{Val: 0, Next: head}
    p0:=dummy
    for i:=1;i<left;i++{
        p0=p0.Next
    }
    var pre,cur *ListNode = nil, p0.Next
    for i:=0;i<right-left+1;i++{
        nxt:=cur.Next
        cur.Next=pre
        pre=cur
        cur=nxt
    }
    p0.Next.Next = cur
    p0.Next = pre
    return dummy.Next
}

进阶Leetcode25. K 个一组翻转链表

给你链表的头节点 head ,每 k 个节点一组进行翻转,请你返回修改后的链表。k 是一个正整数,它的值小于或等于链表的长度。如果节点总数不是 k 的整数倍,那么请将最后剩余的节点保持原有顺序。你不能只是单纯的改变节点内部的值,而是需要实际进行节点交换。在这里插入图片描述

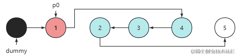
此题首先按照上一题的思路,在第一次反转后如图所示 在这里插入图片描述 之后进行下一次反转时如果按照上题的思路对p0进行移动 p0.Next.Next = cur p0.Next = pre,会得到如下图示

在这里插入图片描述

我们可以发现在进行转变后,对3,4进行反转时丢失了反转前一个节点,这样会导致之后的反转丢失前链,所以我们在转变之前需要一个变量pnext:=p0.Next即每次记录下一个p0结点,从而可以记录第二次反转时cur的前一个结点指针,然后进行p0.Next.Next = cur、p0.Next = pre赋值后,再将pnext赋给p0 最后如上题一样返回dummy.next

func reverseKGroup(head *ListNode, k int) *ListNode {
    n:=0
    for node:=head;node!=nil;node=node.Next{
        n++
    }
    dummy := &ListNode{Val: 0, Next: head}
    var pre *ListNode=nil
    cur:=head
    p0:=dummy
    for ;n>=k;n-=k{
        for i:=0;i<k;i++{
            nxt:=cur.Next
            cur.Next=pre
            pre=cur
            cur=nxt
        }
        pnext:=p0.Next//记录p0.Next,防止断链
        p0.Next.Next = cur
        p0.Next = pre
        p0=pnext
    }
    return dummy.Next
}

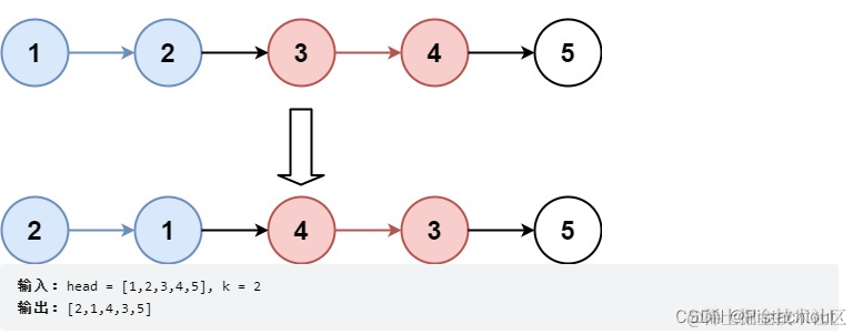
练习LeetCode24. 两两交换链表中的节点

给你一个链表,两两交换其中相邻的节点,并返回交换后链表的头节点。你必须在不修改节点内部的值的情况下完成本题(即,只能进行节点交换)。 在这里插入图片描述

这题是上一题的k=2的特例,直接调用上题的函数


func swapPairs(head *ListNode) *ListNode {
    return reverseKGroup(head,2)
}
func reverseKGroup(head *ListNode, k int) *ListNode {
    n:=0
    for node:=head;node!=nil;node=node.Next{
        n++
    }
    dummy := &ListNode{Val: 0, Next: head}
    var pre *ListNode=nil
    cur:=head
    p0:=dummy
    for ;n>=k;n-=k{
        for i:=0;i<k;i++{
            nxt:=cur.Next
            cur.Next=pre
            pre=cur
            cur=nxt
        }
        p0.Next.Next = cur
        pnext:=p0.Next
        p0.Next = pre
        p0=pnext
    }
    return dummy.Next
}