Leetcode刷题笔记20:二叉树6(654.最大二叉树-617.合并二叉树)

134 阅读3分钟

导语

leetcode刷题笔记记录,本篇博客记录二叉树部分的题目,主要题目包括:

  • 654 最大二叉树
  • 617 合并二叉树

Leetcode 654 最大二叉树

题目描述

给定一个不重复的整数数组 nums 。 最大二叉树 可以用下面的算法从 nums 递归地构建:

  1. 创建一个根节点,其值为 nums 中的最大值。
  2. 递归地在最大值 左边 的 子数组前缀上 构建左子树。
  3. 递归地在最大值 右边 的 子数组后缀上 构建右子树。

返回 nums 构建的 最大二叉树

 

示例 1:

输入: nums = [3,2,1,6,0,5]
输出: [6,3,5,null,2,0,null,null,1]
解释: 递归调用如下所示:
- [3,2,1,6,0,5] 中的最大值是 6 ,左边部分是 [3,2,1] ,右边部分是 [0,5] 。
    - [3,2,1] 中的最大值是 3 ,左边部分是 [] ,右边部分是 [2,1] 。
        - 空数组,无子节点。
        - [2,1] 中的最大值是 2 ,左边部分是 [] ,右边部分是 [1] 。
            - 空数组,无子节点。
            - 只有一个元素,所以子节点是一个值为 1 的节点。
    - [0,5] 中的最大值是 5 ,左边部分是 [0] ,右边部分是 [] 。
        - 只有一个元素,所以子节点是一个值为 0 的节点。
        - 空数组,无子节点。

解法

这两道题都是跟构造一个新的二叉树相关的题目,对于这类构造问题,一般都采用前序遍历,因为我们要先构造根节点才会去构造左右节点。这道题目使用递归法很容易就可以写出:

class Solution:
    def constructMaximumBinaryTree(self, nums: List[int]) -> Optional[TreeNode]:
        if not nums:
            return None

        max_value = max(nums)
        sep_index = nums.index(max_value)
        root = TreeNode(max_value)

        root.left = self.constructMaximumBinaryTree(nums[:sep_index])
        root.right = self.constructMaximumBinaryTree(nums[sep_index+1:])

        return root

Leetcode 617 合并二叉树

题目描述

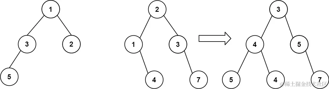
给你两棵二叉树: root1 和 root2 。

想象一下,当你将其中一棵覆盖到另一棵之上时,两棵树上的一些节点将会重叠(而另一些不会)。你需要将这两棵树合并成一棵新二叉树。合并的规则是:如果两个节点重叠,那么将这两个节点的值相加作为合并后节点的新值;否则,不为 null 的节点将直接作为新二叉树的节点。返回合并后的二叉树。

注意:  合并过程必须从两个树的根节点开始。

示例 1:

输入: root1 = [1,3,2,5], root2 = [2,1,3,null,4,null,7]
输出: [3,4,5,5,4,null,7]

解法

这道题目考察同时遍历两个二叉树的情况,由于都是相同位置合并,所以是同步进行遍历的,采用递归很容易得到合并的代码:

class Solution:
    def mergeTrees(self, root1: Optional[TreeNode], root2: Optional[TreeNode]) -> Optional[TreeNode]:

        if root1 is None:
            return root2
        if root2 is None:
            return root1

        # 这里已经排除了root1和root2都为None的情况了
        root = TreeNode(root1.val + root2.val)
        root.left = self.mergeTrees(root1.left, root2.left)
        root.right = self.mergeTrees(root1.right, root2.right)

        return root