代码随想录算法训练营 day 15: 层序遍历 | 226.翻转二叉树 | 101. 对称二叉树

65 阅读2分钟

102. Binary Tree Level Order Traversal

Given the root of a binary tree, return the level order traversal of its nodes' values. (i.e., from left to right, level by level).

 

Example 1:

Input: root = [3,9,20,null,null,15,7]
Output: [[3],[9,20],[15,7]]

Example 2:

Input: root = [1]
Output: [[1]]

Example 3:

Input: root = []
Output: []

 

Constraints:

  • The number of nodes in the tree is in the range [0, 2000].
  • -1000 <= Node.val <= 1000

BFS 复习。主要就两个要点:

  1. 用queue推入当前层的子节点,方法是pop一个推一个的子节点,双层循环是必须的
  2. 用一个size保存当前层的节点数,外层循环每循环处理一层。
/**
 * Definition for a binary tree node.
 * public class TreeNode {
 *     int val;
 *     TreeNode left;
 *     TreeNode right;
 *     TreeNode() {}
 *     TreeNode(int val) { this.val = val; }
 *     TreeNode(int val, TreeNode left, TreeNode right) {
 *         this.val = val;
 *         this.left = left;
 *         this.right = right;
 *     }
 * }
 */
class Solution {
    public List<List<Integer>> levelOrder(TreeNode root) {
        Deque<TreeNode> dq = new LinkedList<TreeNode>();
        int size = 0;
        List<List<Integer>> ans = new LinkedList<List<Integer>>();
        if (root == null) return ans;

        dq.offer(root);

        while(!dq.isEmpty()) {
            size = dq.size();
            List<Integer> clist = new LinkedList<Integer>();

            while(size-- > 0) {
                TreeNode node = dq.pop();
                clist.add(node.val);

                if(node.left != null) {
                    dq.offer(node.left);
                }
                if(node.right != null) {
                    dq.offer(node.right);
                }
            }
            ans.add(clist);
        }

        return ans;
    }
}

226. Invert Binary Tree

Given the root of a binary tree, invert the tree, and return its root.

 

Example 1:

Input: root = [4,2,7,1,3,6,9]
Output: [4,7,2,9,6,3,1]

Example 2:

Input: root = [2,1,3]
Output: [2,3,1]

Example 3:

Input: root = []
Output: []

 

Constraints:

  • The number of nodes in the tree is in the range [0, 100].
  • -100 <= Node.val <= 100

翻转二叉树。这题很简单但要想清楚。前序,后序遍历都可以一次翻完,但中序会重复翻转一些节点。BFS也可以一次翻完,迭代也可以。主要是翻转左右节点的操作中间不能夹推栈操作。

/**
 * Definition for a binary tree node.
 * public class TreeNode {
 *     int val;
 *     TreeNode left;
 *     TreeNode right;
 *     TreeNode() {}
 *     TreeNode(int val) { this.val = val; }
 *     TreeNode(int val, TreeNode left, TreeNode right) {
 *         this.val = val;
 *         this.left = left;
 *         this.right = right;
 *     }
 * }
 */
class Solution {

    public TreeNode invertTree(TreeNode root) {
        if(root == null) {
            return null;
        }

        Stack<TreeNode> st = new Stack<TreeNode>();

        st.push(root);

        while(!st.isEmpty()) {
            TreeNode cur = st.pop();
            TreeNode tmp = cur.left;
            cur.left = cur.right;
            cur.right = tmp;

            if(cur.left != null) {
                st.push(cur.left);
            }
            if(cur.right != null) {
                st.push(cur.right);
            }

        }

        return root;


    }
}

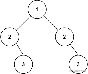
101. Symmetric Tree

Given the root of a binary tree, check whether it is a mirror of itself (i.e., symmetric around its center).

 

Example 1:

Input: root = [1,2,2,3,4,4,3]
Output: true

Example 2:

Input: root = [1,2,2,null,3,null,3]
Output: false

 

Constraints:

  • The number of nodes in the tree is in the range [1, 1000].
  • -100 <= Node.val <= 100

这题也是要想清楚遍历的调用顺序。既不是前序也不是中后序。本质上算是左右子树的比较,左子树的前序遍历集合要跟右子树的后序遍历集合一致。 直观感受是分别做前序和后序遍历,输出结果再比较,但一次遍历也是可以的。判断条件会比较繁杂,要注意空节点判断。

/**
 * Definition for a binary tree node.
 * public class TreeNode {
 *     int val;
 *     TreeNode left;
 *     TreeNode right;
 *     TreeNode() {}
 *     TreeNode(int val) { this.val = val; }
 *     TreeNode(int val, TreeNode left, TreeNode right) {
 *         this.val = val;
 *         this.left = left;
 *         this.right = right;
 *     }
 * }
 */
class Solution {
    public boolean rcHelper(TreeNode ln, TreeNode rn) {
        if(ln == null || rn == null) {
            if(ln == null && rn != null || ln != null && rn == null) {
                return false;
            }
            else {
                return true;
            }
        }
        //System.out.println(ln.val + "|" + rn.val);
        if(ln.val != rn.val) {
            return false;
        }

        boolean bleft = rcHelper(ln.left, rn.right);
        boolean bright = rcHelper(ln.right, rn.left);

        return bleft && bright;
    }
    public boolean isSymmetric(TreeNode root) {
        if(root == null) {
            return false;
        }

        return rcHelper(root.left, root.right);



    }
}