Swift 数据结构与算法( 18 ) 链表 + S_Leetcode141. 环形链表

66 阅读4分钟

概念

题目

给你一个链表的头节点 head ,判断链表中是否有环。

如果链表中有某个节点,可以通过连续跟踪 next 指针再次到达,则链表中存在环。 为了表示给定链表中的环,评测系统内部使用整数 pos 来表示链表尾连接到链表中的位置(索引从 0 开始)。注意:pos 不作为参数进行传递 。仅仅是为了标识链表的实际情况。

如果链表中存在环 ,则返回 true 。 否则,返回 false 。

 

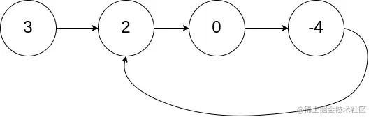
示例 1:

输入: head = [3,2,0,-4], pos = 1
输出: true
解释: 链表中有一个环,其尾部连接到第二个节点。

示例 2:

输入: head = [1,2], pos = 0
输出: true
解释: 链表中有一个环,其尾部连接到第一个节点。

示例 3:

输入: head = [1], pos = -1
输出: false
解释: 链表中没有环。

解题思路🙋🏻‍ ♀️

当快慢指针相遇时,让其中任一个指针指向头节点,然后让它俩以相同速度前进,再次相遇时所在的节点位置就是环开始的位置。

为什么要这样呢?这里简单说一下其中的原理。

我们假设快慢指针相遇时,慢指针 slow 走了 k 步,那么快指针 fast 一定走了 2k 步:

fast 一定比 slow 多走了 k 步,这多走的 k 步其实就是 fast 指针在环里转圈圈,所以 k 的值就是环长度的「整数倍」。

假设相遇点距环的起点的距离为 m,那么结合上图的 slow 指针,环的起点距头结点 head 的距离为 k - m,也就是说如果从 head 前进 k - m 步就能到达环起点。

巧的是,如果从相遇点继续前进 k - m 步,也恰好到达环起点。因为结合上图的 fast 指针,从相遇点开始走k步可以转回到相遇点,那走 k - m 步肯定就走到环起点了:

思考🤔

  1. 快慢指针的定义和移动

    • 错误:你的代码中,快指针和慢指针都从头节点开始,这会导致它们在第一次检查时就相遇。
    • 正确方法:通常,慢指针从头节点开始,而快指针从头节点的下一个节点开始。这样,如果存在环,快指针才有机会在某点追上慢指针。
  2. 改变链表结构

    • 错误:你的代码中,通过 fast?.next = newHead.next?.nextslow?.next = newHead.next 改变了链表的结构。
    • 正确方法:在检查链表是否有环时,我们只需移动快慢指针,而不改变链表的实际结构。
  3. 无限循环的风险

    • 错误:如果链表没有环,使用 while fast?.val != slow?.val 这样的条件会造成无限循环。
    • 正确方法:我们应该检查快指针或它的下一个节点是否为nil,这样可以确保在链表没有环时能够退出循环。
  4. 环判断条件

    • 错误:你在循环结束后使用了 if fast?.next == slow?.next 来判断环是否存在,这其实是不准确的。
    • 正确方法:应该在循环中直接判断快慢指针是否相遇(即它们是否指向同一个节点)。
  5. 使用!强制解包

    • 风险:在Swift中,使用!强制解包一个可能为nil的值是危险的,因为这可能会导致运行时崩溃。
    • 建议:尽量避免直接使用!,而是使用条件绑定或其他方法确保值不为nil。

代码

class Solution {
    func hasCycle(_ head: ListNode?) -> Bool {
        // 如果头节点为空或者头节点的下一个节点为空,直接返回false,因为至少需要两个节点来形成环
        if head == nil || head?.next == nil {
            return false
        }
        
        // 初始化慢指针为头节点
        var slow = head
        // 初始化快指针为头节点的下一个节点
        var fast = head?.next
        
        // 当快慢指针不相遇时,持续循环
        while slow !== fast {
            // 如果快指针或其下一个节点为nil,说明链表中没有环
            if fast == nil || fast?.next == nil {
                return false
            }
            
            // 慢指针每次移动一步
            slow = slow?.next
            // 快指针每次移动两步
            fast = fast?.next?.next
        }
        
        // 如果循环结束,说明快慢指针相遇,即链表中存在环
        return true
    }
}

时空复杂度分析

O(n)

引用

本系列文章部分概念内容引用 www.hello-algo.com/

解题思路参考了 abuladong 的算法小抄, 代码随想录... 等等

Youtube 博主: huahua 酱, 山景城一姐,