4.反转链表

1,039 阅读2分钟

leetcode.cn/problems/re…

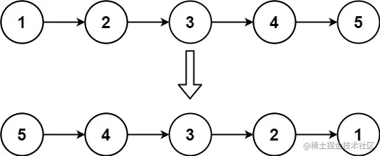
给你单链表的头节点 head ,请你反转链表,并返回反转后的链表。

示例 1:

输入: head = [1,2,3,4,5]
输出: [5,4,3,2,1]

示例 2:

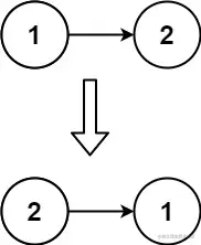
输入: head = [1,2]
输出: [2,1]

示例 3:

输入: head = []
输出: []

 

提示:

  • 链表中节点的数目范围是 [0, 5000]
  • -5000 <= Node.val <= 5000

 

进阶: 链表可以选用迭代或递归方式完成反转。你能否用两种方法解决这道题?


class Solution {

    public static void main(String[] args) {
        ListNode node = new ListNode(0);
        node.next = new ListNode(1);
        node.next.next = new ListNode(2);
        node.next.next.next = new ListNode(3);
        node.next.next.next.next = new ListNode(4);
        reverse(node);
    }

    public ListNode middleNode(ListNode head) {
        ListNode slow = head;
        ListNode fast = head;
        while (fast != null || fast.next != null) {
            slow = slow.next;
            fast = fast.next.next;
        }
        return slow;
    }

    public static ListNode reverse(ListNode head) {
        ListNode cur = head;
        ListNode pre = null;
        while (cur != null) {
            //暂存后继节点 cur.next=1
            ListNode tmp = cur.next;
            //将原来的头结点给cur的下一个节点
            cur.next = pre;
            //将当前cur作为pre也就是头结点,也就是遍历到谁谁就是头结点,原来的头结点要给到当前正在遍历的节点的下一个节点
            pre = cur;
            //假设pre=0 cur=1 cur.next=2
            //那么经过上面的操作以后,cur.next=0, pre = cur = 1 即 pre=1,pre.next=0 相当于是做了换位操作
            cur = tmp;
        }
        return pre;
    }
}

方法一:迭代

假设链表为 1→2→3→∅ 我们想要把它改成 ∅←1←2←3。

在遍历链表时,将当前节点的 next\textit{next}next 指针改为指向前一个节点。由于节点没有引用其前一个节点,因此必须事先存储其前一个节点。在更改引用之前,还需要存储后一个节点。最后返回新的头引用。

class Solution {
    public ListNode reverseList(ListNode head) {
        ListNode prev = null;
        ListNode curr = head;
        while (curr != null) {
            ListNode next = curr.next;
            curr.next = prev;
            prev = curr;
            curr = next;
        }
        return prev;
    }
}

时间复杂度:O(n)

其中 nnn 是链表的长度。需要遍历链表一次。

空间复杂度:O(1)。

方法二:递归

递归版本稍微复杂一些,其关键在于反向工作。假设链表的其余部分已经被反转,现在应该如何反转它前面的部分?

image.png

class Solution {
    public ListNode reverseList(ListNode head) {
        if (head == null || head.next == null) {
            return head;
        }
        ListNode newHead = reverseList(head.next);
        head.next.next = head;
        head.next = null;
        return newHead;
    }
}

复杂度分析

时间复杂度:O(n),其中 n 是链表的长度。需要对链表的每个节点进行反转操作。

空间复杂度:O(n),其中 n 是链表的长度。空间复杂度主要取决于递归调用的栈空间,最多为 n 层。