3.环形链表

995 阅读5分钟

题目链接:leetcode.cn/problems/li…

环形链表

给你一个链表的头节点 head ,判断链表中是否有环。

如果链表中有某个节点,可以通过连续跟踪 next 指针再次到达,则链表中存在环。 为了表示给定链表中的环,评测系统内部使用整数 pos 来表示链表尾连接到链表中的位置(索引从 0 开始)。注意:pos 不作为参数进行传递 。仅仅是为了标识链表的实际情况。

如果链表中存在环 ,则返回 true 。 否则,返回 false 。

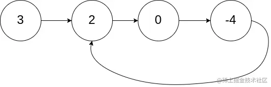
  示例 1:

输入: head = [3,2,0,-4], pos = 1
输出: true
解释: 链表中有一个环,其尾部连接到第二个节点。

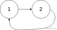
示例 2:

输入: head = [1,2], pos = 0
输出: true
解释: 链表中有一个环,其尾部连接到第一个节点。

示例 3:

输入: head = [1], pos = -1
输出: false
解释: 链表中没有环。

提示:

  • 链表中节点的数目范围是 [0, 10的4次方]
  • -10的5次方 <= Node.val <= 10的5次方
  • pos 为 -1 或者链表中的一个 有效索引 。
  • 链表结构如下
class ListNode {
    int val;
    ListNode next;

    ListNode(int x) {
        val = x;
        next = null;
    }

进阶: 你能用 O(1)(即,常量)内存解决此问题吗?

方法一:哈希表

最容易想到的方法是遍历所有节点,每次遍历到一个节点时,判断该节点此前是否被访问过。

具体地,我们可以使用哈希表来存储所有已经访问过的节点。每次我们到达一个节点,如果该节点已经存在于哈希表中,则说明该链表是环形链表,否则就将该节点加入哈希表中。重复这一过程,直到我们遍历完整个链表即可。

使用哈希表,将链表中的所有节点添加到Set中,如果添加失败说明存在相同的元素,即存在环返回true 如果将整个链表都成功添加到了Set集合,说明没有环返回false即可。

链接:leetcode.cn/problems/li…

class ListNode {
    int val;
    ListNode next;

    ListNode(int x) {
        val = x;
        next = null;
    }

    public class Solution {
        public boolean hasCycleUseSet(ListNode head) {
            Set set = new HashSet();
            //如果链表不为空 跳出循环 直接返回false
            while (head != null) {
                //如果添加失败 返回true
                if (!set.add(head)) {
                    return true;
                }
                //将指针指向链表的下一个元素
                head = head.next;
            }
            return false;
        }
    }
}

复杂度分析

时间复杂度:O(N),其中 N 是链表中的节点数。最坏情况下我们需要遍历每个节点一次。

空间复杂度:O(N),其中 N 是链表中的节点数。主要为哈希表的开销,最坏情况下我们需要将每个节点插入到哈希表中一次。

方法二:快慢指针

本方法需要读者对「Floyd 判圈算法」(又称龟兔赛跑算法)有所了解。

假想「乌龟」和「兔子」在链表上移动,「兔子」跑得快,「乌龟」跑得慢。当「乌龟」和「兔子」从链表上的同一个节点开始移动时,如果该链表中没有环,那么「兔子」将一直处于「乌龟」的前方;如果该链表中有环,那么「兔子」会先于「乌龟」进入环,并且一直在环内移动。等到「乌龟」进入环时,由于「兔子」的速度快,它一定会在某个时刻与乌龟相遇,即套了「乌龟」若干圈。

我们可以根据上述思路来解决本题。具体地,我们定义两个指针,一快一慢。慢指针每次只移动一步,而快指针每次移动两步。初始时,慢指针在位置 head,而快指针在位置 head.next。这样一来,如果在移动的过程中,快指针反过来追上慢指针,就说明该链表为环形链表。否则快指针将到达链表尾部,该链表不为环形链表。

class ListNode {
    int val;
    ListNode next;

    ListNode(int x) {
        val = x;
        next = null;
    }

    public class Solution {
        public boolean hasCycleUseFloyd(ListNode head) {
            //如果头结点或者第二个节点为空 必然不可能存在环
            if (head == null || head.next == null) {
                return false;
            }
            ListNode slow = head;
            ListNode fast = head.next;
            while (slow != fast) {
                //关键代码在这里 如果fast节点或者fast节点的后置节点为空 说明整个链表遍历完了
                //能遍历完必然无环
                //此处做fast.next判空,另外一个作用是防止fast.next.next抛出空指针异常
                if (fast == null || fast.next == null) {
                    return false;
                }
                //步进 慢节点步进1步 快节点步进2步
                slow = slow.next;
                fast = fast.next.next;
            }
            return true;
        }
    }
}

为什么我们要规定初始时慢指针在位置 head,快指针在位置 head.next,而不是两个指针都在位置 head(即与「乌龟」和「兔子」中的叙述相同)?

观察下面的代码,我们使用的是 while 循环,循环条件先于循环体。由于循环条件一定是判断快慢指针是否重合,如果我们将两个指针初始都置于 head,那么 while 循环就不会执行。因此,我们可以假想一个在 head 之前的虚拟节点,慢指针从虚拟节点移动一步到达 head,快指针从虚拟节点移动两步到达 head.next,这样我们就可以使用 while 循环了。

当然,我们也可以使用 do-while 循环。此时,我们就可以把快慢指针的初始值都置为 head。

复杂度分析

时间复杂度:O(N),其中 N 是链表中的节点数。

当链表中不存在环时,快指针将先于慢指针到达链表尾部,链表中每个节点至多被访问两次。

当链表中存在环时,每一轮移动后,快慢指针的距离将减小一。而初始距离为环的长度,因此至多移动 NNN 轮。

空间复杂度:O(1)。我们只使用了两个指针的额外空间。