死锁检测组件设计

119 阅读2分钟

死锁检测组件

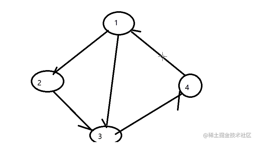
现在有三个临界资源和三把锁绑定了,三把锁又分别被三个线程占用。(不用关注临界资源,因为锁和临界资源是绑定的)

20230217203523

但现在出现这种情况:线程1去申请获取锁2,线程2申请获取锁3,线程3申请获取锁1,这样就会造成死锁:

20230215224714

死锁问题,可转换为有向图的环路检测

死锁的构建

有四个线程,4把锁,以下代码一定会产生死锁


pthread_mutex_t mtx1 = PTHREAD_MUTEX_INITIALIZER;
pthread_mutex_t mtx2 = PTHREAD_MUTEX_INITIALIZER;
pthread_mutex_t mtx3 = PTHREAD_MUTEX_INITIALIZER;
pthread_mutex_t mtx4 = PTHREAD_MUTEX_INITIALIZER;

void *thread_routine_a(void *arg) {

	printf("thread_routine a \n");
	pthread_mutex_lock(&mtx1);
	sleep(1);	
	
	pthread_mutex_lock(&mtx2);

	pthread_mutex_unlock(&mtx2);

	pthread_mutex_unlock(&mtx1);

	printf("thread_routine a exit\n");

}

void *thread_routine_b(void *arg) {

	printf("thread_routine b \n");
	pthread_mutex_lock(&mtx2);
	sleep(1);

	pthread_mutex_lock(&mtx3);

	pthread_mutex_unlock(&mtx3);

	pthread_mutex_unlock(&mtx2);

	printf("thread_routine b exit \n");
// -----
	pthread_mutex_lock(&mtx1);
}


void *thread_routine_c(void *arg) {

	printf("thread_routine c \n");
	pthread_mutex_lock(&mtx3);
	sleep(1);

	pthread_mutex_lock(&mtx4);

	pthread_mutex_unlock(&mtx4);

	pthread_mutex_unlock(&mtx3);

	printf("thread_routine c exit \n");
}


void *thread_routine_d(void *arg) {

	printf("thread_routine d \n");
	pthread_mutex_lock(&mtx4);
	sleep(1);

	pthread_mutex_lock(&mtx1);

	pthread_mutex_unlock(&mtx1);

	pthread_mutex_unlock(&mtx4);

	printf("thread_routine d exit \n");
}


int main() {
#if 1
	init_hook();
	
	pthread_t tid1, tid2, tid3, tid4;

	pthread_create(&tid1, NULL, thread_routine_a, NULL);
	pthread_create(&tid2, NULL, thread_routine_b, NULL);
	pthread_create(&tid3, NULL, thread_routine_c, NULL);
	pthread_create(&tid4, NULL, thread_routine_d, NULL);

	pthread_join(tid1, NULL);
	pthread_join(tid2, NULL);
	pthread_join(tid3, NULL);
	pthread_join(tid4, NULL);
}

这里产生了:线程a => 线程b => 线程c => 线程d =》 线程a的这样一个环路

但是我们不知道哪把锁被哪个线程占用了,没法构建有向图,也就无法得知是否产生了这样一个环路

这时,可以用hook,调自己写的 pthread_mutex_lock,将线程和锁的映射关系保存起来

pthread的hook

有点像装饰器模式

// 函数指针
typedef int (*pthread_mutex_lock_t)(pthread_mutex_t *mutex);
pthread_mutex_lock_t pthread_mutex_lock_f;

typedef int (*pthread_mutex_unlock_t)(pthread_mutex_t *mutex);
pthread_mutex_unlock_t pthread_mutex_unlock_f;

static int init_hook() {
	//  RTLD_NEXT可以理解为代码段,在这里面找pthread_mutex_lock函数名,把地址返回
    // 所以pthread_mutex_lock_f就是静态或动态库里的pthread_mutex_lock锁函数  
	pthread_mutex_lock_f = dlsym(RTLD_NEXT, "pthread_mutex_lock"); 
	
	pthread_mutex_unlock_f = dlsym(RTLD_NEXT, "pthread_mutex_unlock");
}

int pthread_mutex_lock(pthread_mutex_t *mutex) {

	printf("pthread_mutex_lock selfid %ld, mutex: %p\n", pthread_self(), mutex);
	beforelock(pthread_self(), mutex);
	
	pthread_mutex_lock_f(mutex);    // 用钩子的好处,给系统函数命一个别名

	afterlock(pthread_self(), mutex);

}

int pthread_mutex_unlock(pthread_mutex_t *mutex) {

	printf("pthread_mutex_unlock\n");

	pthread_mutex_unlock_f(mutex);
	afterunlock(pthread_self(), mutex);
	
}

这样,在加锁的时候,就能知道锁id(mutex)和线程id的对应关系

图的构建

通过邻接表实现有向图,如:线程1等待线程2释放锁,则将线程id2挂到线程1后面

20230216225923

而如何知道线程1申请的锁被线程2占用了呢:设置一个 mutex 和 thread的映射列表(结构体数组),通过mutex返回threadid。

如线程1对mutex1加锁,将(mutex1,threadid1)加入locklist中,表示mutex1被线程1占用了

图的邻接表生成:当前线程根据要申请的mutex a找到占用这把锁的线程id A(通过映射列表),将改线程追加到自己的后面

通过邻接表检测环路:DFS,检测过的标为1,再遇到一个1就表示死锁了

20230216230719

那我们怎么把这个图构建起来: 通过三个原语操作 beforelock、afterlock、afterrunlock 以后要用到再说吧

至此,死锁检测组件设计的大致思路为:通过hook保存muitex和threadid的映射关系,根据这个映射关系生成线程之间的有向图(邻接表),再利用dfs检测图的环路