k近邻(KNN)算法

189 阅读3分钟

blog2.webp KNN(K-NearestNeighbor);即K近邻算法是数据挖掘分类技术中最简单的方法之一。所谓K近邻就是K个最近的邻居的意思,说的是每个样本都可以用它最接近的K个邻近值来代表。

knn.png

假设特征空间有8个样本点;

其中红色点为良性肿瘤;蓝色点为恶性肿瘤;

现在要预测绿色点是良性肿瘤还是恶性肿瘤;

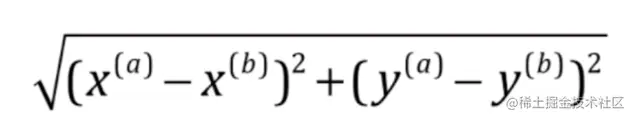
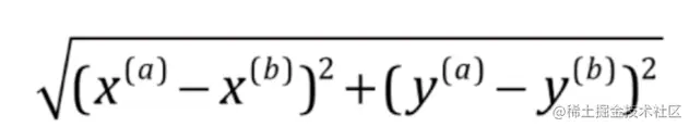
我们需要计算出绿色点到所有其他样本点的距离;选择出距离最小的K个点;对K个点所属的类别进行比较;根据少数服从多数的原则;将测试样本点归入在K个点中占比最高的那一类。计算距离方法一般采用欧拉距离公式:

欧拉距离公式.png

n维特征空间欧式距离计算公式

多为欧拉距离公式.png

实现步骤

总体来说,KNN分类算法包括以下4个步骤:
①准备数据,对数据进行预处理
②计算测试样本点(也就是待分类点)到其他每个样本点的距离 。
③对每个距离进行排序,然后选择出距离最小的K个点。
④对K个点所属的类别进行比较,根据少数服从多数的原则,将测试样本点归入在K个点中占比最高的那一类。

K 值的选择

了解完它的原理之后,下一个要讨论的问题就是,K 的值怎么选择。也就是说,应该选取最近的几个数据点来预测当前数据点呢?

以上面的图为例,如果我们把 K 的值定为 3,那么新数据(绿色)最终的预测结果为红色的三角形,如果 K 为 5,那结果就成了蓝色正方形。在 KNN 算法中,选择 K 的值的过程,其实就是算法参数调优的过程,并没有一个通用的最优的 K 值。

  • 如果 K 的值太小,那么预测结果很容易被出现在附近的一场数据点所影响,导致数据异常被扩大。
  • 如果 K 的值太大,距离较远的那些与预测数据点相似度不大的数据点与之匹配,会导致隐含的模式被忽略。

通常为了找到合适的 K 值,可以使用交叉验证法(挖个坑)对 K 进行调优。另外,还可以根据距离远近,使用不同的权重对新数据进行预测,使得离预测数据点越近的邻居对其影响越大。

KNN算法优缺点

优点:

1)思想简单、效果强大。
2)天然可解决多分类问题。
2)重新训练的代价较低(类别体系的变化和训练集的变化,在Web环境和电子商务应用中是很常见的)。
3)计算时间和空间线性于训练集的规模(在一些场合不算太大)。

缺点:

1)效率低下,如果训练集有m个样本,n个特征,则预测每一个新的数据,计算复杂度O(m*n)
2)高度数据相关,当样本不平衡时,如一个类的样本容量很大,而其他类样本容量很小时,有可能导致当输入一个新样本时,该样本的K个邻居中大容量类的样本占多数;对数据的局部结构比较敏感。如果查询点是位于训练集较密集的区域,那预测相对比其他稀疏集来说更准确。
3)预测结果不具有可解释性,只是找到了预测样本距离最近的样本点,不知道为什么属于预测类别。
4)维数灾难:随着维度增加,看似距离很近的2个点距离越来越大

python代码推荐:blog.csdn.net/weixin_4513…