【JS每日一算法】🟨92.验证二叉搜索树(中序遍历)

359 阅读1分钟

给你一个二叉树的根节点 root ,判断其是否是一个有效的二叉搜索树。

有效 二叉搜索树定义如下:

  • 节点的左子树只包含 小于 当前节点的数。
  • 节点的右子树只包含 大于 当前节点的数。
  • 所有左子树和右子树自身必须也是二叉搜索树。

提示:

  • 树中节点数目范围在[1, 104] 内
  • -2^31 <= Node.val <= 2^31 - 1

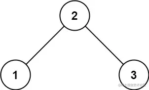
示例 1:

tree1.jpg

输入: root = [2,1,3]
输出: true

示例 2:

tree2.jpg

输入: root = [5,1,4,null,null,3,6]
输出: false
解释: 根节点的值是 5 ,但是右子节点的值是 4

题解:

更多JS版本题解点击链接关注该仓库👀个人博客

/**
 * @description: 中序遍历  TC:O(n)  SC:O(n)
 * @author: JunLiangWang
 * @param {*} root 给定二叉树根节点
 * @return {*}
 */
function InorderTraversal(root){
    /**
     * 二叉搜索树有个非常明显的特性,即:二叉搜索树中序遍历是严格递增有序的。
     * 因此我们只需要中序遍历二叉树,如果它是严格递增的即为一颗二叉搜索树。
     */

    // 记录上一个节点值,判断是否严格递增
    let lastValue=null;

    /**
     * @description: 递归中序遍历(左根右)
     * @author: JunLiangWang
     * @param {*} root 当前节点
     * @return {*}
     */    
    function recursion(root){
        // 如果当前节点为空,是二叉搜索树,直接返回true
        if(!root)return true;
        // 继续递归左子树,看其是否为二叉搜索树
        let leftTreeIsBST= recursion(root.left)
        // 如果当前节点值小于等于上一个节点值,证明中序遍历不是严格递增的
        // 即该树不是一个二叉搜索树,返回false
        if(lastValue!=null&&lastValue>=root.val)return false;
        // 更新上一个节点值为当前节点值
        lastValue=root.val
        // 继续递归右子树,看其是否为二叉搜索树
        let rightTreeIsBST=recursion(root.right)
        // 如果左右子树都为二叉搜索树,则证明该节点作为根的子树为二叉搜索树
        return leftTreeIsBST&rightTreeIsBST
    }

    // 执行递归
    return recursion(root)
}

来源:力扣(LeetCode)