剑指 Offer II 024. 反转链表

86 阅读1分钟

题目

给定单链表的头节点 head ,请反转链表,并返回反转后的链表的头节点。

 

示例 1:

输入: head = [1,2,3,4,5]
输出: [5,4,3,2,1]

示例 2:

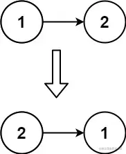
输入: head = [1,2]
输出: [2,1]

示例 3:

输入: head = []
输出: []

 

提示:

  • 链表中节点的数目范围是 [0, 5000]
  • -5000 <= Node.val <= 5000

题解

本题可以使用递归的解法, 链表天然递归的性质,反转链表可以拆分为两个子问题:

  1. 反转头结点
  2. 反转头结点后剩下的子节点

而子问题2求解方式和反转链表一样, 反转头结点后剩下的子节点 又可以拆分为反转头结点反转头结点后剩下的子节点,依次类推,直到链表只剩下一个节点,

存在的最小子问题是只有一个节点,可以不用反转, 直接返回。

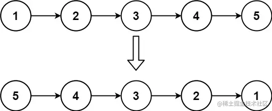
示例 1:

输入: head = [1,2,3,4,5]
输出: [5,4,3,2,1]

示例1的具体执行流程:

首先链表递归,执行的过程,递到尾结点, 然后再从尾节点一层一层向上,完成反转链表

// 递的过程
1 -> 2 -> 3 -> 4 -> 5 -> null
     2 -> 3 -> 4 -> 5 -> null
          3 -> 4 -> 5 -> null
               4 -> 5 -> null
                    5 -> null
              
// 归的过程

// 有两个节点,当前head = 2, 把head.next.next = head,  head.next = null 
// 即 5-> 4 -> 3 -> 2 -> 1    
 null <- 1 <- 2 <- 3 <- 4 <- 5 

// 有两个节点,当前head = 2, 把head.next.next = head,  head.next = null 
// 即 5-> 4 -> 3 -> 2    
              2 <- 3 <- 4 <- 5 
     
// 有两个节点,当前head = 3, 把head.next.next = head,  head.next = null 
// 即 5-> 4 -> 3       
     
                  3 <- 4 <- 5 
          
// 有两个节点,当前head = 3, 把head.next.next = head,  head.next = null 
// 即 5-> 4     
                       4 <- 5
               
//只有一个节点不反转
                         5 -> null

代码

/**
 * Definition for singly-linked list.
 * function ListNode(val, next) {
 *     this.val = (val===undefined ? 0 : val)
 *     this.next = (next===undefined ? null : next)
 * }
 */
/**
 * @param {ListNode} head
 * @return {ListNode}
 */
var reverseList = function(head) {
    if (head == null || head.next == null) {
        return head;
    }

    let newHead =  reverseList(head.next);
    head.next.next = head;
    head.next = null;

    return newHead;
};

原题链接

剑指 Offer II 024. 反转链表