使用singleflight,避免并发重复请求

2,164 阅读3分钟

背景

高并发的场景下,经常会出现并发重复请求资源的情况。

比如说,缓存失效时,我们去请求db获取最新的数据,如果这个key是一个热key,那么在缓存失效的瞬间,可能会有大量的并发请求访问到db,导致db访问量陡增,甚至是打崩db,这种场景也就是我们常说的缓存击穿。

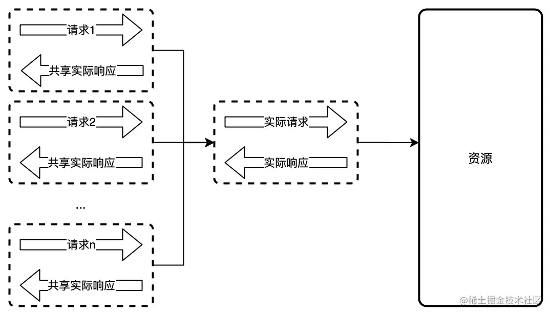
流程图-10.jpg

针对同一个key的并发请求,这些请求和响应实际上都是一样的。所以我们可以把这种并发请求优化为:只进行一次实际请求去访问资源,然后得到实际响应,所有的并发请求共享这个实际响应的结果

针对分布式场景,我们可以使用分布式锁来实现

针对单机场景,我们可以使用singleflight来实现

流程图-11.jpg

singleflight

singleflight是golang内置的一个包,这个包提供了对重复函数调用的抑制功能,也就是保证并发请求只会有一个实际请求去访问资源,所有并发请求共享实际响应。

使用

singleflight在golang sdk源码中的路径为:src/internal/singleflight

但是internal是golang sdk内部的包,所以我们不能直接去使用

使用步骤:

  1. 引入go mod
  2. 使用singleflight包

引入go mod

go get golang.org/x/sync

使用singleflight包

singleflight包主要提供了三个方法

// 方法作用:保证并发请求只会执行一次函数,并共享实际响应
// 请求参数
// key:请求的唯一标识,相同的key会被视为并发请求
// fn:实际需要执行的函数
// 响应参数
// v:实际执行函数的返回值
// err:实际执行函数的错误
// shared:返回值v是否被共享,若存在并发请求,则为true;若不存在并发请求则为false
func (g *Group) Do(key string, fn func() (any, error)) (v any, err error, shared bool)

// 方法作用:和Do类似,不过方法返回的是chan
func (g *Group) DoChan(key string, fn func() (any, error)) (<-chan Result, bool)

// 方法作用:删除key,一般来说不会直接使用这个方法
func (g *Group) ForgetUnshared(key string) bool

针对以上的三个方法,我们重点了解一下Do方法的使用即可

没有使用singleflight之前

package main

import (
   "fmt"
   "sync"
   "testing"
   "time"
)

var (
   mx        sync.Mutex
   wg        sync.WaitGroup
   cacheData = make(map[string]string, 0)
)

func TestSingleFlight(t *testing.T) {
   // 添加10个任务,模拟并发请求
   wg.Add(10)
   for i := 0; i < 10; i++ {
      go getData("demo")
   }
   // 等待所有任务完成
   wg.Wait()
}

func getData(key string) {
   data, _ := getDataFromCache(key)
   if len(data) == 0 {
      // 缓存没有找到,则进行回源
      data, _ = getDataFromDB(key)
      // 设置缓存
      mx.Lock()
      cacheData[key] = data
      mx.Unlock()
   }
   fmt.Println(data)
   // 任务完成
   wg.Done()
}

func getDataFromCache(key string) (string, error) {
   return cacheData[key], nil
}

func getDataFromDB(key string) (string, error) {
   fmt.Println("getDataFromDB key: ", key)
   // 模拟访问db的耗时
   time.Sleep(10 * time.Millisecond)
   return "db data", nil
}

执行TestSingleFlight函数后,会发现并发请求多次调用了getDataFromDB函数

使用singleflight之后

package main

import (
   "fmt"
   "golang.org/x/sync/singleflight"
   "sync"
   "testing"
   "time"
)

var (
   mx        sync.Mutex
   wg        sync.WaitGroup
   g         singleflight.Group
   cacheData = make(map[string]string, 0)
)

func TestSingleFlight(t *testing.T) {
   // 添加10个任务
   wg.Add(10)
   for i := 0; i < 10; i++ {
      go getDataSingleWarp("demo")
   }
   // 等待所有任务完成
   wg.Wait()
}

func getDataSingleWarp(key string) {
   data, _ := getDataFromCache(key)
   if len(data) == 0 {
      // 使用singleflight来避免并发请求,实际改动就这一行
      d, _, shared := g.Do(key, func() (interface{}, error) {
         return getDataFromDB(key)
      })
      fmt.Println(shared)
      data = d.(string)
      // 设置缓存
      mx.Lock()
      cacheData[key] = data
      mx.Unlock()
   }
   fmt.Println(data)
   wg.Done()
}

func getDataFromCache(key string) (string, error) {
   return cacheData[key], nil
}

func getDataFromDB(key string) (string, error) {
   fmt.Println("getDataFromDB key: ", key)
   // 模拟访问db的耗时
   time.Sleep(10 * time.Millisecond)
   return "db data", nil
}

执行TestSingleFlight函数后,会发现只调用了一次getDataFromDB函数

源码分析

  • Group struct:封装并发请求
  • call struct:每一个需要执行的函数,都会被封装成一个call
  • func Do:对并发请求进行控制的方法
// Copyright 2013 The Go Authors. All rights reserved.
// Use of this source code is governed by a BSD-style
// license that can be found in the LICENSE file.

// Package singleflight provides a duplicate function call suppression
// mechanism.
package singleflight // import "golang.org/x/sync/singleflight"

import (
   "bytes"
   "errors"
   "fmt"
   "runtime"
   "runtime/debug"
   "sync"
)

// errGoexit indicates the runtime.Goexit was called in
// the user given function.
var errGoexit = errors.New("runtime.Goexit was called")

// A panicError is an arbitrary value recovered from a panic
// with the stack trace during the execution of given function.
type panicError struct {
   value interface{}
   stack []byte
}

// Error implements error interface.
func (p *panicError) Error() string {
   return fmt.Sprintf("%v\n\n%s", p.value, p.stack)
}

func newPanicError(v interface{}) error {
   stack := debug.Stack()

   // The first line of the stack trace is of the form "goroutine N [status]:"
   // but by the time the panic reaches Do the goroutine may no longer exist
   // and its status will have changed. Trim out the misleading line.
   if line := bytes.IndexByte(stack[:], '\n'); line >= 0 {
      stack = stack[line+1:]
   }
   return &panicError{value: v, stack: stack}
}

// call is an in-flight or completed singleflight.Do call
type call struct {
   // 保证相同key,只会进行一次实际请求
   // 相同key的并发请求会共享返回
   wg sync.WaitGroup

   // These fields are written once before the WaitGroup is done
   // and are only read after the WaitGroup is done.
   // 实际执行函数的返回值和错误
   val interface{}
   err error

   // forgotten indicates whether Forget was called with this call's key
   // while the call was still in flight.
   // 是否已删除当前并发请求的key
   forgotten bool

   // These fields are read and written with the singleflight
   // mutex held before the WaitGroup is done, and are read but
   // not written after the WaitGroup is done.
   // 并发请求的次数
   dups  int
   chans []chan<- Result
}

// Group represents a class of work and forms a namespace in
// which units of work can be executed with duplicate suppression.
type Group struct {
   mu sync.Mutex       // protects m
   // key代表请求的唯一标识,相同的key会被视为并发请求
   // value代表实际请求,每一个实际请求都会被封装为call  
   m  map[string]*call // lazily initialized
}

// Result holds the results of Do, so they can be passed
// on a channel.
type Result struct {
   Val    interface{}
   Err    error
   Shared bool
}

// Do executes and returns the results of the given function, making
// sure that only one execution is in-flight for a given key at a
// time. If a duplicate comes in, the duplicate caller waits for the
// original to complete and receives the same results.
// The return value shared indicates whether v was given to multiple callers.
func (g *Group) Do(key string, fn func() (interface{}, error)) (v interface{}, err error, shared bool) {
   // 加锁
   g.mu.Lock()
   // 懒加载
   if g.m == nil {
      g.m = make(map[string]*call)
   }
   // 判断是否有并发请求,如果key已经存在,则说明存在并发请求
   if c, ok := g.m[key]; ok {
      // 并发请求次数+1
      c.dups++
      // 解锁
      g.mu.Unlock()
      // 等待实际请求执行完
      c.wg.Wait()

      if e, ok := c.err.(*panicError); ok {
         panic(e)
      } else if c.err == errGoexit {
         runtime.Goexit()
      }
      // 共享响应
      return c.val, c.err, true
   }
   c := new(call)
   c.wg.Add(1)
   // 添加并发请求key
   g.m[key] = c
   // 解锁
   g.mu.Unlock()
   // 进行实际请求
   g.doCall(c, key, fn)
   return c.val, c.err, c.dups > 0
}

// DoChan is like Do but returns a channel that will receive the
// results when they are ready.
//
// The returned channel will not be closed.
func (g *Group) DoChan(key string, fn func() (interface{}, error)) <-chan Result {
   ch := make(chan Result, 1)
   g.mu.Lock()
   if g.m == nil {
      g.m = make(map[string]*call)
   }
   if c, ok := g.m[key]; ok {
      c.dups++
      c.chans = append(c.chans, ch)
      g.mu.Unlock()
      return ch
   }
   c := &call{chans: []chan<- Result{ch}}
   c.wg.Add(1)
   g.m[key] = c
   g.mu.Unlock()

   go g.doCall(c, key, fn)

   return ch
}

// doCall handles the single call for a key.
func (g *Group) doCall(c *call, key string, fn func() (interface{}, error)) {
   // 正常返回标识
   normalReturn := false
   // 是否执行了recover标识
   recovered := false

   // use double-defer to distinguish panic from runtime.Goexit,
   // more details see https://golang.org/cl/134395
   defer func() {
      // the given function invoked runtime.Goexit
      if !normalReturn && !recovered {
         c.err = errGoexit
      }
      // 实际请求执行完成
      c.wg.Done()
      // 加锁
      g.mu.Lock()
      defer g.mu.Unlock()
      // 删除并发请求key
      if !c.forgotten {
         delete(g.m, key)
      }

      if e, ok := c.err.(*panicError); ok {
         // In order to prevent the waiting channels from being blocked forever,
         // needs to ensure that this panic cannot be recovered.
         if len(c.chans) > 0 {
            go panic(e)
            select {} // Keep this goroutine around so that it will appear in the crash dump.
         } else {
            panic(e)
         }
      } else if c.err == errGoexit {
         // Already in the process of goexit, no need to call again
      } else {
         // Normal return
         for _, ch := range c.chans {
            ch <- Result{c.val, c.err, c.dups > 0}
         }
      }
   }()
   
   // 匿名函数立即执行
   func() {
      defer func() {
         if !normalReturn {
            // Ideally, we would wait to take a stack trace until we've determined
            // whether this is a panic or a runtime.Goexit.
            //
            // Unfortunately, the only way we can distinguish the two is to see
            // whether the recover stopped the goroutine from terminating, and by
            // the time we know that, the part of the stack trace relevant to the
            // panic has been discarded.
            if r := recover(); r != nil {
               c.err = newPanicError(r)
            }
         }
      }()
      
      // 执行实际函数
      c.val, c.err = fn()
      // 正常返回
      normalReturn = true
   }()

   if !normalReturn {
      recovered = true
   }
}

// Forget tells the singleflight to forget about a key.  Future calls
// to Do for this key will call the function rather than waiting for
// an earlier call to complete.
func (g *Group) Forget(key string) {
   g.mu.Lock()
   if c, ok := g.m[key]; ok {
      c.forgotten = true
   }
   delete(g.m, key)
   g.mu.Unlock()
}