Leetcode刷题笔记4:链表基础2

163 阅读3分钟

导语

leetcode刷题笔记记录,本篇博客记录链表基础2部分的题目,主要题目包括:

  • 24 两两交换链表中的节点 
  • 19 删除链表的倒数第N个节点 
  • 160 链表相交 
  • 142 环形链表II

链表的定义

Python中,对于一个链表的节点定义非常简单,只要包含数据和指针字段即可,如:

class ListNode:
    def __init__(self, val=0, next=None):
        self.val = val
        self.next = next

Leetcode 24 两两交换链表中的节点

题目描述

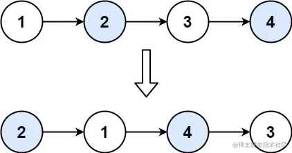
给你一个链表,两两交换其中相邻的节点,并返回交换后链表的头节点。你必须在不修改节点内部的值的情况下完成本题(即,只能进行节点交换)。

 

示例 1:

输入: head = [1,2,3,4]
输出: [2,1,4,3]

提示:

  • 链表中节点的数目在范围 [0, 100] 内
  • 0 <= Node.val <= 100

解法

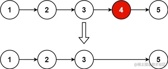
这道题目还是可以通过添加一个虚拟头结点的方式完成,在head前面新建一个dummpy_head节点指向head,之后,使用三个指针,分别标记前一个节点、当前节点和后一个节点,然后按下图方式更新前一个节点、当前节点的next指针即可。

IMG_3597D2BDFD95-1.jpeg

这里以两个节点为一组,分别进行处理,最后剩下一个或者None时,停止操作。

class Solution:
    def swapPairs(self, head: Optional[ListNode]) -> Optional[ListNode]:
        dummpy_head = ListNode(0, head)
        current = dummpy_head
        while current.next is not None and current.next.next is not None:
            temp = current.next
            temp1 = current.next.next.next
            current.next = current.next.next
            current.next.next = temp
            temp.next = temp1
            current = current.next.next
        
        return dummpy_head.next

Leetcode 19 删除链表的倒数第N个节点 

题目描述

给你一个链表,删除链表的倒数第 n **个结点,并且返回链表的头结点。

示例 1:

输入: head = [1,2,3,4,5], n = 2
输出: [1,2,3,5]

提示:

  • 链表中结点的数目为 sz
  • 1 <= sz <= 30
  • 0 <= Node.val <= 100
  • 1 <= n <= sz

进阶: 你能尝试使用一趟扫描实现吗?

解法

这个题目仍可以使用双指针的思路来解决,通过定义一个快指针fast和慢指针slow,其中fast可以先走n步,然后,fast和slow同时向后移动,这样等fast走到链表尾部None时,slow就刚好在倒数第n个位置。进行一步删除的操作即可,值得注意的是,要删除这个节点,必须找到这个节点的前一个节点,才能进行删除。

主要代码如下:

class Solution:
    def removeNthFromEnd(self, head: Optional[ListNode], n: int) -> Optional[ListNode]:
        dummy_head = ListNode(0, head)
        slow = dummy_head
        fast = dummy_head
        for i in range(n):
            fast = fast.next
        while fast.next is not None:
            slow = slow.next
            fast = fast.next
        slow.next = slow.next.next
        return dummy_head.next

由于原题目并没有给我们链表节点的定义,所以这里需要自己定义一下链表节点ListNode。这里的几个易错点为:

  • 进行查询、增删时,一定要先判断给定的索引范围;
  • 增删完成后,注意及时更新size

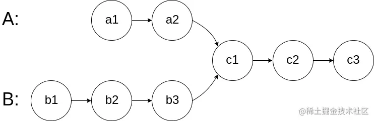
Leetcode 160 链表相交 

题目描述

给你两个单链表的头节点 headA 和 headB ,请你找出并返回两个单链表相交的起始节点。如果两个链表没有交点,返回 null 。

图示两个链表在节点 c1 开始相交

题目数据 保证 整个链式结构中不存在环。

注意,函数返回结果后,链表必须 保持其原始结构 。

 

示例 1:

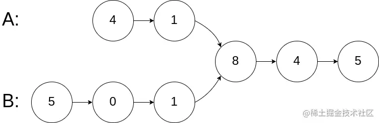
输入: intersectVal = 8, listA = [4,1,8,4,5], listB = [5,0,1,8,4,5], skipA = 2, skipB = 3
输出: Intersected at '8'
解释: 相交节点的值为 8 (注意,如果两个链表相交则不能为 0)。
从各自的表头开始算起,链表 A[4,1,8,4,5],链表 B[5,0,1,8,4,5]。
在 A 中,相交节点前有 2 个节点;在 B 中,相交节点前有 3 个节点。

提示:

  • listA 中节点数目为 m
  • listB 中节点数目为 n
  • 0 <= m, n <= 3 * 104
  • 1 <= Node.val <= 105
  • 0 <= skipA <= m
  • 0 <= skipB <= n
  • 如果 listA 和 listB 没有交点,intersectVal 为 0
  • 如果 listA 和 listB 有交点,intersectVal == listA[skipA + 1] == listB[skipB + 1]

进阶: 你能否设计一个时间复杂度 O(n) 、仅用 O(1) 内存的解决方案?

解法

本题目同样可以通过两个指针curA,curB来解决。首先求出两个链表的长度及其长度的差值,然后让curA移动到,和curB (假设短的那个是B)末尾对齐的位置,此时我们就可以比较curA和curB是否相同,如果不相同,同时向后移动curA和curB,如果遇到curA == curB,则找到交点。否则循环退出返回空指针。

完整的代码如下:

class Solution:
    def getIntersectionNode(self, headA: ListNode, headB: ListNode) -> ListNode:
        curA, curB = headA, headB
        tempA, tempB = curA, curB
        sizeA, sizeB = 0, 0
        while tempA is not None:
            sizeA += 1
            tempA = tempA.next
        while tempB is not None:
            sizeB += 1
            tempB = tempB.next
        if sizeA >= sizeB:
            offset = sizeA - sizeB
            for i in range(offset):
                curA = curA.next
            length = sizeB
        else:
            offset = sizeB - sizeA
            for i in range(offset):
                curB = curB.next
            length = sizeA
        while curA != curB and length != 0:
            curA = curA.next
            curB = curB.next
            length -= 1
        if length == 0:
            return None
        else:
            return curA

Leetcode 142 环形链表II

题目描述

给定一个链表的头节点  head ,返回链表开始入环的第一个节点。 如果链表无环,则返回 null

如果链表中有某个节点,可以通过连续跟踪 next 指针再次到达,则链表中存在环。 为了表示给定链表中的环,评测系统内部使用整数 pos 来表示链表尾连接到链表中的位置(索引从 0 开始)。如果 pos 是 -1,则在该链表中没有环。注意:pos 不作为参数进行传递,仅仅是为了标识链表的实际情况。

不允许修改 链表。

示例 1:

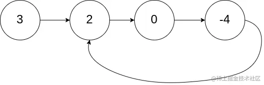
输入: head = [3,2,0,-4], pos = 1
输出: 返回索引为 1 的链表节点
解释: 链表中有一个环,其尾部连接到第二个节点。

提示:

  • 链表中节点的数目范围在范围 [0, 104] 内
  • -105 <= Node.val <= 105
  • pos 的值为 -1 或者链表中的一个有效索引

进阶: 你是否可以使用 O(1) 空间解决此题?

解法

这个题目有两个考察点:

  1. 如何判断是否有环?
  2. 如何求出环的入口。

对于第一个问题,一般使用双指针的思路,即定义一对快慢指针,快指针每次走2步,慢指针每次走一步,看看二者是否相遇即可。

对于第二个问题,则需要一定的数学推导,如图所示,假设环的入口为x,假设两个指针在环的一点y相遇,剩余环的长度为z,那么可以推导得到,

x=(n1)(y+z)+zx= (n-1)(y+z) + z

这里(y+z)实际就是一个环的长度,所以可以得到以下结论:

  • 当一个节点p1从head出发,另一个节点p2从相遇点出发,他们一定会在环的入口处x相遇。

IMG_DE3286D6C0EB-1.jpeg

通过以上推导,可以写出下面的代码:

  1. 首先得到相遇点的位置;
  2. 初始化另一个指针从头出发,可以求得环的入口x位置。
class Solution:
    def detectCycle(self, head: Optional[ListNode]) -> Optional[ListNode]:
        fast, slow = head, head
        while True:
            if fast is None or fast.next is None:
                return None
            fast, slow = fast.next.next, slow.next
            if fast == slow:
                break
        fast = head
        while fast != slow:
            fast, slow = fast.next, slow.next
        return fast

参考