UML图——类图详解

2,327 阅读6分钟

通过阅读本文章,你将知道:

  1. 什么是UML图?
  2. 如何用类图来表示各种类?
  3. 如何用类图来表示类之间的关系

概述

UML:(Unified Modeling Language),是一种统一建模语言,用来设计软件的可视化建模语言。它的特点是简单、统一、图形化、能表达软件设计中的动态与静态信息。

UML 从目标系统的不同角度出发,定义了用例图、类图、对象图、状态图、活动图、时序图、协作图、构件图、部署图等 9 种图。

而本文章只讲解类图,其它图后续有时间会继续更新。

类图就是用来分析系统的类的集合,类的属性和类之间的关系,可以简化了人们对系统的理解;

学习类图的好处:

  1. 优秀的工程师都具备画图能力和抽象能力。
  2. 可以帮助我们分析一个复杂的系统或者用于给别人讲解一个复杂的系统
  3. 借助UML图可以准确的描述系统中的设计模式
  4. ...

使用UML表示各种类

使用UML图表示具体的类

具体类在类图中用矩形框表示,矩形框分为三层:第一层是类名字。第二层是类的成员变量;第三层是类的方法。成员变量以及方法前的访问修饰符用符号来表示:

  • “+” 表示 public
  • “-” 表示 private
  • “#” 表示 protected
  • 不带符号表示 default

在UML类图中表示抽象类

抽象类在UML类图中同样用矩形框表示,但是抽象类的类名以及抽象方法的名字都用斜体字表示,如图所示。

在UML类图中表示接口

接口在类图中也是用矩形框表示,但是与类的表示法不同的是,接口在类图中的第一层顶端用构造型 <>表示,下面是接口的名字,第二层是方法。

在类图中表示关系

类和类、类和接口、接口和接口之间存在一定关系,UML类图中一般会有连线指明它们之间的关系。 从编程的角度出发,类之间的关系可以概括如下:

  • 实现关系
  • 泛化关系
  • 依赖关系
  • 组合关系 (组合关系+关联关系+聚合关系)

我们也没有必要去区分组合与聚合这两个概念,只需要记住一点就是: 多用组合少用继承

也就是说只要 B 类对象是 A 类对象的成员变量,那我们就称,A 类跟 B 类是组合关 系.

具体细分共有六种类型 ,如下图:

实现关系

实现关系是接口与实现类之间的关系。在这种关系中,类实现了接口,类中的操作实现了接口中所声明的所有的抽象操作。

在 UML 类图中,实现关系使用带空心三角箭头的虚线来表示,箭头从实现类指向接口。

例如,汽车和船实现了交通工具,其类图:

泛化关系

泛化关系是对象之间耦合度最大的一种关系,表示一般与特殊的关系,是父类与子类之间的关系,是一种继承关系。

在 UML 类图中,泛化关系用带空心三角箭头的实线来表示,箭头从子类指向父类。在代码实现时,使用面向对象的继承机制来实现泛化关系。

例如,Student 类和 Teacher 类都是 Person 类的子类,其类图如下图所示:

关联关系

关联关系是对象之间的一种引用关系,用于表示一类对象与另一类对象之间的联系,如老师和学生、师傅和徒弟、丈夫和妻子等。关联关系是类与类之间最常用的一种关系,分为一般关联关系、聚合关系和组合关系。

我们先介绍一般关联关系, 一般关联关系又可以分为单向关联,双向关联,自关联。

1) 单向关联

在UML类图中单向关联用一个带箭头的实线表示。上图表示每个顾客都有一个地址,这通过让Customer类持有一个类型为Address的成员变量类实现。

2) 双向关联

从上图中我们很容易看出,所谓的双向关联就是双方各自持有对方类型的成员变量。

在UML类图中,双向关联用一个不带箭头的直线表示。上图中在Customer类中维护一个List,表示一个顾客可以购买多个商品;在Product类中维护一个Customer类型的成员变量表示这个产品被哪个顾客所购买。

3) 自关联

自关联在UML类图中用一个带有箭头且指向自身的线表示。上图的意思就是Node类包含类型为Node的成员变量,也就是“自己包含自己”。

聚合关系

聚合关系是关联关系的一种,表示一种弱的‘拥有’关系,体现的是A对象可以包含B对象,但是B对象不是A对象的一部分

在代码中: 比如A 类对象包含 B 类对象,B 类对象的生命周期可以不依赖 A 类对象的生命周期,也就是说可以单独销毁 A 类对象而不影响 B 对象

public class A{

        private B b;
        
        public A(B b){
                this.b = b;
        }
}

在 UML 类图中,聚合关系可以用带空心菱形的实线来表示,菱形指向整体。

下图所示是大学和教师的关系图:

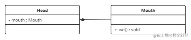
组合关系

组合关系是一种强‘拥有’关系,体现了严格的部分和整体的关系,部分和整体的声明周期一样

在代码中: 比如A 类对象包含 B 类对象,B 类对象的生命周期依赖A 类对象的生命周期,B 类对象不可以单独存在

public class A{
    
    private B b;
    
    public A(){
        this.b = new B();
    }
    
}

在 UML 类图中,组合关系用带实心菱形的实线来表示,菱形指向整体。

下图所示是头和嘴的关系图:

依赖关系

依赖关系是一种使用关系,它是对象之间耦合度最弱的一种关联方式,是临时性的关联。

在代码中,某个类的方法通过局部变量、方法的参数或者对静态方法的调用来访问另一个类(被依赖类)中的某些方法来完成一些职责。

在 UML 类图中,依赖关系使用带箭头的虚线来表示,箭头从使用类指向被依赖的类。

下图所示是司机和汽车的关系图,司机驾驶汽车: