【直播回放】ChatGPT编程刷力扣面试题 02.07. 链表相交

116 阅读1分钟

题目描述

给你两个单链表的头节点 headA 和 headB ,请你找出并返回两个单链表相交的起始节点。如果两个链表没有交点,返回 null 。

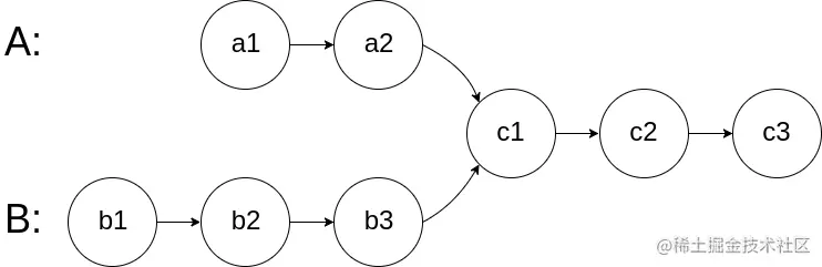
图示两个链表在节点 c1 开始相交:

题目数据 保证 整个链式结构中不存在环。

注意,函数返回结果后,链表必须 保持其原始结构 。

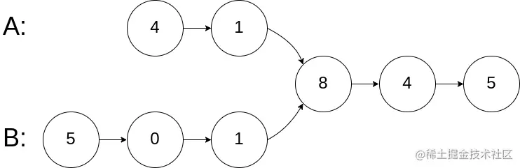
示例 1:

输入:intersectVal = 8, listA = [4,1,8,4,5], listB = [5,0,1,8,4,5], skipA = 2, skipB = 3

输出:Intersected at '8'

解释:相交节点的值为 8 (注意,如果两个链表相交则不能为 0)。

从各自的表头开始算起,链表 A 为 [4,1,8,4,5],链表 B 为 [5,0,1,8,4,5]。

在 A 中,相交节点前有 2 个节点;在 B 中,相交节点前有 3 个节点。

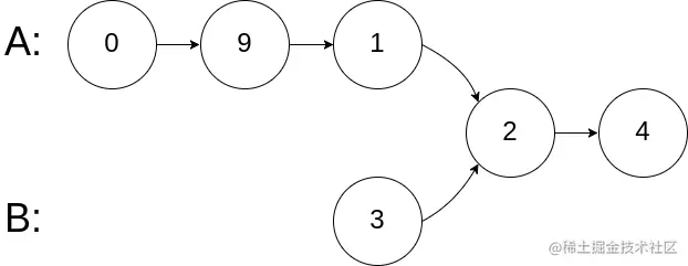
示例 2:

输入:intersectVal = 2, listA = [0,9,1,2,4], listB = [3,2,4], skipA = 3, skipB = 1

输出:Intersected at '2'

解释:相交节点的值为 2 (注意,如果两个链表相交则不能为 0)。

从各自的表头开始算起,链表 A 为 [0,9,1,2,4],链表 B 为 [3,2,4]。

在 A 中,相交节点前有 3 个节点;在 B 中,相交节点前有 1 个节点。

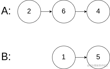
示例 3:

输入:intersectVal = 0, listA = [2,6,4], listB = [1,5], skipA = 3, skipB = 2

输出:null

解释:从各自的表头开始算起,链表 A 为 [2,6,4],链表 B 为 [1,5]。

由于这两个链表不相交,所以 intersectVal 必须为 0,而 skipA 和 skipB 可以是任意值。

这两个链表不相交,因此返回 null 。

 

提示:

listA 中节点数目为 m

listB 中节点数目为 n

0 <= m, n <= 3 * 104

1 <= Node.val <= 105

0 <= skipA <= m

0 <= skipB <= n

如果 listA 和 listB 没有交点,intersectVal 为 0

如果 listA 和 listB 有交点,intersectVal == listA[skipA + 1] == listB[skipB + 1]

来源:力扣(LeetCode)

链接:leetcode.cn/problems/in…

著作权归领扣网络所有。商业转载请联系官方授权,非商业转载请注明出处。

基本思路

遍历链表 headA,将每个节点的引用存储在哈希表中。然后遍历链表 headB,检查哈希表中是否存在相同的节点引用,如果存在则说明链表相交,返回相交节点;如果遍历完链表 headB 都没有找到相交节点,则返回 null。

时间复杂度分析:设链表 headA 的长度为 m,链表 headB 的长度为 n,遍历链表 headA 和 headB 各需要 O(m+n) 的时间,因此总时间复杂度为 O(m+n)。

解法代码(Go)

func getIntersectionNode(headA, headB *ListNode) *ListNode {
    nodeSet := make(map[*ListNode]bool)
    cur := headA
    for cur != nil {
        nodeSet[cur] = true
        cur = cur.Next
    }
    cur = headB
    for cur != nil {
        if _, ok := nodeSet[cur]; ok {
            return cur
        }
        cur = cur.Next
    }
    return nil
}

逐步验算

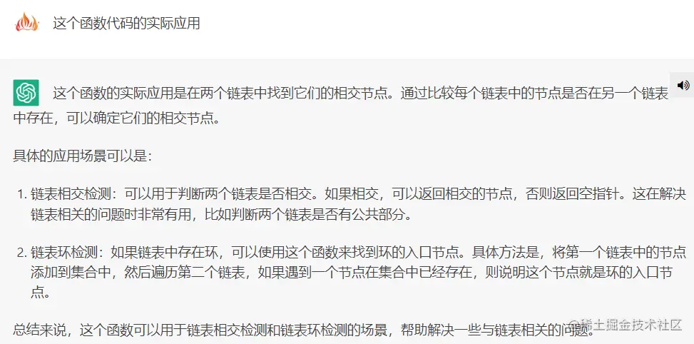
实际应用

这个函数的实际应用是在两个链表中找到它们的相交节点。通过比较每个链表中的节点是否在另一个链表中存在,可以确定它们的相交节点。

具体的应用场景可以是:

1.  链表相交检测:可以用于判断两个链表是否相交。如果相交,可以返回相交的节点,否则返回空指针。这在解决链表相关的问题时非常有用,比如判断两个链表是否有公共部分。

2.  链表环检测:如果链表中存在环,可以使用这个函数来找到环的入口节点。具体方法是,将第一个链表中的节点添加到集合中,然后遍历第二个链表,如果遇到一个节点在集合中已经存在,则说明这个节点就是环的入口节点。

总结来说,这个函数可以用于链表相交检测和链表环检测的场景,帮助解决一些与链表相关的问题。

直播回放地址

代码笔记pan.quark.cn/s/913d9e068…