141. 环形链表

64 阅读2分钟

题目

给你一个链表的头节点 head ,判断链表中是否有环。

如果链表中有某个节点,可以通过连续跟踪 next 指针再次到达,则链表中存在环。 为了表示给定链表中的环,评测系统内部使用整数 pos 来表示链表尾连接到链表中的位置(索引从 0 开始)。注意:pos 不作为参数进行传递 。仅仅是为了标识链表的实际情况。

如果链表中存在环 ,则返回 true 。 否则,返回 false 。

 

示例 1:

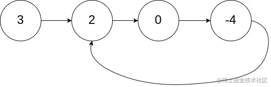
输入: head = [3,2,0,-4], pos = 1
输出: true
解释: 链表中有一个环,其尾部连接到第二个节点。

示例 2:

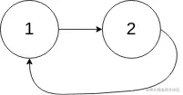
输入: head = [1,2], pos = 0
输出: true
解释: 链表中有一个环,其尾部连接到第一个节点。

示例 3:

输入: head = [1], pos = -1
输出: false
解释: 链表中没有环。

 

提示:

  • 链表中节点的数目范围是 [0, 104]
  • -105 <= Node.val <= 105
  • pos 为 -1 或者链表中的一个 有效索引 。

题解

由于要判断链表中是否有环, 可以采用快慢指针的思想,慢指针走一步,快指针走两步,当链表中存在环,快慢指针必然会相遇。

以示例1的执行流程如下

  1. 初始时,快指针fast和慢指针slow都指向头结点head3
  2. 第一轮,slow 走一步, fast 走两步, 此时slow = 2, fast = 0;
  3. 第二轮,slow 走一步, fast 走两步, 此时slow = 0, fast = 2;
  4. 第三轮,slow 走一步, fast 走两步, 此时slow = -4, fast = -4, 此时二者相遇,说明链表有环,此时返回true

循环终止条件为fast && fast.next都存在,当fast 指针已经走到链表末尾,指向null, 说明链表中不存在环, 此时返回false即可

参考代码

/**
 * Definition for singly-linked list.
 * function ListNode(val) {
 *     this.val = val;
 *     this.next = null;
 * }
 */

/**
 * @param {ListNode} head
 * @return {boolean}
 */
var hasCycle = function(head) {
    let slow = head, fast = head;
    while(fast && fast.next) {
        slow = slow.next;
        fast = fast.next.next;
        if (slow === fast) {
            return true;
        }
    }
    return false;
};

原题链接

141. 环形链表