论文《Deep Interest Network for Click-Through Rate Prediction》

197 阅读5分钟

DIN模型

论文地址:arxiv.org/pdf/1706.06… 提出DIN模型的原因:

当前CTR预估都是Embedding&MLP结构:高维稀疏输入特征按照特征组先映射成低维固定长度的embedding向量,然后拼接起来,喂给MLP网络中进行训练。这里面用户的向量表示因为是有限的固定长度,很难表示用户的多个兴趣。而在电子商务网站里面,用户可能同时对多个商品感兴趣。

在Embedding&MLP框架里面,用户的多个兴趣被压缩成一个固定有限长的向量,其实表达能力是受限的。一方面,不可能无限增大向量维度,因为可能产生过拟合,而且参数会变多,计算和存储耗时会让线上推断变的不可接受;另一方面,没有必要将所有兴趣压缩到一个相同的向量里面,因为用户的行为仅受到一部分兴趣影响,例如一个游泳爱好者点击泳镜,主要是因为上周买的泳装而不是上周买的鞋子。

在这里插入图片描述

论文提出的DIN能给定一个候选的item,考虑用户历史行为,自适应的计算用户的向量表示。与候选item相关性高的历史行为,对用户向量表示的贡献就大,反之就小,不同的候选item得到的用户向量不一样。

同时,还提出另外2个创新点。模型加入L2-norm,每个batch需要计算所有参数的正则结果,计算量非常大,论文提出在batch内,只对出现过的特征做正则,减少计算量。另外还提出了一个新的激活函数,是PReLU的泛化,对效果有帮助。

模型

特征输入

数据通常大多是分组的类别形式,如下,会通过one-hot或者multi-hot转变成高维稀疏的二值特征输入。 [weekday=Friday, gender=Female,visited_cate_ids={Bag,Book}, ad_cate_id=Book],

ii个特征组编码后的向量表示为tiRKi\mathbf t_i \in R^{K_i}KiK_i表示特征i编码后的向量维度,即特征ii包含KiK_i个不同的id,ti[j]\mathbf t_i[j]表示向量第jj维的值,ti[j]{0,1}\mathbf t_i[j] \in \{ 0,1\} j=1Ki=k\sum_{j=1}^{K_i} = k,当用one-hot编码,k=1k=1,当用multi-hot编码k>1k>1.

输入是由各个特征组的向量拼接起来的,假设有MM个特征组,则输入特征向量x=[t1,t2,...,tM]\mathbf x = [\mathbf t_1, \mathbf t_2, ..., \mathbf t_M ],输入特征向量的维度为i=1MKi=K\sum_{i=1}^MK_i = K

上面的特征编码示例如下: 在这里插入图片描述 论文用到的特征有4类,如下,列举了每个特征的维度及编码类型。没有用交叉特征,用DNN来提取。 在这里插入图片描述

模型结构

先看下base模型 在这里插入图片描述

Embedding层

Embedding层是将高维稀疏输入向量转换为低维稠密输入向量。对于第ii个特征组的输入向量ti\mathbf t_i,Embedding转换词典Wi=[w1i,w2i,...,wKii]RD×Ki\mathbf W^i = [\mathbf w_1^i,\mathbf w_2^i, ..., \mathbf w_{K_i}^i ] \in R^{D \times K_i}wji\mathbf w_j^i表示维度为DD的Embedding向量。

ti\mathbf t_i是one-hot向量时,当ti[j]=1\mathbf t_i[j] = 1,则第ii个特征组的输入向量ti\mathbf t_i的低维稠密向量表示ei=wji\mathbf e_i = \mathbf w_j^i,是单个向量。

ti\mathbf t_i是multi-hot向量时,当ti[j]=1,j{i1,i2,...,ik}\mathbf t_i[j] = 1,j \in \{i_1,i_2,...,i_k \},则第ii个特征组的输入向量ti\mathbf t_i的低维稠密向量表示{ei1,ei2,...,eik}={wi1i,wi1i,...,wiki}\{\mathbf e_{i_1}, \mathbf e_{i_2}, ..., \mathbf e_{i_k} \} = \{ \mathbf w_{i_1}^i, \mathbf w_{i-1}^i, ..., \mathbf w_{i_k}^i \},是一组向量。

Pooling及Concat层

MLP输入向量时固定长度的,但是像用户历史行为特征,序列长度不一致,需要处理成一个固定长度的向量,因此需要对multi-hot的稠密向量进行处理。通过sum/average pooling方式对一组向量进行处理,得到特征组ii的最终低维稠密输入向量。 ei=pooling(wi1i,wi1i,...,wiki)\mathbf e_i = pooling(\mathbf w_{i_1}^i, \mathbf w_{i-1}^i, ..., \mathbf w_{i_k}^i) 然后所有的低维稠密输入向量进行拼接作为MLP的输入向量。

Loss

L=1N(x,y)Sylogp(x)+(1y)log(1p(x))L=-\frac {1} {N} \sum_{(\mathbf x, y) \in S} y \log p(\mathbf x) + (1-y) \log (1-p(\mathbf x)) p(x)p(\mathbf x)是网络最后softmax后的输出,y{0,1}y \in \{0,1\}表示label

DIN

base模型的缺陷:不论候选item是啥,用户的输入Embedding向量时一样的,没法表达用户的兴趣多样性。 在这里插入图片描述 DIN引入了一个局部激活单元,其他结构一样。

局部激活单元

这个单元用在用户历史行为特征上面。和base模型的差别是将pooling操作改为Attention操作,将原先的多个历史行为Embedding的sum或者max操作改为按照与候选item的相关性对各个Embedding进行加权和操作。

假设候选item的Embedding输入向量是vA\mathbf v_A,用户历史行为特征最后的结果向量vU(A)\mathbf v_U(A) vU(A)=f(vA,e1,e2,...,eH)=j=1Hattention(ej,vA)=j=1Hwjej\mathbf v_U(A) = f(\mathbf v_A,\mathbf e_1, \mathbf e_2, ..., \mathbf e_H ) = \sum_{j=1}^H attention(\mathbf e_j,\mathbf v_A) = \sum_{j=1}^H \mathbf w_j \mathbf e_j

{e1,e2,...,eH}\{\mathbf e_1, \mathbf e_2, ..., \mathbf e_H\}是用户历史行为的一组Embedding,长度为HH

attention计算即局部激活单元,如下,用户向量和候选item向量计算out product(element-wise product),然后和用户向量、item向量拼接在一起,经过PRelu或者Dice激活函数,输入到一个单层网络,得到在给定item向量时用户向量的权重(相关性)结果。举例说明,如果用户历史序列有裙子,当候选是裙子时,裙子这个历史行为与当前候选item相关性高,计算得到的权重就大,那么最后用户历史行为特征Embedding结果中,裙子Embedding共享的就大(因为是各个历史行为的加权和j=1Hwjej\sum_{j=1}^H \mathbf w_j \mathbf e_j),其实就是Attention的核心思想。 在这里插入图片描述

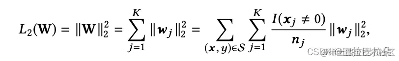
Mini-batch Aware Regularization

提出原因:L2正则防止过拟合,但是每个batch里面都计算一次所有参数的正则,当参数量巨大时,会非常耗时。 通过仅计算batch内出现过的feature的正则,减少计算。Embedding词典WRD×K\mathbf W \in R^{D \times K}参数最多,W\mathbf Wl2l_2正则如下 在这里插入图片描述 指示函数I(xj0)I(\mathbf x_j \neq 0)表示输入样本x\mathbf x是否包含特征jj,njn_j表示特征jj在所有样本出现的次数。在batch中,正则如下 在这里插入图片描述amj=max(x,y)BmI(xj)a_{mj} = max_{(\mathbf x, y) \in B_m} I(\mathbf x_j)表示batch BmB_m里面特征jj至少出现过一次 在这里插入图片描述 这样参数更新如下 在这里插入图片描述

Dice激活函数

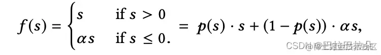
PReLU在值为0时有个突变点 在这里插入图片描述 改为连续的,激活函数依赖于batch内数据的分布,ϵ=108\epsilon = 10^{-8}是个常量,当均值和方差为0时,退化为PReLU。 在这里插入图片描述

对比如下: 在这里插入图片描述

评估指标

使用GAUC,原因:GAUC能消除不同用户的差别,活跃用户和非活跃用户差别很大,使用曝光或者点击进行消除,按照曝光或者点击的权重进行加权。 在这里插入图片描述

实验效果

在这里插入图片描述