前端与HTML | 青训营

127 阅读5分钟

什么是前端?

关键词:

  解决GUI人机交互问题

  GUI:Graphical User Interface,图形用户界面,指采用图形方式显示的计算机操作用户界面,允许用户使用鼠标等输入设备操纵屏幕上的图标或菜单选项,以选择命令、调用文件、启动程序或执行其它一些日常任务。

  跨终端(PC/移动浏览器;客户端/小程序;VR/AR等)

  Web技术栈

前端工程师是使用Web技术栈解决多端 图形用户界面 交互问题的工程师

前端技术栈:

html:负责网页的内容和基本结构

css:负责UI样式

JavaScript:负责将用户请求传送到后端并将后端数据在html页面显示

运行在浏览器里面,浏览器通过http协议与服务器通信

前端要关注什么?

功能,美观度,无障碍,安全,性能,兼容性,用户体验

用node js可以开发服务端的应用,用electron或react native开发客户端的应用,用web rtc开发p2p的应用,用webgl开发流畅的3D游戏,用web assembly可以将某些语言编译成可以直接在浏览器中运行的代码。

什么是HTML?

HTML:HyperText Markup Language,超文本标记语言

比如:

<h1>一级标题</h1>

也可以在标签上设置属性,比如:

用img表示图片,

<img src="Photo.jpg"/>

其中src是属性名,后面的是属性值

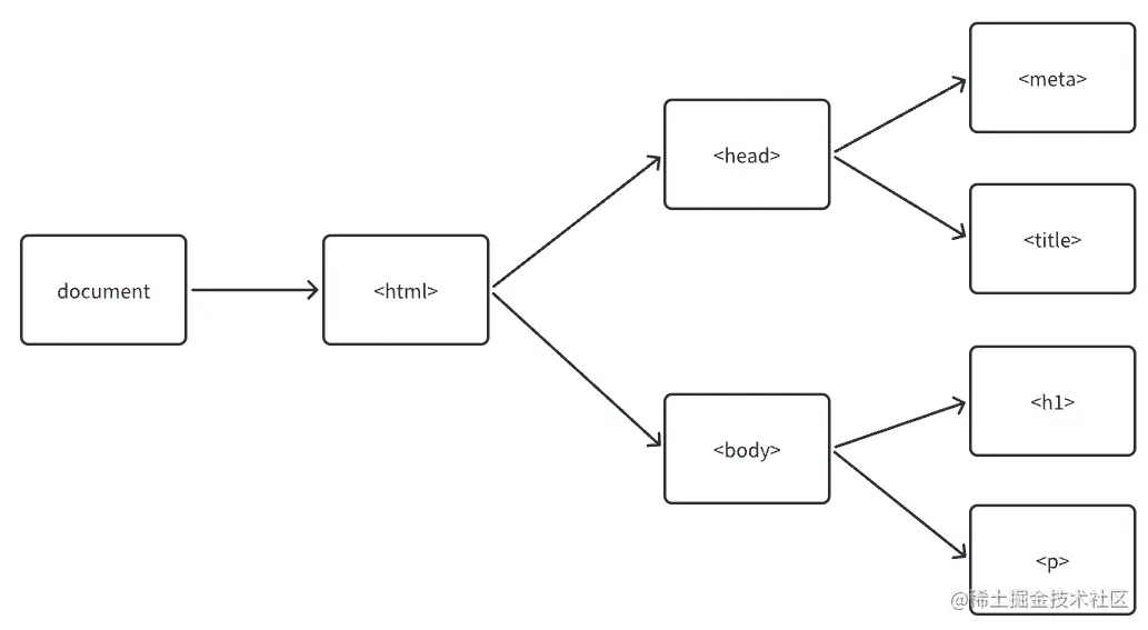
<!doctype html>   //标记当前html的版本,浏览器渲染时用到此行
<html>
    <head>//放页面的元数据,比如,标题、编码
        <meta charset="utf-8">
        <title>页面标题</title>
    </head>
    <body>//放真正呈现给用户的内容
        <h1>一级标题</h1>
        <p>段落内容</p>
    </body>
</html>

浏览器将html的代码进行解析,解析出DOM树,里面的每个节点称之为DOM节点

image.png

html语法

标签和属性不区分大小写,但建议用小写;自定义的组件用大写

空标签可以不闭合

属性值推荐使用双引号包裹

某些属性值可以省略,比如required、readonly

标题:h1~h6

列表分为有序列表和无序列表

有序列表

<h2>电影榜单</h2>
    <ol>
        <li>霸王别姬</li>
        <li>阿凡达</li>
        <li>复仇者联盟</li>
    </ol>

无序列表

<h2>购物清单</h2>
    <ul>
        <li>苹果</li>
        <li>香蕉</li>
        <li>桃子</li>
    </ul>

<h2>购物清单</h2>
    <dl>
        <dt>水果:</dt>
        <dd>苹果</dd>
        <dd>梨</dd>
        <dt>蔬菜:</dt>
        <dd>菠菜</dd>
        <dd>芹菜</dd>
    </dl>

链接(anchor)

href:跳转地址

<a href="https://www.bytedance.com">
        字节跳动官网
    </a>
    
<a href="https://www.bytedance.com"
    target="_blank">    //这里表示在一个新窗口打开此链接,不写的话默认覆盖当前页面
        字节跳动官网
    </a>

注:在开发网站初期,如果还未确定跳转的链接,可以把"#"给href,表示空链接

媒体标签有图片(img单标签)、音频(audio双标签)、视频(video)

图片:

alt是替换文本(当图片不显示时,显示的文字)

title是提示文本(当用户鼠标悬停时,显示的文字)

路径:使用相对路径(从当前文件开始出发找目标文件),分为同级(./)、上级和下级,用../返回上级路径

音频(最好用mp3格式)、视频(最好用mp4格式):

controls:显示播放控件

autoplay:自动播放(部分浏览器不支持音频自动播放,有些视频要想自动播放还要加一个muted来静音播放)

loop:循环播放

输入(input)

input标签可以根据type属性值的不同,展示不同的效果;是单标签

type属性值效果常用
text文本框,用于输入单行文本,输入什么就显示什么placeholder:占位符,提示用户输入内容的文本
password密码框,用于输入密码,输入的内容都显示为圆点
radio单选框,用于多选一设置name属性值相同的为一组,一组中只能选一个在某个单选框中添加checked属性,设其为默认选中
checkbox多选框,用于多选多在某个多选框中添加checked属性,设其为默认选中
file文件选择,用于之后上传文件mutiple:多文件选择
submit提交按钮,用于提交用value给按钮设置要显示的文字(submit和reset有默认的)
reset重置按钮,用于重置
button普通按钮,默认无功能,之后配合js添加功能

按钮(button)

button标签:是双标签

type属性值效果常用
submit提交按钮,用于提交用value给按钮设置要显示的文字(submit和reset有默认的)
reset重置按钮,点击之后恢复表单默认值
button普通按钮,默认无功能,之后配合js添加功能
下拉菜单(select)

select:下拉菜单的整体

option:下单菜单中的一项

selected:下拉菜单的默认选中

文本域(textarea)

双标签

cols调整宽度,rows调整行数即高度(一般还是用css来调整)

lable标签

用于将内容与表单标签绑定

方法:直接使用lable标签将内容和表单标签包裹起来,然后将lable标签的for属性删除

语义化标签

没有含义的语义化标签:div、span

div标签:独占一行

span标签:不换行

有语义的标签:

image.png

header里面放的是logo、导航等,其中导航可以用nav

页面主体部分被放到main中,一个页面里面通常只有一个main,article可以没有,也可以有多个

aside表示与内容相关的但不直接属于该页面,比如广告、热点推荐等

footer放在页面尾部,比如参考链接、版权、备案等

语义化

语义化是什么:html中的元素、属性、属性值都具有某些含义

开发者应当遵循html语义来编写,方便其他使用者理解、使用

注:使用我们写的html的包括开发者(修改和维护页面)、浏览器(展示页面)、搜索引擎(提取关键词、排序)、屏幕阅读器(进行无障碍阅读)

语义化的好处:代码可读性、可维护性、搜索引擎优化、提升无障碍性

如何做到语义化:了解每个标签的属性、含义(mdn、h3c);思考什么标签最适合描述这个内容;不使用可视化工具生成代码

总结

html 传达的是内容,而不是传达样式