【JS每日一算法】🟨86.反转链表 II(头插法)

413 阅读1分钟

给你单链表的头指针 head 和两个整数 leftright ,其中 left <= right 。请你反转从位置 left 到位置 right 的链表节点,返回 反转后的链表

提示:

  • 链表中节点数目为 n
  • 1 <= n <= 500
  • -500 <= Node.val <= 500
  • 1 <= left <= right <= n

示例 1:

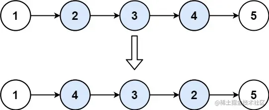
rev2ex2.jpg

输入: head = [1,2,3,4,5], left = 2, right = 4
输出: [1,4,3,2,5]

示例 2:

输入: head = [5], left = 1, right = 1
输出: [5]

题解:

更多JS版本题解点击链接关注该仓库👀

/**
 * @description: 头插法   TC:O(n)  SC:O(1)
 * @author: JunLiangWang
 * @param {*} head 给定链表头节点
 * @param {*} left 给定翻转开始节点的位置(从1开始)
 * @param {*} right 给定翻转结束节点的位置(从1开始)
 * @return {*}
 */
function headInsertion(head, left, right) {
    /**
     * 该方案使用头插法,由于头节点也可能被翻转,因此我们一
     * 开始需要向头节点前插入一个虚拟节点。然后遍历链表达到
     * 开始翻转的节点的上一个节点,然后新建一个链表,不断使
     * 用头插,将原链表中需要翻转的节点不断头插到新链表,然后
     * 从原链表中删除该节点,直到到达翻转结束节点。此时新链表
     * 则为翻转后的链表,将新链表插入回原链表即可完成翻转操作
     */

    // 如果翻转开始/结束位置一样,证明无需翻转,直接返回原链表
    if (left == right) return head
    // 由于头节点也可能被翻转,因此我们一开始需要向头节点前插
    // 入一个虚拟节点
    const HEAD = new ListNode(0, head)
    let preNode = HEAD, 
    // 需要翻转的节点数量,加1是因为假设:right=2,left=1
    // 需要翻转的节点数量为2,而right-left=1,此时需要加1
    count = right - left +1;
    // 遍历原链表节点,找到开始翻转的节点的上一个节点
    while (--left > 0)preNode = preNode.next
    // 新链表,记录翻转后的节点
    let reverseNode = new ListNode(0),
    // 此时首个需要翻转的节点,在翻转后是最后一个节点,需要
    // 将其保存起来,或许更改它的next,使其接入原链表
     lastNode = preNode.next;

    // 遍历需要翻转的节点, 不断使用头插,将原链表中需要翻转
    // 的节点不断头插到新链表,然后从原链表中删除该节点,直
    // 到到达翻转结束节点。
    while (count--) {
        let currentNode = preNode.next;
        preNode.next = preNode.next.next
        currentNode.next = reverseNode.next;
        reverseNode.next = currentNode
    }
    // 翻转完成所有节点,需要将新链表插入回原链表

    // 将新链表中最后一个节点的next指向,原链表当前节点的next
    lastNode.next = preNode.next
    // 将原链表当前节点的next指向新链表
    preNode.next = reverseNode.next
    // 返回结果
    return HEAD.next
}

来源:力扣(LeetCode)

🚀广告

最近开了一个新专栏《HTTP完全注解》,准备全面介绍下HTTP/0.9到HTTP/2.0。如果你想要全面学习了解HTTP,不妨看看,绝对会给你惊喜!