每日一题——反转链表

90 阅读1分钟

题目


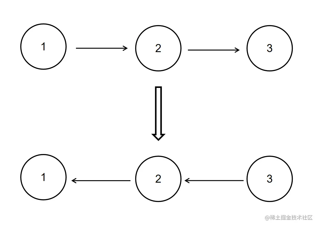
给定一个单链表的头结点pHead(该头节点是有值的,比如在下图,它的val是1),长度为n,反转该链表后,返回新链表的表头。

数据范围:0≤n≤1000 要求:空间复杂度 O(1) ,时间复杂度 O(n) 。

如当输入链表{1,2,3}时, 经反转后,原链表变为{3,2,1},所以对应的输出为{3,2,1}。 以上转换过程如下图所示:

示例1

输入:{1,2,3}
返回值:{3,2,1}

示例2

输入:{}
返回值:{}
说明:
空链表则输出空

思路


1、定义pre指向null,

2、定义cur指向head,

3、定义temp指向cur->next,

4、将cur->next指向pre,

5、重复3,4步骤,将pre和cur不断后移,直到cur等于null,循环结束,返回pre指针。

解答代码



    /**
     * struct ListNode {
     *	int val;
     *	struct ListNode *next;
     *	ListNode(int x) : val(x), next(nullptr) {}
     * };
     */
    class Solution {
    public:
        /**
         * @param head ListNode类 
         * @return ListNode类
         */
        ListNode* ReverseList(ListNode* head) {
            // write code here
            if (head == nullptr) {
                return nullptr;
            }
            ListNode* pre = nullptr;
            auto cur = head;
            while (cur != nullptr) {
                auto tmp = cur->next;
                cur->next = pre;
                pre = cur;
                cur = tmp;
            }

            return pre;
        }
    };