本文从互联网搬运,只用于本人学习记录。
支持向量机SVM
1. 支持向量
1.1. 线性可分
在二维空间上,两类点被一条直线完全分开叫做线性可分。
1.2. 最大间隔超平面

1.3. 支持向量

样本中距离超平面最近的一些点,这些点叫做支持向量。
1.4. SVM 最优化问题




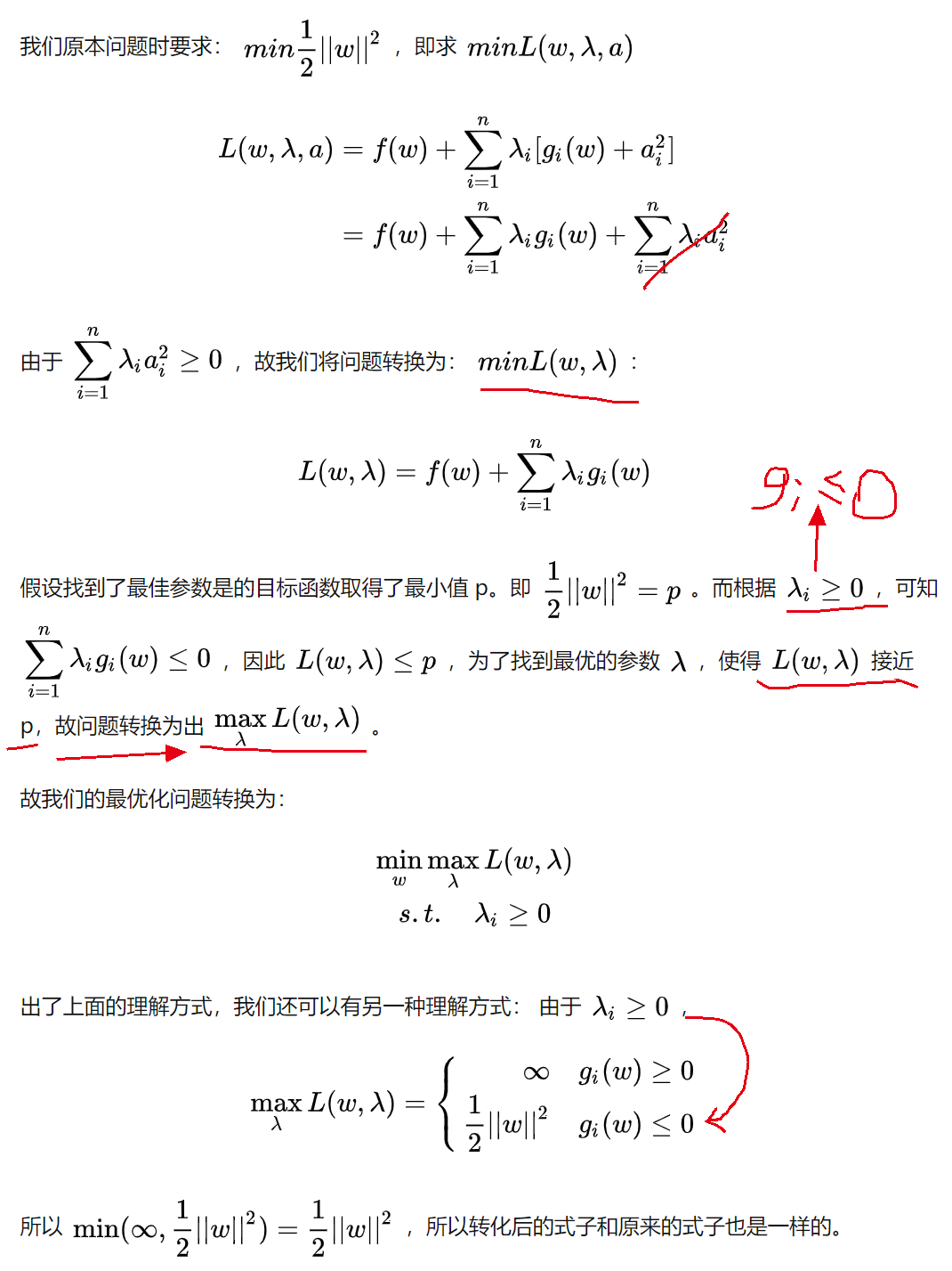
2. 对偶问题
2.1. 拉格朗日乘数法
- 等式约束优化

2. 不等式约束优化




2.2. 强对偶性

3. SVM优化
那么求解线性可分的 SVM 的步骤为:



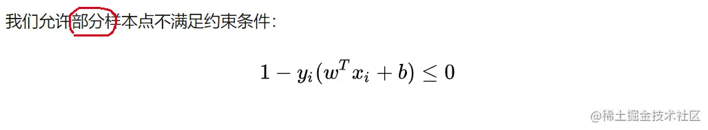
4. 软间隔
为了解决不能够完全线性可分的样本。
软间隔允许个别样本点出现在间隔带里面。

4.1. 优化目标



5. 核函数
软间隔解决大部分样本点线性可分,小部分样本点线性不可分的情况。
还有一种情况是样本点完全线性不可分
解决办法是将二维线性不可分样本映射到高维空间中,让样本点在高维空间中线性可分。

对于在有限维度向量空间中线性不可分的样本,我们将其映射到更高维度的向量空间里,再通过间隔最大化的方式,学习得到支持向量机,就是非线性 SVM。

5.1. 核函数的作用
只是做个内积运算,为什么要有核函数的呢?
这是因为低维空间映射到高维空间后维度可能会很大,如果将全部样本的点乘全部计算好,这样的计算量太大了。
核函数的引入一方面减少了我们计算量,另一方面也减少了我们存储数据的内存使用量。
5.2. 常见核函数

6. 优缺点
优点:
- 有严格的数学理论支持,可解释性强,不依靠统计方法,从而简化了通常的分类和回归问题;
- 能找出对任务至关重要的关键样本(即:支持向量);
- 采用核技巧之后,可以处理非线性分类/回归任务;
- 最终决策函数只由少数的支持向量所确定,计算的复杂性取决于支持向量的数目,而不是样本空间的维数,这在某种意义上避免了“维数灾难”。
缺点:
- 训练时间长。当采用 SMO 算法时,由于每次都需要挑选一对参数,因此时间复杂度为 O ( N 2 ) O(N^2) O(N2) ,其中 N 为训练样本的数量;
- 当采用核技巧时,如果需要存储核矩阵,则空间复杂度为 O ( N 2 ) O(N^2) O(N2);
- 模型预测时,预测时间与支持向量的个数成正比。当支持向量的数量较大时,预测计算复杂度较高。
因此支持向量机目前只适合小批量样本的任务,无法适应百万甚至上亿样本的任务。