深度学习入门第二章-感知机

213 阅读2分钟

感知机(perceptron)是一种算法

感知机是作为神经网络(深度学习)的起源的算法

感知机是什么

感知机接收多个信号,输出一个信号。 感知机的信号只有 1/0两种取值。0对应的是"不传递信号" 1对应”传递信号“

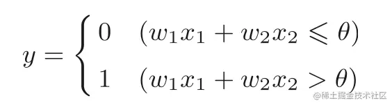
screenshot-20230719-145626.png 上图是接收两个输入信号的感知机。x1和x2是输入信号,y是输出信号,w1和w2是权重(w是weight的首字母)。 图中的○称为"神经元"或者”节点“。输入信号被送往到神经元时,会被分别乘以固定的权重(w1x1,w2x2)。神经元会计算传送过来的信号的总和,只有当这个总和超过了某个界限值时,才会输出1.这也称为”神经元被激活“。这里将这个界限值成为 ”阈值“。用符号θ表示。

用数学公式表示:

screenshot-20230719-150156.png

导入权重和偏置

screenshot-20230719-151033.png

两个图表示的内容是完全相同的。b成为偏置,w1和w2成为权重。

权重是输入信号的重要性的参数,而偏置是调用神经元被激活的容易程度(输出信号为1的程度)的参数

感知机的局限性在于它只能表示由一条直线分割的空间。 由曲线分割而成的空间称为非线性空间, 由直线分割而成的空间称为线性空间

小结:

感知机是具有输入和输出的算法。给定一个输入后,将输出一个既定得值

感知机将权重和偏置设定为参数

使用感知机可以表示与门和或门等逻辑电路 异或门无法通过单层感知机来表示 使用2层感知机可以表示异或门 单层感知机只能表示线性空间,而多层感知机可以表示非线性空间 多层感知机(在理论上)可以表示计算机