笔记分享|浙大暑期密码学课程:Idealized Model l

268 阅读5分钟

 [隐私计算研习社]

图片

上篇笔记是针对Hong-Sheng Zhou老师在浙江大学的暑期Crypto School的《浙大Universal Composability Ⅰ( 上)》,详情请见笔记分享|浙大暑期密码学课程:通用可组合性(1)

本篇笔记对张聪老师在浙江大学的暑期Crypto School的《Idealized Model l》课程进行了整理,可前往以下b站链接或点击下列视频观看完整课程。

浙大暑期Crypto课程- ldealized Models l(上)-Cong Zhang****

www.bilibili.com/video/BV1gg…

**

开放隐私计算

,赞5

浙大暑期Crypto课程- ldealized Models l(下)-Cong Zhang

www.bilibili.com/video/BV1BP…

**

开放隐私计算

,赞5

0

****前言

关于Idealized Model的课程主要围绕以下Theorem展开:

Theorem: If X holds, then Y(X) is secure in Model M.

To make things simple:

(1). Ignore M: think of M as a part of the definition of Y.

(2). Standard computational model: TMs/circuits.

可以看到给出了两个限制,我们将一步步把这些限制放回去。

类似于哲学问题“我是谁”“我来自哪里”“我到哪里去”,对于Random Oracle也可以提出类似的问题“什么是Random Oracle”,“它是如何sample得到的”,“它如何使用(seperation, proof, construction等)。

1

****什么是Random Oracle (RO)

对于这个问题,可能很多人都会回答“它是一个关于哈希的‘神话’”,但是为什么用了这个“神话”我们就能轻易进行证明了呢?

标准模型(Stand Model)包含所有图灵机的算法,是一个算法集,其反映了我们现实世界中的模型。然而在该模型下无法达到某些要求,因此我们考虑对攻击者算法进行一些限制,使得安全证明能够顺利进行,这就是我们使用“神话”RO的原因。

RO本身不能计算哈希函数,而是通过问询(Query)得到回答(Response),因此在进行query之前无法得到response,给了我们在reduction中的控制权。

例如A输出x要得到输入h(x),在把x给reduction R后,R调用一个RO进行计算,使得整体reduction仍在Stand Model下,而A受限于RO。

2

****RO是如何得到的

一般来说,RO是一个真随机的哈希函数,定义为RO ,一般有两种方法得到。

一种是inefficient的。在初始化时就sample出映射表,每查询时进行查表即可。

另一种是Lazy-Sampling,初始化时保存空表,每次查询时判断查询值是否在表中,如果在,则返还对应的值,否则随机生成值并记录在表中。

可以看到,第二种方法可以在ppt时间以及poly-space内完成,是涵盖在Stand Model下的,而这两种方法是不可区分的。

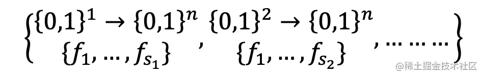
首先对于简单的映射,我们可以列出所有从n到n的映射的函数,然后以1/s的概率从s个函数中随机选取一个,这显然是真随机。

然而对于映射,依照上面的方法,将会列出无穷个映射函数,从中随机选得任意一个函数的概率都趋近于0,需要考虑其他方法。对于原像的长度*,虽然是任意的,但仍然是有限长度的,因此可以考虑以下构造以下集合

图片

从每个集合中各sample一个结果,记为,则RO≔kgk,其中k为无穷。

3

****RO的使用方法

考虑Theorem: such that A breaks “key-recovery”,意思是可以构建一个攻击者A,对于任意关于RO的构造,都能攻破其“key-recovery”的特征。(1). 攻击者: 对于A我们有以下需求:

(1). Unbounded computation power 

(2). PPT memory 

(3). Bounded query to RO 

(4). Breaks Key-Recovery 

下面是对以上需求的阐释: 

对于①,若改成PPT computation power,会导致复杂度出现分层,难以处理。并且,若攻击者是PPT的,将无法确保只用RO进行构造。

②属于技术要求。关于

③,若是unbounded,可以进行无限问询,则将能轻易破解“key-recovery”。

(2). 攻击过程 有了攻击者,下面我们考虑如何进行攻击。

图片

对于Alice和Bob,他们各自有sk,攻击者需要在只知道Trans以及拥有对RO有限的问询权限的情况下猜出shared key。 

以下为攻击步骤(假设攻击Alice,Bob最多对RO进行次query):

Step1:用伪造的无限oracle RO’猜出所有满足所有Trans的,设满足条件的密钥为,RO为,得到Shared key 。

02.png

Step2:再次用伪造的RO’猜出所有满足所有Trans的,若某次问询的是step1中对RO query过的值,则用对应的真值作为回答,得到新的与,并对RO query相同的值,放入真值表。

:重复上述迭代步骤。最后得到个k,以出现次数最多的值作为输出。 

正确性:我们声明[1],对于得到的个k,从第个k开始就能得到正确的值,因此出现次数最多的值就是真正的Shared key。

下证该声明的正确性。构造一个,对于Bob的query,调用RO回答真值,对于Alice的query,调用RO’回答,即只需满足与Trans对应。以此构建,获得。不需要与真实的一致。由于在真实的RO中,两方得到的Shared key一致,都是真实的。

因此在此构造中得到的也与真实的Shared key一致。令为Alice对进行的query,为Bob对RO进行的query,E为真值表。则每轮存在两种情况: 

Case1:,则将该元素加入E 

Case2:由于Bob最多query 次,因此轮后全为Case2,既满足Trans也满足Bob的query,因此轮后得到的也与真实的Shared key一致。

(PS:笔记里是作者自己整理,可能会有一些不太准确的表达,也会有一些不当的理解,欢迎大家在留言区指出,一起学习交流)

内容来源:浙大暑期Crypto课程-Idealized Model笔记整理:黄琳婷(正在努力学密码的研一)