干货 | 20种运放典型电路集锦,总有一个用得到!

248 阅读1分钟

01 反相比例运算电路

upfile

02 同相比例运算电路

upfile

03 电压跟随器

upfile

04 反相求和运算电路

upfile

upfile

05 同相求和运算电路

upfile

upfile

06 加减运算电路

upfile

upfile

07 加减电路

upfile

upfile

08 积分运算电路

upfile

upfile

upfile

09 实用积分电路

upfile

10 微分运算电路

upfile

11 实用微分电路

upfile

upfile

12 压控电压源二阶低通滤波器

upfile

upfile

13 压控电压源二阶高通滤波器

upfile

upfile

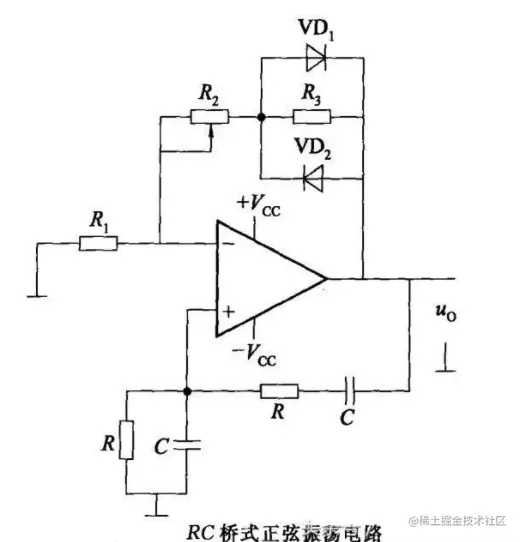
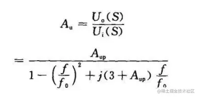
14 RC桥式正弦振荡电路

upfile

upfile

15 方波发生电路

upfile

upfile

16 方波和三角波发生电路

upfile

upfile

17 过零比较器电路

upfile

upfile

upfile

18 一般单限比较器

upfile

upfile

upfile

19 滞回比较器

upfile

upfile

upfile

upfile

upfile

upfile

20 窗口比较器

upfile

upfile

upfile

本文转载自:网络声明:本文为转载文章,转载此文目的在于传递更多信息,版权归原作者所有,如涉及侵权,请后台联系小编进行处理。(买电子元器件就上唯样商城)