【JS每日一算法】🟨80.分隔链表(双指针)

489 阅读1分钟

给你一个链表的头节点head和一个特定值x,请你对链表进行分隔,使得所有 小于x的节点都出现在 大于等于x的节点之前。

你应当 保留 两个分区中每个节点的初始相对位置。

提示:

  • 链表中节点的数目在范围 [0, 200] 内
  • -100 <= Node.val <= 100
  • -200 <= x <= 200

示例:

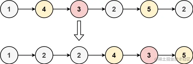
partition.jpg

输入: head = [1,4,3,2,5,2], x = 3
输出:[1,2,2,4,3,5]

题解:

更多JS版本题解点击链接关注该仓库👀

/**
 * @description: 双指针   TC:O(n)  SC:O(1)
 * @author: JunLiangWang
 * @param {*} head  给定链表头节点
 * @param {*} x     给定特定值X
 * @return {*}
 */
function doublePoint(head, x) {
    /**
     * 该方案使用双指针的方式,先遍历链表获得链表的长度,
     * 并将lastNode指针指向链表最后一个节点。因为首个节
     * 点有可能被移动到尾部,因此我们需要向链表头部添加
     * 一个哨兵节点。然后在使用一个指针currentNode指向
     * 头节点,利用该指针逐个遍历链表节点,当节点值大于
     * 给定值x,则将该节点移动到lastNode指针所指的节点
     * 的下一个节点,然后将lastNode指针指向下一个节点,
     * 该节点则被移动到了尾部。
     */

    //向链表头部添加一个哨兵节点,因为首个节点有可能被移动到尾部
    const HEAD = new ListNode(0, head);
    // 指向最后一个节点的指针
    let lastNode = HEAD,
    // 指向当前节点的指针
     currentNode = HEAD,
     // 链表长度
      length = 0;

    // 遍历链表获得链表的长度,并将lastNode
    // 指针指向链表最后一个节点
    while (lastNode.next) {
        lastNode = lastNode.next;
        length++;
    }
    // 遍历链表
    while (length > 0) {
        // 获得当前指针的下一个节点
        let nextNode = currentNode.next
        // 如果该节点值大于给定值x,需要移动该节点到链表尾部
        // 如果此时该节点等于链表尾部节点则无需移动
        if (nextNode.val >= x && nextNode != lastNode) {
            currentNode.next = nextNode.next;
            nextNode.next = null;
            lastNode.next = nextNode;
            lastNode = lastNode.next;
        }
        // 否则继续遍历下一个节点
        else {
            currentNode = currentNode.next;
        }
        length--;
    }
    // 返回结果
    return HEAD.next;
}

来源:力扣(LeetCode)