R语言分位数回归Quantile Regression分析租房价格|附代码数据

151 阅读5分钟

全文链接:tecdat.cn/?p=18422

最近我们被客户要求撰写关于分位数回归的研究报告,包括一些图形和统计输出。

本文想在R软件中更好地了解分位数回归优化。在查看分位数回归之前,让我们从样本中计算中位数或分位数

中位数

考虑一个样本 图片。要计算中位数,请求解

图片

可以使用线性编程技术解决。更确切地说,这个问题等同于

图片

为了说明,考虑对数正态分布的样本,

n = 123 
set.seed(132)
y = rlnorm(n)
median(y)
[1] 1.01523

对于优化问题,使用具有3n个约束和2n + 1参数的矩阵形式,

r = lp("min", c(rep(1,2*n),0),
tail(r$solution,1) 
[1] 1.01523

分位数

当然,我们可以将之前的代码改编为分位数

tau = .3
quantile(x,tau)
      30% 
0.674124

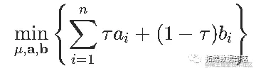
线性程序

图片

R代码

r = lp("min", c(rep(tau,n),rep(1-tau,n),0),
[1] 0.674124

分位数回归(简单)

考虑一个数据集,该数据集是一个主要城市的单位租金与面积,建筑年龄等的函数。

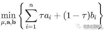
分位数回归的线性程序

图片

与ai,bi≥0和

图片

在这里使用

require(lpSolve) 
r = lp("min",
       c(rep(tau,n , rep(1-tau,n),0,0 , rbind(A1, A2 ,
       c(rep( =", 2*n , rep("=", n) , c(rep(0,2*n), y 
tail(r$solution,2)
[1] 147.845234   3.273453

我们可以使用R函数来拟合该模型

rq(ren~are , tau=tau 
Coefficients:
(Intercept)        are 
 147.845234   3.273453

我们可以使用不同的概率水平来获得图

plot( area, rent,xlab=expression
tau = .9
r = lp("min",
       c(re au,n), rep(1-tau  rbind(A1 2),
       c(rep , 2*n), rep("=", n)), c( ,2*n) y))

图片


点击标题查阅往期内容

图片

R语言分位数回归预测筛选有上升潜力的股票

图片

左右滑动查看更多

图片

01

图片

02

图片

03

图片

04

图片

多元分位数回归

现在,我们尝试使用两个协变量呢,例如,让我们看看是否可以将单位的租金解释为面积的(线性)函数和建筑年龄。

r = lp("min",
       c(rep(ta n), rep(1- au,n),0,0, , rbin 1, A2),
        (r p("&  ,  n), rep("=  n)),  (rep(0 *n), y)) 
tail(r$sol ,3)
[1] 0.000  3.224  0.073 
Coefficients:
 (Intercept)         are         year 
-5322.503252     3.428135     2.637234

结果是完全不同的。可以用IRLS  –迭代加权最小二乘确认后者

for(s in 1:500){
  reg = lm(rent ~area+year ,
weigts= tau*(eps t;0 1-tau) eps&lt ))/ s(e ))
}
reg$coefficients
 (Intercept)         area        year
-5485.433043     3.932134     2.842943

图片

我们可以使后者拟合多元回归,

lp("min",c,A consttype,b)
beta = r$sol[1:K  -  r$sol (1:K+K) 
beta
[1] -5542.633252     3.958135     2.857234

与之比较

rq(rent~ area + year, tau=tau 
Coefficients:
 (Intercept)         area        yearc 
-5542.633252     3.958135     2.857234
Degrees of freedom: 4571 total; 4568 residual

图片

点击文末 “阅读原文”

获取全文完整代码数据资料。

本文选自《R语言分位数回归Quantile Regression分析租房价格》。

图片

图片

点击标题查阅往期内容

R语言分位数回归预测筛选有上升潜力的股票
matlab使用分位数随机森林(QRF)回归树检测异常值
贝叶斯分位数回归、lasso和自适应lasso贝叶斯分位数回归分析免疫球蛋白、前列腺癌数据
分位数自回归QAR分析痛苦指数:失业率与通货膨胀率时间序列|数据分享
分位数回归、GAM样条曲线、指数平滑和SARIMA对电力负荷时间序列预测
用综合信息准则比较随机波动率(SV)模型对股票价格时间序列建模
结合新冠疫情COVID-19股票价格预测:ARIMA,KNN和神经网络时间序列分析
Fama French (FF) 三因子模型和CAPM模型分析股票市场投资组合风险/收益可视化
配对交易策略统计套利量化交易分析股票市场
Copula 算法建模相依性分析股票收益率时间序列案例
用COPULA模型进行蒙特卡洛(MONTE CARLO)模拟和拟合股票收益数据分析
R使用LASSO回归预测股票收益
金融时间序列模型ARIMA 和GARCH 在股票市场预测应用
时间序列分析模型:ARIMA-ARCH / GARCH模型分析股票价格
自然语言处理NLP:主题LDA、情感分析疫情下的新闻文本数据
在R语言中使用航空公司复杂网络对疫情进行建模
matlab用高斯曲线拟合模型分析疫情数据
R语言ARIMA-GARCH波动率模型预测股票市场苹果公司日收益率时间序列
R语言中的时间序列分析模型:ARIMA-ARCH / GARCH模型分析股票价格
R语言用综合信息准则比较随机波动率(SV)模型对股票价格时间序列建模
R语言回测交易:根据历史信号/交易创建股票收益曲线
Python中TensorFlow的长短期记忆神经网络(LSTM)、指数移动平均法预测股票市场和可视化
R语言k-Shape时间序列聚类方法对股票价格时间序列聚类
R语言逻辑回归Logistic回归分析预测股票涨跌
R语言时变波动率和ARCH,GARCH,GARCH-in-mean模型分析股市收益率时间序列
R语言中的copula GARCH模型拟合时间序列并模拟分析R语言乘法GARCH模型对高频交易数据进行波动性预测
R语言GARCH-DCC模型和DCC(MVT)建模估计
Python使用GARCH,EGARCH,GJR-GARCH模型和蒙特卡洛模拟进行股价预测
R语言时间序列GARCH模型分析股市波动率
R语言ARMA-EGARCH模型、集成预测算法对SPX实际波动率进行预测
matlab实现MCMC的马尔可夫转换ARMA - GARCH模型估计
Python使用GARCH,EGARCH,GJR-GARCH模型和蒙特卡洛模拟进行股价预测
使用R语言对S&P500股票指数进行ARIMA + GARCH交易策略
R语言用多元ARMA,GARCH ,EWMA, ETS,随机波动率SV模型对金融时间序列数据建模
R语言股票市场指数:ARMA-GARCH模型和对数收益率数据探索性分析
R语言多元Copula GARCH 模型时间序列预测
R语言使用多元AR-GARCH模型衡量市场风险
R语言中的时间序列分析模型:ARIMA-ARCH / GARCH模型分析股票价格
R语言用Garch模型和回归模型对股票价格分析
GARCH(1,1),MA以及历史模拟法的VaR比较
matlab估计arma garch 条件均值和方差模型
R语言ARMA-GARCH-COPULA模型和金融时间序列案例