【调制解调】AM 调幅

381 阅读21分钟

说明

学习数字信号处理算法时整理的学习笔记。同系列文章目录可见 《DSP 学习之路》目录,代码已上传到 Github - ModulationAndDemodulation。本篇介绍 AM 调幅信号的调制与解调,内附全套 MATLAB 代码。


1. AM 调制算法

1.1 算法描述

调制信号去控制载波的幅度,使其按照调制信号的规律变化,当调制信号是模拟信号时,这个过程就被称为调幅(AM)。AM 信号的时域表达式为:

sAM(t)=[A0+m(t)]cosωct(1)s_{AM}(t)=\left[A_0+m(t)\right]cos{\omega_ct} \tag{1}

式中:A0A_0 为外加的直流分量;m(t)m(t) 是调制信号(携带要发出去的信息),它可以是确知信号,也可以是随机信号,其均值通常为 0;cosωctcos{\omega_ct} 是载波,ωc\omega_c 是载波角频率,与载波频率 fcf_c 之间的关系为 ωc=2πfc\omega_c=2{\pi}f_c

对式 (1)(1) 进行傅里叶变换,得到 AM 信号的频谱(幅度谱)表达式:

SAM(ω)=πA0[δ(ω+ωc)+δ(ωωc)]+12[M(ω+ωc)+M(ωωc)](2)S_{AM}(\omega)={\pi}A_0\left[\delta(\omega+\omega_c)+\delta(\omega-\omega_c)\right]+\frac{1}{2}\left[M(\omega+\omega_c)+M(\omega-\omega_c)\right] \tag{2}

式中,M(ω)M(\omega) 是调制信号 m(t)m(t) 的频谱。AM 信号的特性如下:

  • m(t)max{\lvert}m(t){\rvert}_{max}A0A_0 的比值被称为调幅深度,或者调制指数,即 β=m(t)max/A0{\beta}={{\lvert}m(t){\rvert}_{max}}/{A_0},取值范围为 (0,1](0,1],若调幅深度比 1 大,AM 信号的包络会出现严重失真,此时无法用包络检波法从 sAM(t)s_{AM}(t) 中解调出 m(t)m(t)。在接收端估算调制指数时,可以先提取信号包络 A(t)A(t),然后使用公式

    β^=AmaxAminAmax+Amin(3)\hat{\beta}=\frac{A_{max}-A_{min}}{A_{max}+A_{min}} \tag{3}

    对调制指数进行估算。

  • AM 信号的频谱由载波分量、上边带、下边带三部分组成。上边带的频谱结构与原调制信号的频谱结构相同,下边带是上边带的镜像。因此,AM 信号是带有载波分量的双边带信号,它的带宽是基带信号(调制信号)带宽 fHf_H 的 2 倍,即 BAM=2fHB_{AM}=2f_{H}

    Oh Shit!-图片走丢了-打个广告-欢迎来博客园关注“木三百川”

  • 有用功率 PsP_s(用于传输有用信息的总边带功率)占信号总功率 PAMP_{AM} 的比例被称为调制效率,即

    ηAM=PsPAM=PsPc+Ps=m2(t)A02+m2(t)(4){\eta}_{AM}=\frac{P_s}{P_{AM}}=\frac{P_s}{{P_c}+{P_s}}=\frac{\overline{m^2(t)}}{A_0^2+\overline{m^2(t)}} \tag{4}

    式中 PcP_c 为载波功率,有 Pc=A02/2P_c={A_0^2}/2PsP_s 为边带功率,有 Ps=m2(t)/2P_s=\overline{m^2(t)}/2。当调制信号 m(t)m(t) 为单频信号时,调制效率 ηAM{\eta}_{AM} 与调制指数 βAM{\beta}_{AM} 存在如下关系:

    ηAM=βAM22+βAM2(5){\eta}_{AM}=\frac{{\beta}_{AM}^2}{2+{\beta}_{AM}^2} \tag{5}

    可得最大 AM 调制效率为 1/31/3,因此 AM 信号的功率利用率比较低。

1.2 调制信号 m(t) 为确知信号时

不妨假设确知信号 m(t)m(t) 的时域表达式如下:

m(t)=sin(2πfmt)+cos(πfmt)(6)m(t) = sin(2{\pi}{f_m}t)+cos({\pi}{f_m}t) \tag{6}

各调制参数取值:fm=2500Hzf_m=2500Hzβ=0.8{\beta}=0.8fc=20000Hzf_c=20000Hz。信号采样率 fs=8fcf_s=8{f_c},仿真总时长为 2s2s。AM 调制效果如下图所示(为了美观,时域只显示前 500 个点),调制信号 m(t)m(t) 双边幅度谱有四根离散谱线(±2500Hz{\pm}2500Hz±1250Hz{\pm}1250Hz),高频载波 c(t)c(t) 双边幅度谱有两根离散谱线(±20000Hz{\pm}20000Hz),AM 调幅信号 s(t)s(t) 双边幅度谱有十根离散谱线(±22500Hz{\pm}22500Hz±21250Hz{\pm}21250Hz±20000Hz{\pm}20000Hz±18750Hz{\pm}18750Hz±17500Hz{\pm}17500Hz)。

Oh Shit!-图片走丢了-打个广告-欢迎来博客园关注“木三百川”

代码详见附录 main_modAM_example1.mmod_am.m

1.3 调制信号 m(t) 为随机信号时

不妨假设基带信号带宽为 fH=3000Hz{f_H}=3000Hz,各调制参数取值:β=0.8{\beta}=0.8fc=20000Hzf_c=20000Hz。信号采样率 fs=8fcf_s=8{f_c},仿真总时长为 2s2s。AM 调制效果如下图所示(为了美观,时域只显示前 500 个点),调制信号 m(t)m(t) 双边幅度谱中间谱峰的范围约为 3000Hz3000Hz-3000Hz{\sim}3000Hz,高频载波 c(t)c(t) 双边幅度谱有两根离散谱线(±20000Hz{\pm}20000Hz),AM 调幅信号 s(t)s(t) 双边幅度谱有两根离散谱线(±20000Hz{\pm}20000Hz)及两个谱峰(范围约为 23000Hz17000Hz-23000Hz{\sim}-17000Hz17000Hz23000Hz17000Hz{\sim}23000Hz)。

Oh Shit!-图片走丢了-打个广告-欢迎来博客园关注“木三百川”

代码详见附录 main_modAM_example2.mmod_am.m


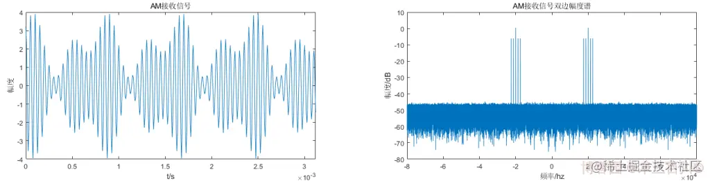
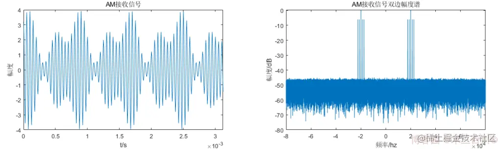
2. AM 解调算法

解调是调制的逆过程,其作用是从接收的已调信号中恢复原基带信号(即调制信号)。AM 解调的方法可分为两类:相干解调和非相干解调(包络检波),一般都采用包络检波。对上面 1.2 节中生成的 AM 信号加高斯白噪声,假设信噪比 SNR=50dBSNR=50dB,加噪后的波形及频谱如下图所示(为了美观,时域只显示前 500 个点),频谱中有十根离散谱线(±22500Hz{\pm}22500Hz±21250Hz{\pm}21250Hz±20000Hz{\pm}20000Hz±18750Hz{\pm}18750Hz±17500Hz{\pm}17500Hz):

Oh Shit!-图片走丢了-打个广告-欢迎来博客园关注“木三百川”

下面分别用几种不同方法对这个 AM 接收信号进行解调。

2.1 非相干解调(包络检波)

AM 信号在满足 β1{\beta}{\leq}1 的条件下,其包络与调制信号 m(t)m(t) 的形状完全一样,因此可以从信号包络中提取调制信号。AM 非相干解调(包络检波)一般有以下三个步骤:

  1. 第一步:全波整流(对 s(t)s(t) 取绝对值)或半波整流(将 s(t)s(t) 小于 00 的地方置零)。
  2. 第二步:低通滤波器滤除高频载波,滤除 2ωc2{\omega}_cωc{\omega}_c
  3. 第三步:去除直流分量(减去自身均值)。

每一步结果的时域波形及频谱如下(为了美观,时域只显示前 500 个点)。全波整流结果的双边幅度谱中有二十根离散的谱线(0Hz0Hz±1250Hz{\pm}1250Hz±2500Hz{\pm}2500Hz±37500Hz{\pm}37500Hz±38750Hz{\pm}38750Hz±40000Hz{\pm}40000Hz±41250Hz{\pm}41250Hz±42500Hz{\pm}42500Hz±77500Hz{\pm}77500Hz±78750Hz{\pm}78750Hz80000Hz-80000Hz)。经过低通滤波后,只剩零频附近的五根谱线强度较大(0Hz0Hz±2500Hz{\pm}2500Hz±1250Hz{\pm}1250Hz),剩余谱线可忽略。进一步去除直流后,只剩下调制信号中的四根谱线(±2500Hz{\pm}2500Hz±1250Hz{\pm}1250Hz),剩余谱线可忽略,此时的时域波形就是 AM 非相干解调的结果。

Oh Shit!-图片走丢了-打个广告-欢迎来博客园关注“木三百川”

解调信号 m^(t)\hat{m}(t) 与调制信号 m(t)m(t) 的对比效果如下:

Oh Shit!-图片走丢了-打个广告-欢迎来博客园关注“木三百川”

解调信号与调制信号波形基本一致,它们之间只相差一个比例系数,由 k=m(t)/m^(t)k=\overline{{\lvert}m(t){\rvert}}/\overline{{\lvert}\hat{m}(t){\rvert}} 可计算出这个比例系数约为 1.65671.6567,使用这个系数放大解调信号幅值,然后计算误差,有:m(ti)km^(ti)2/m(ti)20.0054\sqrt{\sum{{\lvert}m(t_i)-k\hat{m}(t_i){\rvert}^2}}/\sqrt{\sum{{\lvert}m(t_i){\rvert}^2}}\approx0.0054。代码详见附录 main_demodAM_example1.mdemod_am_method1.m

2.2 相干解调

相干解调时,为了无失真地恢复原基带信号,接收端必须提供一个与调制载波**严格同步(同频同相)**的本地载波(称为相干载波,可使用锁相环技术得到)。AM 相干解调一般有以下三个步骤:

  1. 第一步:乘以相干载波(即乘以 2cos(ωct+ϕ0)2cos({\omega_ct}+{\phi_0}),前面的 2 被用来做幅度补偿,详见《通信原理》教材)。
  2. 第二步:低通滤波器滤除高频载波,滤除 2ωc2{\omega}_c
  3. 第三步:去除直流分量(减去自身均值)。

解调时不妨取相干载波初相位为 ϕ0=0{\phi_0}=0,更靠谱点的需使用锁相环技术。每一步结果的时域波形及频谱如下(为了美观,时域只显示前 500 个点)。乘以相干载波结果的双边幅度谱中有十五根离散的谱线(0Hz0Hz±1250Hz{\pm}1250Hz±2500Hz{\pm}2500Hz±37500Hz{\pm}37500Hz±38750Hz{\pm}38750Hz±40000Hz{\pm}40000Hz±41250Hz{\pm}41250Hz±42500Hz{\pm}42500Hz)。经过低通滤波后,只剩零频附近的五根谱线强度较大(0Hz0Hz±2500Hz{\pm}2500Hz±1250Hz{\pm}1250Hz),剩余谱线可忽略。进一步去除直流后,只剩下调制信号中的四根谱线(±2500Hz{\pm}2500Hz±1250Hz{\pm}1250Hz),剩余谱线可忽略,此时的时域波形就是 AM 相干解调的结果。

Oh Shit!-图片走丢了-打个广告-欢迎来博客园关注“木三百川”

解调信号 m^(t)\hat{m}(t) 与调制信号 m(t)m(t) 的对比效果如下:

Oh Shit!-图片走丢了-打个广告-欢迎来博客园关注“木三百川”

解调信号与调制信号波形基本重回,计算误差,有:m(ti)m^(ti)2/m(ti)20.0053\sqrt{\sum{{\lvert}m(t_i)-\hat{m}(t_i){\rvert}^2}}/\sqrt{\sum{{\lvert}m(t_i){\rvert}^2}}\approx0.0053。更改相干载波的初始相位为 ϕ0=π/4,π/2{\phi_0}=\pi/4,\pi/2,或者更改相干载波的中心频率为 0.8fc,1.2fc0.8f_c,1.2f_c 后,解调效果变差,说明这种方法对相干载波同频同相的要求较高,鲁棒性不够强悍,可使用锁相环技术来改善这一缺点。代码详见附录 main_demodAM_example2.mdemod_am_method2.m

2.3 数字正交解调

数字正交解调也属于相干解调的一种,但这种方法具有较强的抗载频失配能力,不要求相干载波严格的同频同相。AM 数字正交解调一般有以下四个步骤:

  1. 第一步:乘以正交相干载波得到 sI(t){s_I}(t)sQ(t){s_Q}(t),即 sI(t)=2s(t)cos(ωct+ϕ0){s_I}(t)=2s(t)cos({\omega_ct}+{\phi_0})sQ(t)=2s(t)sin(ωct+ϕ0){s_Q}(t)=-2s(t)sin({\omega_ct}+{\phi_0}),前面的 2 被用来做幅度补偿。
  2. 第二步:低通滤波器滤除 sI(t){s_I}(t)sQ(t){s_Q}(t) 中的高频分量。
  3. 第三步:计算包络 A(t)=sI2(t)+sQ2(t)A(t)=\sqrt{{s_I^2}(t)+{s_Q^2}(t)}
  4. 第四步:去除直流分量(减去自身均值)。

解调时不妨取相干载波初相位为 ϕ0=0{\phi_0}=0。第一步结果的时域波形及频谱如下(为了美观,时域只显示前 500 个点)。乘以正交相干载波后,II 路双边幅度谱中有十五根离散谱线(0Hz0Hz±1250Hz{\pm}1250Hz±2500Hz{\pm}2500Hz±37500Hz{\pm}37500Hz±38750Hz{\pm}38750Hz±40000Hz{\pm}40000Hz±41250Hz{\pm}41250Hz±42500Hz{\pm}42500Hz),QQ 路双边幅度谱中有十根离散谱线(±37500Hz{\pm}37500Hz±38750Hz{\pm}38750Hz±40000Hz{\pm}40000Hz±41250Hz{\pm}41250Hz±42500Hz{\pm}42500Hz)。

Oh Shit!-图片走丢了-打个广告-欢迎来博客园关注“木三百川”

第二步结果的时域波形及频谱如下(为了美观,时域只显示前 500 个点)。经过低通滤波后,II 路双边幅度谱只剩零频附近的五根谱线强度较大(0Hz0Hz±2500Hz{\pm}2500Hz±1250Hz{\pm}1250Hz),剩余谱线可忽略,QQ 路双边幅度谱各谱线相对于 II 路而言都可忽略。

Oh Shit!-图片走丢了-打个广告-欢迎来博客园关注“木三百川”

第三步以及第四步的时域波形及频谱如下(为了美观,时域只显示前 500 个点)。计算所得包络的双边幅度谱中,只剩零频附近的五根谱线强度较大(0Hz0Hz±2500Hz{\pm}2500Hz±1250Hz{\pm}1250Hz),剩余谱线可忽略,进一步去除直流后,只剩下调制信号中的四根谱线(±2500Hz{\pm}2500Hz±1250Hz{\pm}1250Hz),剩余谱线可忽略,此时的时域波形就是 AM 相干解调的结果。

Oh Shit!-图片走丢了-打个广告-欢迎来博客园关注“木三百川”

解调信号 m^(t)\hat{m}(t) 与调制信号 m(t)m(t) 的对比效果如下:

Oh Shit!-图片走丢了-打个广告-欢迎来博客园关注“木三百川”

解调信号与调制信号波形基本重回,计算误差,有:m(ti)m^(ti)2/m(ti)20.0053\sqrt{\sum{{\lvert}m(t_i)-\hat{m}(t_i){\rvert}^2}}/\sqrt{\sum{{\lvert}m(t_i){\rvert}^2}}\approx0.0053。更改相干载波的初始相位为 ϕ0=π/4,π/2{\phi_0}=\pi/4,\pi/2,或者更改相干载波的中心频率为 0.8fc,1.2fc0.8f_c,1.2f_c 后,解调效果依然很好,说明这种方法具有较好的抗载频失配能力。代码详见附录 main_demodAM_example3.mdemod_am_method3.m

2.4 非相干解调(包络检波 - 希尔伯特变换法)

根据信号的希尔伯特变换,可以计算出 AM 信号的包络,这种方法用 MATLAB 实现极为简单,解调时无需任何载频信息:

  1. 第一步:计算 AM 信号的希尔伯特变换,得到一个复信号(实部为原 AM 信号,虚部为其希尔伯特变换结果),对所得复信号取模,即为 AM 信号的包络。

  2. 第二步:去除直流分量(减去自身均值)。

每一步结果的时域波形及频谱如下(为了美观,时域只显示前 500 个点)。希尔伯特变换所得包络的双边幅度谱中有五根离散的谱线(0Hz0Hz±1250Hz{\pm}1250Hz±2500Hz{\pm}2500Hz)。去除直流后,只剩下调制信号中的四根谱线(±2500Hz{\pm}2500Hz±1250Hz{\pm}1250Hz),剩余谱线可忽略,此时的时域波形就是 AM 非相干解调的结果。

Oh Shit!-图片走丢了-打个广告-欢迎来博客园关注“木三百川”

解调信号 m^(t)\hat{m}(t) 与调制信号 m(t)m(t) 的对比效果如下:

Oh Shit!-图片走丢了-打个广告-欢迎来博客园关注“木三百川”

解调信号与调制信号波形基本重回,计算误差,有:m(ti)m^(ti)2/m(ti)20.0054\sqrt{\sum{{\lvert}m(t_i)-\hat{m}(t_i){\rvert}^2}}/\sqrt{\sum{{\lvert}m(t_i){\rvert}^2}}\approx0.0054。代码详见附录 main_demodAM_example4.mdemod_am_method4.m


3. AM 仿真(MATLAB Communications Toolbox)

MATLAB 的 Communications Toolbox 中提供了 AM 调制函数 ammod,高斯白噪声函数 awgn,以及 AM 解调函数 amdemod,可以很方便地完成 AM 信号仿真。使用这三个函数实现上面 1.2 节中确知信号 m(t)m(t) 的 AM 调制解调,调制后加噪声的效果如下:

Oh Shit!-图片走丢了-打个广告-欢迎来博客园关注“木三百川”

解调效果如下:

Oh Shit!-图片走丢了-打个广告-欢迎来博客园关注“木三百川”

解调信号与调制信号波形基本重回,计算误差,有:m(ti)m^(ti)2/m(ti)20.0074\sqrt{\sum{{\lvert}m(t_i)-\hat{m}(t_i){\rvert}^2}}/\sqrt{\sum{{\lvert}m(t_i){\rvert}^2}}\approx0.0074。代码详见附录 main_CommAM_example.m


参考资料

[1] 楼才义,徐建良,杨小牛.软件无线电原理与应用[M].电子工业出版社,2014.

[2] 樊昌信,曹丽娜.通信原理.第7版[M].国防工业出版社,2012.

[3] CSDN - 幅度调制AM

[4] 知乎 - 什么是AM波的调制指数和传输效率?


附录代码

附.1 文件 mod_am.m

function [ sig_am ] = mod_am(fc, beta, fs, mt, t)
% MOD_AM        AM 调幅
% 输入参数:
%       fc      载波中心频率
%       beta    调幅深度/调制指数
%       fs      信号采样率
%       mt      调制信号
%       t       采样时间
% 输出参数:
%       sig_am  调幅(AM)实信号
% @author 木三百川

% 计算直流分量
A0 = max(abs(mt))/beta;

% 生成信号
ct = cos(2*pi*fc*t);      % 载波信号
sig_am = (A0+mt).*ct;     % AM调幅信号

% 绘图
nfft = length(sig_am);
freq = (-nfft/2:nfft/2-1).'*(fs/nfft);
figure;set(gcf,'color','w');
plot_length = min(500, length(sig_am));
subplot(3,2,1);
plot(t(1:plot_length), mt(1:plot_length));xlim([t(1),t(plot_length)]);
xlabel('t/s');ylabel('幅度');title('调制信号m(t)');
subplot(3,2,2);
plot(freq, 10*log10(fftshift(abs(fft(mt,nfft)/nfft))+eps));xlim([freq(1),freq(end)]);
xlabel('频率/hz');ylabel('幅度/dB');title('调制信号m(t)双边幅度谱');

subplot(3,2,3);
plot(t(1:plot_length), ct(1:plot_length));xlim([t(1),t(plot_length)]);
xlabel('t/s');ylabel('幅度');title('高频载波c(t)');
subplot(3,2,4);
plot(freq, 10*log10(fftshift(abs(fft(ct,nfft)/nfft))+eps));xlim([freq(1),freq(end)]);
xlabel('频率/hz');ylabel('幅度/dB');title('高频载波c(t)双边幅度谱');

subplot(3,2,5);
plot(t(1:plot_length), sig_am(1:plot_length));xlim([t(1),t(plot_length)]);
xlabel('t/s');ylabel('幅度');title('AM调幅信号s(t)');
subplot(3,2,6);
plot(freq, 10*log10(fftshift(abs(fft(sig_am,nfft)/nfft))+eps));xlim([freq(1),freq(end)]);
xlabel('频率/hz');ylabel('幅度/dB');title('AM调幅信号s(t)双边幅度谱');

end

附.2 文件 main_modAM_example1.m

clc;
clear;
close all;
% AM 调制仿真(调制信号为确知信号)
% @author 木三百川

% 调制参数
fm = 2500;              % 调制信号参数
beta = 0.8;             % 调幅深度/调制指数
fc = 20000;             % 载波频率
fs = 8*fc;              % 采样率
total_time = 2;         % 仿真时长,单位:秒

% 采样时间
t = 0:1/fs:total_time-1/fs;

% 调制信号为确知信号
mt = sin(2*pi*fm*t)+cos(pi*fm*t);

% AM 调制
[ sig_am ] = mod_am(fc, beta, fs, mt, t);

附.3 文件 main_modAM_example2.m

clc;
clear;
close all;
% AM 调制仿真(调制信号为随机信号)
% @author 木三百川

% 调制参数
fH = 3000;          	% 基带信号带宽
beta = 0.8;             % 调幅深度/调制指数
fc = 20000;             % 载波频率
fs = 8*fc;              % 采样率
total_time = 2;         % 仿真时长,单位:秒

% 采样时间
t = 0:1/fs:total_time-1/fs;

% 调制信号为随机信号
mt = randn(size(t));
b = fir1(512, fH/(fs/2), 'low');
mt = filter(b,1,mt);
mt = mt - mean(mt);

% AM 调制
[ sig_am ] = mod_am(fc, beta, fs, mt, t);

附.4 文件 demod_am_method1.m

function [ sig_am_demod ] = demod_am_method1(sig_am_receive, fc, fs, t)
% DEMOD_AM_METHOD1        AM 非相干解调(包络检波)
% 输入参数:
%       sig_am_receive      AM 接收信号,行向量
%       fc                  载波中心频率
%       fs                  信号采样率
%       t                   采样时间
% 输出参数:
%       sig_am_demod        解调结果,与 sig_am_receive 等长
% @author 木三百川

% 第一步:全波整流
sig_am_abs = abs(sig_am_receive);

% 第二步:低通滤波(补零进行时延修正)
b = fir1(256, fc/(fs/2), 'low');
sig_am_lpf = filter(b,1,[sig_am_abs,zeros(1, fix(length(b)/2))]);
sig_am_lpf = sig_am_lpf(fix(length(b)/2)+1:end);

% 第三步:去除直流分量
sig_am_demod = sig_am_lpf - mean(sig_am_lpf);

% 绘图
nfft = length(sig_am_abs);
freq = (-nfft/2:nfft/2-1).'*(fs/nfft);
figure;set(gcf,'color','w');
plot_length = min(500, length(sig_am_abs));
subplot(3,2,1);
plot(t(1:plot_length), sig_am_abs(1:plot_length));xlim([t(1),t(plot_length)]);
xlabel('t/s');ylabel('幅度');title('全波整流结果');
subplot(3,2,2);
plot(freq, 10*log10(fftshift(abs(fft(sig_am_abs,nfft)/nfft))+eps));xlim([freq(1),freq(end)]);
xlabel('频率/hz');ylabel('幅度/dB');title('全波整流结果双边幅度谱');

subplot(3,2,3);
plot(t(1:plot_length), sig_am_lpf(1:plot_length));xlim([t(1),t(plot_length)]);
xlabel('t/s');ylabel('幅度');title('低通滤波结果');
subplot(3,2,4);
plot(freq, 10*log10(fftshift(abs(fft(sig_am_lpf,nfft)/nfft))+eps));xlim([freq(1),freq(end)]);
xlabel('频率/hz');ylabel('幅度/dB');title('低通滤波结果双边幅度谱');

subplot(3,2,5);
plot(t(1:plot_length), sig_am_demod(1:plot_length));xlim([t(1),t(plot_length)]);
xlabel('t/s');ylabel('幅度');title('(去除直流)解调结果');
subplot(3,2,6);
plot(freq, 10*log10(fftshift(abs(fft(sig_am_demod,nfft)/nfft))+eps));xlim([freq(1),freq(end)]);
xlabel('频率/hz');ylabel('幅度/dB');title('(去除直流)解调结果双边幅度谱');

end

附.5 文件 main_demodAM_example1.m

clc;
clear;
close all;
% AM 解调仿真(调制信号为确知信号,非相干解调/包络检波)
% @author 木三百川

% 调制参数
fm = 2500;              % 调制信号参数
beta = 0.8;             % 调幅深度/调制指数
fc = 20000;             % 载波频率
fs = 8*fc;              % 采样率
total_time = 2;         % 仿真时长,单位:秒

% 采样时间
t = 0:1/fs:total_time-1/fs;

% 调制信号为确知信号
mt = sin(2*pi*fm*t)+cos(pi*fm*t);

% AM 调制
[ sig_am_send ] = mod_am(fc, beta, fs, mt, t);

% 加噪声
snr = 50;               % 信噪比
sig_am_receive = awgn(sig_am_send, snr, 'measured');

% 非相干解调
[ sig_am_demod ] = demod_am_method1(sig_am_receive, fc, fs, t);

% 绘图
nfft = length(sig_am_receive);
freq = (-nfft/2:nfft/2-1).'*(fs/nfft);
figure;set(gcf,'color','w');
plot_length = min(500, length(sig_am_receive));
subplot(1,2,1);
plot(t(1:plot_length), sig_am_receive(1:plot_length));xlim([t(1),t(plot_length)]);
xlabel('t/s');ylabel('幅度');title('AM接收信号');
subplot(1,2,2);
plot(freq, 10*log10(fftshift(abs(fft(sig_am_receive,nfft)/nfft))+eps));xlim([freq(1),freq(end)]);
xlabel('频率/hz');ylabel('幅度/dB');title('AM接收信号双边幅度谱');

figure;set(gcf,'color','w');
plot(t(1:plot_length), mt(1:plot_length));xlim([t(1),t(plot_length)]);
hold on;
plot(t(1:plot_length), sig_am_demod(1:plot_length));xlim([t(1),t(plot_length)]);
xlabel('t/s');ylabel('幅度');title('解调效果');
legend('调制信号','解调信号');

coef = mean(abs(mt))/mean(abs(sig_am_demod));
fprintf('norm(调制信号 - %.2f * 解调信号)/norm(调制信号) = %.4f.\n', coef, norm(mt-coef*sig_am_demod)/norm(mt));

附.6 文件 demod_am_method2.m

function [ sig_am_demod ] = demod_am_method2(sig_am_receive, fc, fs, t, phi0)
% DEMOD_AM_METHOD2        AM 相干解调
% 输入参数:
%       sig_am_receive      AM 接收信号,行向量
%       fc                  载波中心频率
%       fs                  信号采样率
%       t                   采样时间
%       phi0                相干载波初始相位
% 输出参数:
%       sig_am_demod        解调结果,与 sig_am_receive 等长
% @author 木三百川

% 第一步:乘以相干载波
ct = 2*cos(2*pi*fc*t+phi0);
sig_am_ct = sig_am_receive.*ct;

% 第二步:低通滤波(补零进行时延修正)
b = fir1(256, fc/(fs/2), 'low');
sig_am_lpf = filter(b,1,[sig_am_ct,zeros(1, fix(length(b)/2))]);
sig_am_lpf = sig_am_lpf(fix(length(b)/2)+1:end);

% 第三步:去除直流分量
sig_am_demod = sig_am_lpf - mean(sig_am_lpf);

% 绘图
nfft = length(sig_am_ct);
freq = (-nfft/2:nfft/2-1).'*(fs/nfft);
figure;set(gcf,'color','w');
plot_length = min(500, length(sig_am_ct));
subplot(3,2,1);
plot(t(1:plot_length), sig_am_ct(1:plot_length));xlim([t(1),t(plot_length)]);
xlabel('t/s');ylabel('幅度');title('乘以相干载波结果');
subplot(3,2,2);
plot(freq, 10*log10(fftshift(abs(fft(sig_am_ct,nfft)/nfft))+eps));xlim([freq(1),freq(end)]);
xlabel('频率/hz');ylabel('幅度/dB');title('乘以相干载波结果双边幅度谱');

subplot(3,2,3);
plot(t(1:plot_length), sig_am_lpf(1:plot_length));xlim([t(1),t(plot_length)]);
xlabel('t/s');ylabel('幅度');title('低通滤波结果');
subplot(3,2,4);
plot(freq, 10*log10(fftshift(abs(fft(sig_am_lpf,nfft)/nfft))+eps));xlim([freq(1),freq(end)]);
xlabel('频率/hz');ylabel('幅度/dB');title('低通滤波结果双边幅度谱');

subplot(3,2,5);
plot(t(1:plot_length), sig_am_demod(1:plot_length));xlim([t(1),t(plot_length)]);
xlabel('t/s');ylabel('幅度');title('(去除直流)解调结果');
subplot(3,2,6);
plot(freq, 10*log10(fftshift(abs(fft(sig_am_demod,nfft)/nfft))+eps));xlim([freq(1),freq(end)]);
xlabel('频率/hz');ylabel('幅度/dB');title('(去除直流)解调结果双边幅度谱');

end

附.7 文件 main_demodAM_example2.m

clc;
clear;
close all;
% AM 解调仿真(调制信号为确知信号,相干解调)
% @author 木三百川

% 调制参数
fm = 2500;              % 调制信号参数
beta = 0.8;             % 调幅深度/调制指数
fc = 20000;             % 载波频率
fs = 8*fc;              % 采样率
total_time = 2;         % 仿真时长,单位:秒

% 采样时间
t = 0:1/fs:total_time-1/fs;

% 调制信号为确知信号
mt = sin(2*pi*fm*t)+cos(pi*fm*t);

% AM 调制
[ sig_am_send ] = mod_am(fc, beta, fs, mt, t);

% 加噪声
snr = 50;               % 信噪比
sig_am_receive = awgn(sig_am_send, snr, 'measured');

% 非相干解调
phi0 = 0;               % 相干载波初相位
[ sig_am_demod ] = demod_am_method2(sig_am_receive, fc, fs, t, phi0);

% 绘图
nfft = length(sig_am_receive);
freq = (-nfft/2:nfft/2-1).'*(fs/nfft);
figure;set(gcf,'color','w');
plot_length = min(500, length(sig_am_receive));
subplot(1,2,1);
plot(t(1:plot_length), sig_am_receive(1:plot_length));xlim([t(1),t(plot_length)]);
xlabel('t/s');ylabel('幅度');title('AM接收信号');
subplot(1,2,2);
plot(freq, 10*log10(fftshift(abs(fft(sig_am_receive,nfft)/nfft))+eps));xlim([freq(1),freq(end)]);
xlabel('频率/hz');ylabel('幅度/dB');title('AM接收信号双边幅度谱');

figure;set(gcf,'color','w');
plot(t(1:plot_length), mt(1:plot_length));xlim([t(1),t(plot_length)]);
hold on;
plot(t(1:plot_length), sig_am_demod(1:plot_length));xlim([t(1),t(plot_length)]);
xlabel('t/s');ylabel('幅度');title('解调效果');
legend('调制信号','解调信号');

coef = mean(abs(mt))/mean(abs(sig_am_demod));
fprintf('norm(调制信号 - %.2f * 解调信号)/norm(调制信号) = %.4f.\n', coef, norm(mt-coef*sig_am_demod)/norm(mt));

附.8 文件 demod_am_method3.m

function [ sig_am_demod ] = demod_am_method3(sig_am_receive, fc, fs, t, phi0)
% DEMOD_AM_METHOD3        AM 数字正交解调/相干解调
% 输入参数:
%       sig_am_receive      AM 接收信号,行向量
%       fc                  载波中心频率
%       fs                  信号采样率
%       t                   采样时间
%       phi0                相干载波初始相位
% 输出参数:
%       sig_am_demod        解调结果,与 sig_am_receive 等长
% @author 木三百川

% 第一步:乘以正交相干载波
sig_am_i = 2*sig_am_receive.*cos(2*pi*fc*t+phi0);
sig_am_q = -2*sig_am_receive.*sin(2*pi*fc*t+phi0);

% 第二步:低通滤波(补零进行时延修正)
b = fir1(256, fc/(fs/2), 'low');
sig_am_i_lpf = filter(b,1,[sig_am_i,zeros(1,fix(length(b)/2))]);
sig_am_q_lpf = filter(b,1,[sig_am_q,zeros(1,fix(length(b)/2))]);
sig_am_i_lpf = sig_am_i_lpf(fix(length(b)/2)+1:end);
sig_am_q_lpf = sig_am_q_lpf(fix(length(b)/2)+1:end);

% 第三步:计算包络
At = sqrt(sig_am_i_lpf.^2 + sig_am_q_lpf.^2);

% 第四步:去除直流分量
sig_am_demod = At - mean(At);

% 绘图
nfft = length(sig_am_receive);
freq = (-nfft/2:nfft/2-1).'*(fs/nfft);
figure;set(gcf,'color','w');
plot_length = min(500, length(sig_am_receive));
subplot(2,2,1);
plot(t(1:plot_length), sig_am_i(1:plot_length));xlim([t(1),t(plot_length)]);
xlabel('t/s');ylabel('幅度');title('乘以正交相干载波 I 路结果');
subplot(2,2,2);
plot(freq, 10*log10(fftshift(abs(fft(sig_am_i,nfft)/nfft))+eps));xlim([freq(1),freq(end)]);
xlabel('频率/hz');ylabel('幅度/dB');title('乘以正交相干载波 I 路结果双边幅度谱');
subplot(2,2,3);
plot(t(1:plot_length), sig_am_q(1:plot_length));xlim([t(1),t(plot_length)]);
xlabel('t/s');ylabel('幅度');title('乘以正交相干载波 Q 路结果');
subplot(2,2,4);
plot(freq, 10*log10(fftshift(abs(fft(sig_am_q,nfft)/nfft))+eps));xlim([freq(1),freq(end)]);
xlabel('频率/hz');ylabel('幅度/dB');title('乘以正交相干载波 Q 路结果双边幅度谱');

figure;set(gcf,'color','w');
subplot(2,2,1);
plot(t(1:plot_length), sig_am_i_lpf(1:plot_length));xlim([t(1),t(plot_length)]);
xlabel('t/s');ylabel('幅度');title('低通滤波 I 路结果');
subplot(2,2,2);
plot(freq, 10*log10(fftshift(abs(fft(sig_am_i_lpf,nfft)/nfft))+eps));xlim([freq(1),freq(end)]);
xlabel('频率/hz');ylabel('幅度/dB');title('低通滤波 I 路结果双边幅度谱');
subplot(2,2,3);
plot(t(1:plot_length), sig_am_q_lpf(1:plot_length));xlim([t(1),t(plot_length)]);
xlabel('t/s');ylabel('幅度');title('低通滤波 Q 路结果');
subplot(2,2,4);
plot(freq, 10*log10(fftshift(abs(fft(sig_am_q_lpf,nfft)/nfft))+eps));xlim([freq(1),freq(end)]);
xlabel('频率/hz');ylabel('幅度/dB');title('低通滤波 Q 路结果双边幅度谱');

figure;set(gcf,'color','w');
subplot(2,2,1);
plot(t(1:plot_length), At(1:plot_length));xlim([t(1),t(plot_length)]);
xlabel('t/s');ylabel('幅度');title('计算包络结果');
subplot(2,2,2);
plot(freq, 10*log10(fftshift(abs(fft(At,nfft)/nfft))+eps));xlim([freq(1),freq(end)]);
xlabel('频率/hz');ylabel('幅度/dB');title('计算包络结果双边幅度谱');
subplot(2,2,3);
plot(t(1:plot_length), sig_am_demod(1:plot_length));xlim([t(1),t(plot_length)]);
xlabel('t/s');ylabel('幅度');title('(去除直流)解调结果');
subplot(2,2,4);
plot(freq, 10*log10(fftshift(abs(fft(sig_am_demod,nfft)/nfft))+eps));xlim([freq(1),freq(end)]);
xlabel('频率/hz');ylabel('幅度/dB');title('(去除直流)解调结果双边幅度谱');

end

附.9 文件 main_demodAM_example3.m

clc;
clear;
close all;
% AM 解调仿真(调制信号为确知信号,数字正交解调/相干解调)
% @author 木三百川

% 调制参数
fm = 2500;              % 调制信号参数
beta = 0.8;             % 调幅深度/调制指数
fc = 20000;             % 载波频率
fs = 8*fc;              % 采样率
total_time = 2;         % 仿真时长,单位:秒

% 采样时间
t = 0:1/fs:total_time-1/fs;

% 调制信号为确知信号
mt = sin(2*pi*fm*t)+cos(pi*fm*t);

% AM 调制
[ sig_am_send ] = mod_am(fc, beta, fs, mt, t);

% 加噪声
snr = 50;               % 信噪比
sig_am_receive = awgn(sig_am_send, snr, 'measured');

% 非相干解调
phi0 = 0;               % 相干载波初相位
[ sig_am_demod ] = demod_am_method3(sig_am_receive, fc, fs, t, phi0);

% 绘图
nfft = length(sig_am_receive);
freq = (-nfft/2:nfft/2-1).'*(fs/nfft);
figure;set(gcf,'color','w');
plot_length = min(500, length(sig_am_receive));
subplot(1,2,1);
plot(t(1:plot_length), sig_am_receive(1:plot_length));xlim([t(1),t(plot_length)]);
xlabel('t/s');ylabel('幅度');title('AM接收信号');
subplot(1,2,2);
plot(freq, 10*log10(fftshift(abs(fft(sig_am_receive,nfft)/nfft))+eps));xlim([freq(1),freq(end)]);
xlabel('频率/hz');ylabel('幅度/dB');title('AM接收信号双边幅度谱');

figure;set(gcf,'color','w');
plot(t(1:plot_length), mt(1:plot_length));xlim([t(1),t(plot_length)]);
hold on;
plot(t(1:plot_length), sig_am_demod(1:plot_length));xlim([t(1),t(plot_length)]);
xlabel('t/s');ylabel('幅度');title('解调效果');
legend('调制信号','解调信号');

coef = mean(abs(mt))/mean(abs(sig_am_demod));
fprintf('norm(调制信号 - %.2f * 解调信号)/norm(调制信号) = %.4f.\n', coef, norm(mt-coef*sig_am_demod)/norm(mt));

附.10 文件 demod_am_method4.m

function [ sig_am_demod ] = demod_am_method4(sig_am_receive, fs, t)
% DEMOD_AM_METHOD1        AM 非相干解调(包络检波,Hilbert变换计算包络)
% 输入参数:
%       sig_am_receive      AM 接收信号,行向量
%       fs                  信号采样率
%       t                   采样时间
% 输出参数:
%       sig_am_demod        解调结果,与 sig_am_receive 等长
% @author 木三百川

% 第一步:计算信号包络
sig_am_envelope = abs(hilbert(sig_am_receive));

% 第二步:去除直流分量
sig_am_demod = sig_am_envelope - mean(sig_am_envelope);

% 绘图
nfft = length(sig_am_envelope);
freq = (-nfft/2:nfft/2-1).'*(fs/nfft);
figure;set(gcf,'color','w');
plot_length = min(500, length(sig_am_envelope));
subplot(2,2,1);
plot(t(1:plot_length), sig_am_envelope(1:plot_length));xlim([t(1),t(plot_length)]);
xlabel('t/s');ylabel('幅度');title('Hilbert变换计算包络结果');
subplot(2,2,2);
plot(freq, 10*log10(fftshift(abs(fft(sig_am_envelope,nfft)/nfft))+eps));xlim([freq(1),freq(end)]);
xlabel('频率/hz');ylabel('幅度/dB');title('Hilbert变换计算包络结果双边幅度谱');
subplot(2,2,3);
plot(t(1:plot_length), sig_am_demod(1:plot_length));xlim([t(1),t(plot_length)]);
xlabel('t/s');ylabel('幅度');title('(去除直流)解调结果');
subplot(2,2,4);
plot(freq, 10*log10(fftshift(abs(fft(sig_am_demod,nfft)/nfft))+eps));xlim([freq(1),freq(end)]);
xlabel('频率/hz');ylabel('幅度/dB');title('(去除直流)解调结果双边幅度谱');

end

附.11 文件 main_demodAM_example4.m

clc;
clear;
close all;
% AM 解调仿真(调制信号为确知信号,非相干解调,包络检波,Hilbert变换计算包络)
% @author 木三百川

% 调制参数
fm = 2500;              % 调制信号参数
beta = 0.8;             % 调幅深度/调制指数
fc = 20000;             % 载波频率
fs = 8*fc;              % 采样率
total_time = 2;         % 仿真时长,单位:秒

% 采样时间
t = 0:1/fs:total_time-1/fs;

% 调制信号为确知信号
mt = sin(2*pi*fm*t)+cos(pi*fm*t);

% AM 调制
[ sig_am_send ] = mod_am(fc, beta, fs, mt, t);

% 加噪声
snr = 50;               % 信噪比
sig_am_receive = awgn(sig_am_send, snr, 'measured');

% 非相干解调
[ sig_am_demod ] = demod_am_method4(sig_am_receive, fs, t);

% 绘图
nfft = length(sig_am_receive);
freq = (-nfft/2:nfft/2-1).'*(fs/nfft);
figure;set(gcf,'color','w');
plot_length = min(500, length(sig_am_receive));
subplot(1,2,1);
plot(t(1:plot_length), sig_am_receive(1:plot_length));xlim([t(1),t(plot_length)]);
xlabel('t/s');ylabel('幅度');title('AM接收信号');
subplot(1,2,2);
plot(freq, 10*log10(fftshift(abs(fft(sig_am_receive,nfft)/nfft))+eps));xlim([freq(1),freq(end)]);
xlabel('频率/hz');ylabel('幅度/dB');title('AM接收信号双边幅度谱');

figure;set(gcf,'color','w');
plot(t(1:plot_length), mt(1:plot_length));xlim([t(1),t(plot_length)]);
hold on;
plot(t(1:plot_length), sig_am_demod(1:plot_length));xlim([t(1),t(plot_length)]);
xlabel('t/s');ylabel('幅度');title('解调效果');
legend('调制信号','解调信号');

coef = mean(abs(mt))/mean(abs(sig_am_demod));
fprintf('norm(调制信号 - %.2f * 解调信号)/norm(调制信号) = %.4f.\n', coef, norm(mt-coef*sig_am_demod)/norm(mt));

附.12 文件 main_CommAM_example.m

clc;
clear;
close all;
% AM 调制解调仿真(使用Communications Toolbox工具箱)
% @author 木三百川

% 调制参数
fm = 2500;              % 调制信号参数
beta = 0.8;             % 调幅深度/调制指数
fc = 20000;             % 载波频率
fs = 8*fc;              % 采样率
total_time = 2;         % 仿真时长,单位:秒

% 采样时间
t = 0:1/fs:total_time-1/fs;

% 调制信号为确知信号
mt = sin(2*pi*fm*t)+cos(pi*fm*t);

% AM 调制
A0 = max(abs(mt))/beta;
ini_phase = 0;
sig_am_send = ammod(mt, fc, fs, ini_phase, A0);

% 加噪声
snr = 50;               % 信噪比
sig_am_receive = awgn(sig_am_send, snr, 'measured');

% AM 解调
[ sig_am_demod ] = amdemod(sig_am_receive, fc, fs, ini_phase, A0);

% 绘图
nfft = length(sig_am_receive);
freq = (-nfft/2:nfft/2-1).'*(fs/nfft);
figure;set(gcf,'color','w');
plot_length = min(500, length(sig_am_receive));
subplot(1,2,1);
plot(t(1:plot_length), sig_am_receive(1:plot_length));xlim([t(1),t(plot_length)]);
xlabel('t/s');ylabel('幅度');title('AM接收信号');
subplot(1,2,2);
plot(freq, 10*log10(fftshift(abs(fft(sig_am_receive,nfft)/nfft))+eps));xlim([freq(1),freq(end)]);
xlabel('频率/hz');ylabel('幅度/dB');title('AM接收信号双边幅度谱');

figure;set(gcf,'color','w');
plot(t(1:plot_length), mt(1:plot_length));xlim([t(1),t(plot_length)]);
hold on;
plot(t(1:plot_length), sig_am_demod(1:plot_length));xlim([t(1),t(plot_length)]);
xlabel('t/s');ylabel('幅度');title('解调效果');
legend('调制信号','解调信号');

coef = mean(abs(mt))/mean(abs(sig_am_demod));
fprintf('norm(调制信号 - %.2f * 解调信号)/norm(调制信号) = %.4f.\n', coef, norm(mt-coef*sig_am_demod)/norm(mt));