第四章 网络层

95 阅读1分钟

网络层概述

  • 网络层的主要任务是实现网络互连,进而实现数据包在网络之间的传输
  • 要实现网络层任务,需要解决以下主要问题:
    • 网络层向运输层提供怎样的服务 (“可靠传输”还是“不可靠传输”)
    • 网络层寻址问题
    • 路由选择问题 image.png

image.png

网络层提供的两种服务

  • 面向连接的虚电路服务 image.png

  • 无连接的数据报服务 image.png

image.png

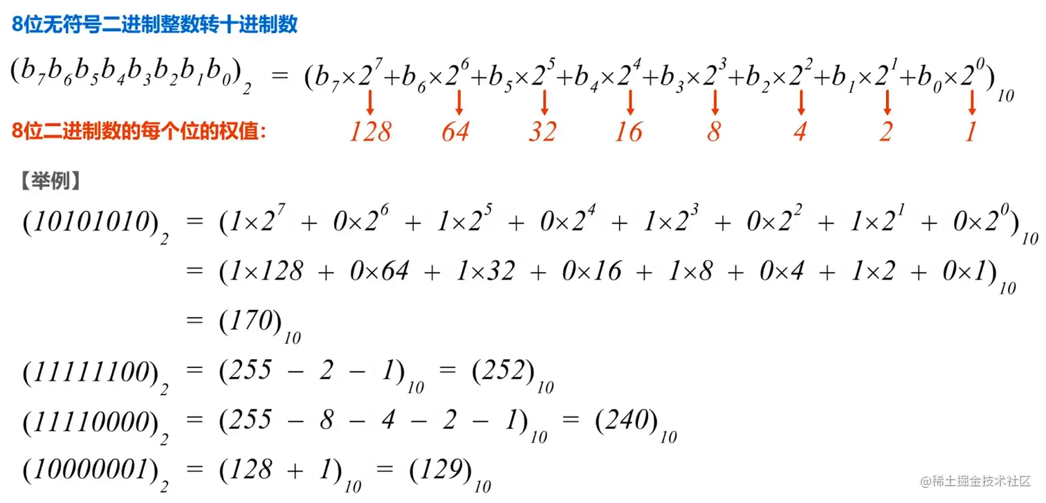
IPv4地址概述

  • 在TCP/IP体系中,IP地址是一个最基本的概念,我们必须把它弄清楚。
  • IPv4地址就是给因特网(lnternet) 上的每一台主机(或路由器)的每一个接口分配一个在全世界范围内是唯一的32比特的标识符
  • IP地址由因特网名字和数字分配机构ICANN(Intemet Corporation for Assigned Names and Numbers)进行分配。
    • 我国用户可向亚太网络信息中心APNIC(Asia Pacific Network lnformation Center)申请IP地址,需要缴费。
    • 2011年2月3日,互联网号码分配管理局IANA (由ICANN行使职能)宣布,IPv4地址已经分配完毕。
    • 我国在2014至2015年也逐步停止了向新用户和应用分配IPv4地址。同时全面开展商用部署IPv6。

image.png

image.png

image.png

image.png

分类编址的IPv 4地址

image.png image.png image.png image.png image.png image.png

划分子网的IPv4地址

image.png