手把手教学小型金融知识图谱构建:量化分析、图数据库neo4j、图算法、关系预测、命名实体识别、Cypher Cheetsheet详细教学等

745 阅读14分钟

手把手教学小型金融知识图谱构建:量化分析、图数据库neo4j、图算法、关系预测、命名实体识别、Cypher Cheetsheet详细教学等

效果预览:

1. 知识图谱存储方式

知识图谱存储方式主要包含资源描述框架(Resource Description Framework,RDF)和图数据库(Graph Database)。

1.1 资源描述框架特性

  • 存储为三元组(Triple)
  • 标准的推理引擎
  • W3C标准
  • 易于发布数据
  • 多数为学术界场景

1.2 图数据库特性

  • 节点和关系均可以包含属性
  • 没有标准的推理引擎
  • 图的遍历效率高
  • 事务管理
  • 多数为工业界场景

码源链接见文末跳转

文末链接跳转

2. 图数据库neo4j

neo4j是一款NoSQL图数据库,具备高性能的读写可扩展性,基于高效的图形查询语言Cypher,更多介绍可访问neo4j官网,官网还提供了Online Sandbox实现快速上手体验。

2.1 软件下载

下载链接:neo4j.com/download-ce…

2.2 启动登录

2.2.1 Windows

  • 进入neo4j目录
cd neo4j/bin
./neo4j start
  • 启动成功,终端出现如下提示即为启动成功
Starting Neo4j.Started neo4j (pid 30914). It is available at http://localhost:7474/ There may be a short delay until the server is ready.

(1)访问页面:http://localhost:7474

(2)初始账户和密码均为neo4jhost类型选择bolt

(3)输入旧密码并输入新密码:启动前注意本地已安装jdk(建议安装jdk version 11):www.oracle.com/java/techno…

2.2.2 MacOS

执行 Add Local DBMS 后,再打开 Neo4j Browser即可

2.3 储备知识

在 neo4j 上执行 CRUD 时需要使用 Cypher 查询语言。

2.4 Windows安装时可能遇到问题及解决方法

  • 问题:完成安装JDK1.8.0_261后,在启动neo4j过程中出现了以下问题:
Unable to find any JVMs matching version "11"
  • 解决方案:提示安装jdk 11 version,于是下载了jdk-11.0.8Mac OS可通过ls -la /Library/Java/JavaVirtualMachines/查看已安装的jdk及版本信息。

3. 知识图谱数据准备

3.1 免费开源金融数据接口

Tushare免费账号可能无法拉取数据,可参考issues提供的股票数据获取方法:

3.1.1 Tushare

官网链接:www.tushare.org/

3.1.2 JointQuant

官网链接:www.joinquant.com/

3.1.3 导入模块

import tushare as ts  # 参考Tushare官网提供的安装方式
import csv
import time
import pandas as pd
# 以下pro_api token可能已过期,可自行前往申请或者使用免费版本
pro = ts.pro_api('4340a981b3102106757287c11833fc14e310c4bacf8275f067c9b82d')

3.2 数据预处理

3.2.1 股票基本信息

stock_basic = pro.stock_basic(list_status='L', fields='ts_code, symbol, name, industry')
# 重命名行,便于后面导入neo4j
basic_rename = {'ts_code': 'TS代码', 'symbol': '股票代码', 'name': '股票名称', 'industry': '行业'}
stock_basic.rename(columns=basic_rename, inplace=True)
# 保存为stock_basic.csv
stock_basic.to_csv('financial_data\\stock_basic.csv', encoding='gbk')

3.2.2 股票持有股东信息

holders = pd.DataFrame(columns=('ts_code', 'ann_date', 'end_date', 'holder_name', 'hold_amount', 'hold_ratio'))
# 获取一年内所有上市股票股东信息(可以获取一个报告期的)
for i in range(3610):
   code = stock_basic['TS代码'].values[i]
   holders = pro.top10_holders(ts_code=code, start_date='20180101', end_date='20181231')
   holders = holders.append(holders)
   if i % 600 == 0:
       print(i)
   time.sleep(0.4)# 数据接口限制
# 保存为stock_holders.csv
holders.to_csv('financial_data\\stock_holders.csv', encoding='gbk')
holders = pro.holders(ts_code='000001.SZ', start_date='20180101', end_date='20181231')

3.2.3 股票概念信息

concept_details = pd.DataFrame(columns=('id', 'concept_name', 'ts_code', 'name'))
for i in range(358):
   id = 'TS' + str(i)
   concept_detail = pro.concept_detail(id=id)
   concept_details = concept_details.append(concept_detail)
   time.sleep(0.4)
# 保存为concept_detail.csv
concept_details.to_csv('financial_data\\stock_concept.csv', encoding='gbk')

3.2.4 股票公告信息

for i in range(3610):
   code = stock_basic['TS代码'].values[i]
   notices = pro.anns(ts_code=code, start_date='20180101', end_date='20181231', year='2018')
   notices.to_csv("financial_data\\notices\\"+str(code)+".csv",encoding='utf_8_sig',index=False)
notices = pro.anns(ts_code='000001.SZ', start_date='20180101', end_date='20181231', year='2018')

3.2.5 财经新闻信息

news = pro.news(src='sina', start_date='20180101', end_date='20181231')
news.to_csv("financial_data\\news.csv",encoding='utf_8_sig')

3.2.6 概念信息

concept = pro.concept()
concept.to_csv('financial_data\\concept.csv', encoding='gbk')

3.2.7 沪股通和深股通成分信息

#获取沪股通成分
sh = pro.hs_const(hs_type='SH')
sh.to_csv("financial_data\\sh.csv",index=False)
#获取深股通成分
sz = pro.hs_const(hs_type='SZ')
sz.to_csv("financial_data\\sz.csv",index=False)

3.2.8 股票价格信息

for i in range(3610):
   code = stock_basic['TS代码'].values[i]
   price = pro.query('daily', ts_code=code, start_date='20180101', end_date='20181231')
   price.to_csv("financial_data\\price\\"+str(code)+".csv",index=False)

3.2.9 使用免费接口获取股票数据

import tushare as ts
# 基本面信息
df = ts.get_stock_basics()
# 公告信息
ts.get_notices("000001")
# 新浪股吧
ts.guba_sina()
# 历史价格数据
ts.get_hist_data("000001")
# 历史价格数据(周粒度)
ts.get_hist_data("000001",ktype="w")
# 历史价格数据(1分钟粒度)
ts.get_hist_data("000001",ktype="m")
# 历史价格数据(5分钟粒度)
ts.get_hist_data("000001",ktype="5")
# 指数数据(sh上证指数;sz深圳成指;hs300沪深300;sz50上证50;zxb中小板指数;cyb创业板指数)
ts.get_hist_data("cyb")
# 宏观数据(居民消费指数)
ts.get_cpi()
# 获取分笔数据
ts.get_tick_data('000001', date='2018-10-08', src='tt')

3.3 数据预处理

3.3.1 统计股票的交易日量众数

import numpy as np

yaxis = list()
for i in listdir:
    stock = pd.read_csv("financial_data\\price_logreturn\\"+i)
    yaxis.append(len(stock['logreturn']))
counts = np.bincount(yaxis)

np.argmax(counts)

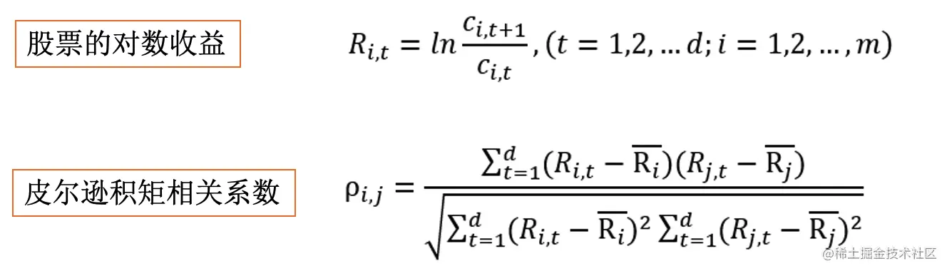
3.3.2 计算股票对数收益

股票对数收益及皮尔逊相关系数的计算公式:

import pandas as pd
import numpy as np
import os
import math

listdir = os.listdir("financial_data\\price")

for l in listdir:
   stock = pd.read_csv('financial_data\\price\\'+l)
   stock['index'] = [1]* len(stock['close'])
   stock['next_close'] = stock.groupby('index')['close'].shift(-1)
   stock = stock.drop(index=stock.index[-1])
   logreturn = list()
   for i in stock.index:
       logreturn.append(math.log(stock['next_close'][i]/stock['close'][i]))
   stock['logreturn'] = logreturn
   stock.to_csv("financial_data\\price_logreturn\\"+l,index=False)

3.3.3 股票间对数收益率相关系数

from math import sqrt
def multipl(a,b):
   sumofab=0.0
   for i in range(len(a)):
       temp=a[i]*b[i]
       sumofab+=temp
   return sumofab

def corrcoef(x,y):
   n=len(x)
   #求和
   sum1=sum(x)
   sum2=sum(y)
   #求乘积之和
   sumofxy=multipl(x,y)
   #求平方和
   sumofx2 = sum([pow(i,2) for i in x])
   sumofy2 = sum([pow(j,2) for j in y])
   num=sumofxy-(float(sum1)*float(sum2)/n)
   #计算皮尔逊相关系数
   den=sqrt((sumofx2-float(sum1**2)/n)*(sumofy2-float(sum2**2)/n))
   return num/den

由于原始数据达百万条,为节省计算量仅选取前300个股票进行关联性分析

listdir = os.listdir("financial_data\\300stock_logreturn")
s1 = list()
s2 = list()
corr = list()
for i in listdir:
   for j in listdir:
       stocka = pd.read_csv("financial_data\\300stock_logreturn\\"+i)
       stockb = pd.read_csv("financial_data\\300stock_logreturn\\"+j)
       if len(stocka['logreturn']) == 242 and len(stockb['logreturn']) == 242:
           s1.append(str(i)[:10])
           s2.append(str(j)[:10])
           corr.append(corrcoef(stocka['logreturn'],stockb['logreturn']))
           print(str(i)[:10],str(j)[:10],corrcoef(stocka['logreturn'],stockb['logreturn']))
corrdf = pd.DataFrame()
corrdf['s1'] = s1
corrdf['s2'] = s2
corrdf['corr'] = corr
corrdf.to_csv("financial_data\\corr.csv")

4 搭建金融知识图谱

安装第三方库

pip install py2neo

4.1 基于python连接

具体代码可参考3.1 python操作neo4j-连接

from pandas import DataFrame
from py2neo import Graph,Node,Relationship,NodeMatcher
import pandas as pd
import numpy as np
import os
# 连接Neo4j数据库
graph = Graph('http://localhost:7474/db/data/',username='neo4j',password='neo4j')

4.2 读取数据

stock = pd.read_csv('stock_basic.csv',encoding="gbk")
holder = pd.read_csv('holders.csv')
concept_num = pd.read_csv('concept.csv')
concept = pd.read_csv('stock_concept.csv')
sh = pd.read_csv('sh.csv')
sz = pd.read_csv('sz.csv')
corr = pd.read_csv('corr.csv')

4.3 填充和去重

stock['行业'] = stock['行业'].fillna('未知')
holder = holder.drop_duplicates(subset=None, keep='first', inplace=False)

4.4 创建实体

概念、股票、股东、股通

sz = Node('深股通',名字='深股通')
graph.create(sz)  

sh = Node('沪股通',名字='沪股通')
graph.create(sh)  

for i in concept_num.values:
   a = Node('概念',概念代码=i[1],概念名称=i[2])
   print('概念代码:'+str(i[1]),'概念名称:'+str(i[2]))
   graph.create(a)

for i in stock.values:
   a = Node('股票',TS代码=i[1],股票名称=i[3],行业=i[4])
   print('TS代码:'+str(i[1]),'股票名称:'+str(i[3]),'行业:'+str(i[4]))
   graph.create(a)

for i in holder.values:
   a = Node('股东',TS代码=i[0],股东名称=i[1],持股数量=i[2],持股比例=i[3])
   print('TS代码:'+str(i[0]),'股东名称:'+str(i[1]),'持股数量:'+str(i[2]))
   graph.create(a)

4.5 创建关系

股票-股东、股票-概念、股票-公告、股票-股通

matcher = NodeMatcher(graph)
for i in holder.values:    
   a = matcher.match("股票",TS代码=i[0]).first()
   b = matcher.match("股东",TS代码=i[0])
   for j in b:
       r = Relationship(j,'参股',a)
       graph.create(r)
       print('TS',str(i[0]))
           
for i in concept.values:
   a = matcher.match("股票",TS代码=i[3]).first()
   b = matcher.match("概念",概念代码=i[1]).first()
   if a == None or b == None:
       continue
   r = Relationship(a,'概念属于',b)
   graph.create(r)

noticesdir = os.listdir("notices\\")
for n in noticesdir:
   notice = pd.read_csv("notices\\"+n,encoding="utf_8_sig")
   notice['content'] = notice['content'].fillna('空白')
   for i in notice.values:
       a = matcher.match("股票",TS代码=i[0]).first()
       b = Node('公告',日期=i[1],标题=i[2],内容=i[3])
       graph.create(b)
       r = Relationship(a,'发布公告',b)
       graph.create(r)
       print(str(i[0]))
       
for i in sz.values:
   a = matcher.match("股票",TS代码=i[0]).first()
   b = matcher.match("深股通").first()
   r = Relationship(a,'成分股属于',b)
   graph.create(r)
   print('TS代码:'+str(i[1]),'--深股通')

for i in sh.values:
   a = matcher.match("股票",TS代码=i[0]).first()
   b = matcher.match("沪股通").first()
   r = Relationship(a,'成分股属于',b)
   graph.create(r)
   print('TS代码:'+str(i[1]),'--沪股通')

# 构建股票间关联
corr = pd.read_csv("corr.csv")
for i in corr.values:
   a = matcher.match("股票",TS代码=i[1][:-1]).first()
   b = matcher.match("股票",TS代码=i[2][:-1]).first()
   r = Relationship(a,str(i[3]),b)
   graph.create(r)
   print(i)

5 数据可视化查询

基于Crypher语言,以平安银行为例进行可视化查询。

5.1 查看所有关联实体

match p=(m)-[]->(n) where m.股票名称="平安银行" or n.股票名称="平安银行" return p;

5.2 限制显示数量

计算股票间对数收益率的相关系数后,查看与平安银行股票相关联的实体

match p=(m)-[]->(n) where m.股票名称="平安银行" or n.股票名称="平安银行" return p limit 300;

5.3 指定股票间对数收益率相关系数

match p=(m)-[]->(n) where m.股票名称="平安银行" and n.股票名称="万科A" return p;

6 neo4j 图算法

6.1.中心度算法(Centralities)

6.2 社区检测算法(Community detection)

6.3 路径搜索算法(Path finding)

6.4 相似性算法(Similarity)

6.5 链接预测(Link Prediction)

6.6 预处理算法(Preprocessing)

6.7 算法库安装及导入方法

以Windows OS为例,neo4j的算法库并非在安装包中提供,而需要下载算法包:

(1)下载graph-algorithms-algo-3.5.4.0.jar

(2)将graph-algorithms-algo-3.5.4.0.jar移动至neo4j数据库根目录下的plugin

(3)修改neo4j数据库目录的confneo4j.conf,添加以下配置

dbms.security.procedures.unrestricted=algo.*

(4)使用以下命令查看所有算法列表

CALL algo.list()

6.8 算法实践——链路预测

6.8.1 Aaamic Adar algorithm

主要基于判断相邻的两个节点之间的亲密程度作为评判标准,2003年由Lada Adamic 和 Eytan Adar在 Friends and neighbors on the Web 提出,其中节点亲密度的计算公式如下:

其中N(u)表示与节点u相邻的节点集合,若A(x,y)表示节点x和节点y不相邻,而该值若越大则紧密度为高。

AAA 算法 cypher 代码参考:

MERGE (zhen:Person {name: "Zhen"})
MERGE (praveena:Person {name: "Praveena"})
MERGE (michael:Person {name: "Michael"})
MERGE (arya:Person {name: "Arya"})
MERGE (karin:Person {name: "Karin"})

MERGE (zhen)-[:FRIENDS]-(arya)
MERGE (zhen)-[:FRIENDS]-(praveena)
MERGE (praveena)-[:WORKS_WITH]-(karin)
MERGE (praveena)-[:FRIENDS]-(michael)
MERGE (michael)-[:WORKS_WITH]-(karin)
MERGE (arya)-[:FRIENDS]-(karin)

// 计算 Michael 和 Karin 之间的亲密度
MATCH (p1:Person {name: 'Michael'})
MATCH (p2:Person {name: 'Karin'})
RETURN algo.linkprediction.adamicAdar(p1, p2) AS score
// score: 0.910349

// 基于好友关系计算 Michael 和 Karin 之间的亲密度
MATCH (p1:Person {name: 'Michael'})
MATCH (p2:Person {name: 'Karin'})
RETURN algo.linkprediction.adamicAdar(p1, p2, {relationshipQuery: "FRIENDS"}) AS score
// score: 0.0                                                

6.8.2 Common Neighbors

基于节点之间共同近邻数量计算,计算公式如下:

其中N(x)表示与节点x相邻的节点集合,共同近邻表示两个集合的交集,若CN(x,y)值越高,表示节点x和节点y的亲密度越高。

Common Neighbors算法 cypher 代码参考:

MATCH (p1:Person {name: 'Michael'})
MATCH (p2:Person {name: 'Karin'})
RETURN algo.linkprediction.commonNeighbors(p1, p2) AS score

6.8.3 Resource Allocation

资源分配算法,计算公式如下:

其中N(u)是与节点u相邻的节点集合,RA(x,y)越高表明节点x和节点y的亲密度越大。

Resource Allocation算法 cypher 代码参考:

MATCH (p1:Person {name: 'Michael'})
MATCH (p2:Person {name: 'Karin'})
RETURN algo.linkprediction.resourceAllocation(p1, p2) AS score

6.8.4 Total Neighbors

指的是相邻节点之间的邻居总数,计算公式如下:

其中N(u)是与节点u相邻的节点集合。

Total Neighbors算法 cypher 代码参考:

MATCH (p1:Person {name: 'Michael'})
MATCH (p2:Person {name: 'Karin'})
RETURN algo.linkprediction.totalNeighbors(p1, p2) AS score

官网文档>链路算法>介绍:neo4j.com/docs/graph-…

7.Cypher Cheetsheet基础语法

7.1 创建节点

类型为Person(属性:姓名、年龄及性别)

create (:Person{name:"Tom",age:18,sex:"male"})
create (:Person{name:"Jimmy",age:20,sex:"male"})

7.2 创建关系

寻找2个Person类型节点分别姓名为Tom和Jimmy,创建两节点之间的关系:类型为Friend,关系值为best

match(p1:Person),(p2:Person)
where p1.name="Tom" and p2.name = "Jimmy"
create(p1) -[:Friend{relation:"best"}] ->(p2);

7.3 创建索引

create index on :Person(name)
// 创建唯一索引(属性值唯一)
create constraint on (n:Person) assert n.name is unique

7.4 删除节点

// 普通删除
match(p:Person_{name:"Jiimmy"}) delete p
match (a)-[r:knows]->(b) delete r,b
// 级联删除(即删除某个节点时会同时删除该节点的关系)
match (n{name: "Mary"}) detach delete n
// 删除所有节点
match (m) delete m

7.5 删除关系

// 普通删除
match(p1:Person)-[r:Friend]-(p2:Person)
where p1.name="Jimmy" and p2.name="Tom"
delete r
// 删除所有关系
match p=()-[]-() delete p

7.6 merge关键字

存在直接返回;不存在则新建并返回(通常实际用途于在对节点添加属性时避免报错)

// 创建/获取对象
merge (p:Person { name: "Jim1" }) return p;

// 创建/获取对象 + 设置属性值 + 返回属性值
merge (p:Person { name: "Koko" })
on create set p.time = timestamp()
return p.name, p.time

// 创建关系
match (a:Person {name: "Jim"}),(b:Person {name: "Tom"})
merge (a)-[r:friends]->(b)

7.7 更新节点

7.7.1 更新属性值

match (n {name:'Jim'})
set n.name='Tom'
set n.age=20
return n

7.7.2 新增属性和属性值

match (n {name:'Mary'}) set n += {age:20} return n

7.7.3 删除属性值

match(n{name:'Tom'}) remove n.age return n

7.7.4 更新节点类型(允许有多个标签)

①match (n{name:'Jim'}) set n:Person return n
②match (n{name:'Jim'}) set n:Person:Student return n

7.8 匹配

7.8.1 限制节点类型和属性匹配

match (n:Person{name:"Jim"}) return n
match (n) where n.name = "Jim" return n
match (n:Person)-[:Realation]->(m:Person) where n.name = 'Mary'

7.8.2 可选匹配(对于缺失部分使用Null代替)

optional match (n)-[r]->(m) return m

7.8.3 字符串开头匹配

match (n) where n.name starts with 'J' return n

7.8.4 字符串结尾匹配

match (n) where n.name ends with 'J' return n

7.8.5 字符串包含匹配

match (n) where n.name contains with 'g' return n

7.8.6 字符串排除匹配

match (n) where not n.name starts with 'J' return n

7.8.7 正则匹配 =~(模糊匹配)

match (n) where n.name =~ '.*J.*' return n (等价) like '%J%'

7.8.8 正则匹配 =~(不区分大小写)

match (n) where n.name =~ '(?i)b.*' return n (等价) like 'B/b%'

7.8.9 属性值包含(IN)

match (n { name: 'Jim' }),(m) where m.name in ['Tom', 'Koo'] and (n)<--(m) return m

7.8.10 "或"匹配(|)

match p=(n)-[:knows|:likes]->(m) return p

7.8.11 任意节点和指定范围深度关系

match p=(n)-[*1..3]->(m) return p

7.8.12 任意节点和指任意深度关系

match p=(n)-[*]->(m) return p

7.8.13 去重返回

match (n) where n.ptype='book' return distinct n

7.8.14 排序返回(desc降序;asc升序)

match (n) where n.ptype='book' return n order by n.price desc

7.8.15 重命名返回

match (n) where n.ptype='book' return n.pname as name

7.8.16 多重条件限制(with),即返回认识10人以上的张%

match (a)-[:knows]-(b)
where a.name =~ '张.*'
with a, count(b) as friends
where friends > 10
return a

7.8.17 并集去重(union)

match (a)-[:knows]->(b) return b.name
union
match (a)-[:likes]->(b) eturn b.name

7.8.18 并集不去重(union all)

match (a)-[:knows]->(b) return b.name
union all
match (a)-[:likes]->(b) eturn b.name

7.8.19 查看节点属性/ID

match (p) where p.name = 'Jim' 
return keys(p)/properties(p)/id(p)

7.8.20 匹配分页返回

match (n) where n.name='John' return n skip 10 limit 10

7.9 读取文件

7.9.1 读取网络资源csv文件

load csv with header from 'url:[www.download.com/abc.csv](http://www.download.com/abc.csv)' as line

create (:Track{trackId:line.id,name:line.name,length:line.length})

7.9.2 分批读取网络资源

例如 csv文件(default=1000)

using periodic commit (800)

load csv with header from 'url:[www.download.com/abc.csv](http://www.download.com/abc.csv)' as line

create (:Track{trackId:line.id,name:line.name,length:line.length})

7.9.3 读取本地文件

load csv with headers from 'file:///00000.csv' as line
create (:Data{date:line['date'],open:line['open']})
(fieldterminator ';') //自定义分隔符

7.9.4 注意事项

※ 本地csv文件必须是utf-8格式
※ 需要导入neo4j数据库目录的import目录下
※ 本地csv包含column必须添加with headers

7.10 foreach关键字


  • 个人小结

1.节点属性使用() 2.关系属性使用[] 3.where中使用"=" 4.{}中使用":" 5.关系建立使用(m)-[:r]->(n) 6.正则使用"=~" 7.节点或者关系(/[变量名:类型{属性名:属性值}]/) 8.匹配关系时需要基于p=(m)-[r]->(n)返回p,而不是返回r(显示空)

码源链接见文末跳转

文末链接跳转

更多优质内容请关注公号&知乎:汀丶人工智能;会提供一些相关的资源和优质文章,免费获取阅读。