R语言时间序列TAR阈值自回归模型|附代码数据

188 阅读4分钟

原文链接:tecdat.cn/?p=5231

最近我们被客户要求撰写关于时间序列TAR阈值自回归的研究报告,包括一些图形和统计输出。

为了方便起见,这些模型通常简称为TAR模型

这些模型捕获了线性时间序列模型无法捕获的行为,例如周期,幅度相关的频率和跳跃现象。Tong和Lim(1980)使用阈值模型表明,该模型能够发现黑子数据出现的不对称周期性行为。

一阶TAR模型的示例:

图片

σ是噪声标准偏差,Yt-1是阈值变量,r是阈值参数, {et}是具有零均值和单位方差的iid随机变量序列。

每个线性子模型都称为一个机制。上面是两个机制的模型。

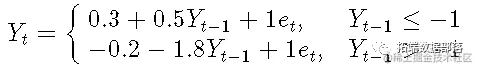
考虑以下简单的一阶TAR模型:

图片

#低机制参数


i1 = 0.3
p1 = 0.5
s1 = 1

#高机制参数


i2 = -0.2
p2 = -1.8
s2 = 1

thresh = -1
delay = 1

#模拟数据
y=sim(n=100,Phi1=c(i1,p1),Phi2=c(i2,p2),p=1,d=delay,sigma1=s1,thd=thresh,sigma2=s2)$y

#绘制数据


plot(y=y,x=1:length(y),type='o',xlab='t',ylab=expression(Y[t])
abline(thresh,0,col="red")

图片


点击标题查阅往期内容

图片

R语言时间序列TAR阈值模型分析

图片

左右滑动查看更多

图片

01

图片

02

图片

03

图片

04

图片

TAR模型_框架_是原始TAR模型的修改版本。它是通过抑制噪声项和截距并将阈值设置为0来获得的:

图片

_框架_的稳定性以及某些规律性条件意味着TAR的平稳性。稳定性可以理解为,对于任何初始值Y1,_框架_都是有界过程。

在[164]中:

#使用不同的起点检查稳定性
startvals = c(-2, -1.1,-0.50.81.23.4)

count = 1
for (s in startvals) {
    ysk[1
        } else {
            ysk[i] = -1.8*ysk[i-1]
        }
    
    count = count + 1
}

#绘制不同实现
matplot(t(x),type="l"
abline(0,0)

图片

Chan和Tong(1985)证明,如果满足以下条件,则一阶TAR模型是平稳的

图片

一般的两机制模型写为:

图片

在这种情况下,稳定性更加复杂。然而,Chan and Tong(1985)证明,如果

图片

模型估计

一种方法以及此处讨论的方法是条件最小二乘(CLS)方法。

为简单起见,除了假设p1 = p2 = p,1≤d≤p,还假设σ1=σ2=σ。然后可以将TAR模型方便地写为

图片

如果Yt-d> r,则I(Yt-d> r)= 1,否则为0。CLS最小化条件残差平方和:

图片

在这种情况下,可以根据是否Yt-d≤r将数据分为两部分,然后执行OLS估计每个线性子模型的参数。

如果r未知。

在r值范围内进行搜索,该值必须在时间序列的最小值和最大值之间,以确保该序列实际上超过阈值。然后从搜索中排除最高和最低10%的值

  1. 在此受限频带内,针对不同的r = yt值估算TAR模型。
  2. 选择r的值,使对应的回归模型的残差平方和最小。
#找到分位数
lq = quantile(y,0.10)
uq = quantile(y,0.90)

#绘制数据
plot(y=y,x=1:length(y),type='o',xlab='t'abline(lq,0,col="blue")
abline(uq,0,col="blue")

图片

#模型估计数


sum( (lq <= y ) & (y <= uq) )

80

如果d未知。

令d取值为1,2,3,...,p。为每个d的潜在值估算TAR模型,然后选择残差平方和最小的模型。

Chan(1993)已证明,CLS方法是一致的。

最小AIC(MAIC)方法

由于在实践中这两种情况的AR阶数是未知的,因此需要一种允许对它们进行估计的方法。对于TAR模型,对于固定的r和d,AIC变为

图片

然后,通过最小化AIC对象来估计参数,以便在某个时间间隔内搜索阈值参数,以使任何方案都有足够的数据进行估计。

#估算模型
#如果知道阈值

#如果阈值尚不清楚

#MAIC 方法


for (d in 1:3) {
    if (model.tar.s$AIC < AIC.best) {
        AIC.best = model.tar.s$AIC
        model.best$d = d
        model.best$p1 = model.tar.s
ar.s$AIC, signif(model.tar.s$thd,4)

AICM

图片

非线性测试

1.使用滞后回归图进行目测。

绘制Yt与其滞后。拟合的回归曲线不是很直,可能表明存在非线性关系。

在[168]中:

lagplot(y)

图片

2.Keenan检验:

考虑以下由二阶Volterra展开引起的模型:

图片

其中{ϵt} 的iid正态分布为零均值和有限方差。如果η=0,则该模型成为AR(mm)模型。

可以证明,_Keenan_检验等同于回归模型中检验η=0:

图片

其中Yt ^ 是从Yt-1,...,Yt-m上的Yt回归得到的拟合值。

3. Tsay检验:

_Keenan_测试的一种更通用的替代方法。用更复杂的表达式替换为Keenan检验给出的上述模型中的项η(∑mj = 1ϕjYt-j)2。最后对所有非线性项是否均为零的二次回归模型执行F检验。

在[169]中:

#检查非线性: Keenan, Tsay
#Null is an AR model of order 1
Keenan.test(y,1)
$test.stat

90.2589565661567

$p.value

1.76111433596097e-15

$order

1

在[170]中:

Tsay.test(y,1)
$test.stat

71.34

$p.value

3.201e-13

$order

1

4.检验阈值非线性

这是基于似然比的测试。

零假设是AR(pp)模型;另一种假设是具有恒定噪声方差的p阶的两区域TAR模型,即σ1=σ2=σ。使用这些假设,可以将通用模型重写为

图片

零假设表明ϕ2,0 = ϕ2,1 = ... = ϕ2,p = 0。

似然比检验统计量可以证明等于

图片

其中n-p是有效样本大小,σ^ 2(H0)是线性AR(p)拟合的噪声方差的MLE,而σ^ 2(H1)来自TAR的噪声方差与在某个有限间隔内搜索到的阈值的MLE。

H0下似然比检验的采样分布具有非标准采样分布;参见Chan(1991)和Tong(1990)。

在[171]中:

res = tlrt(y, p=1, d=1a=0.15b=0.85)
res
$percentiles

14.1

85.9
$test.statistic

: 142.291963130459

$p.value

: 0

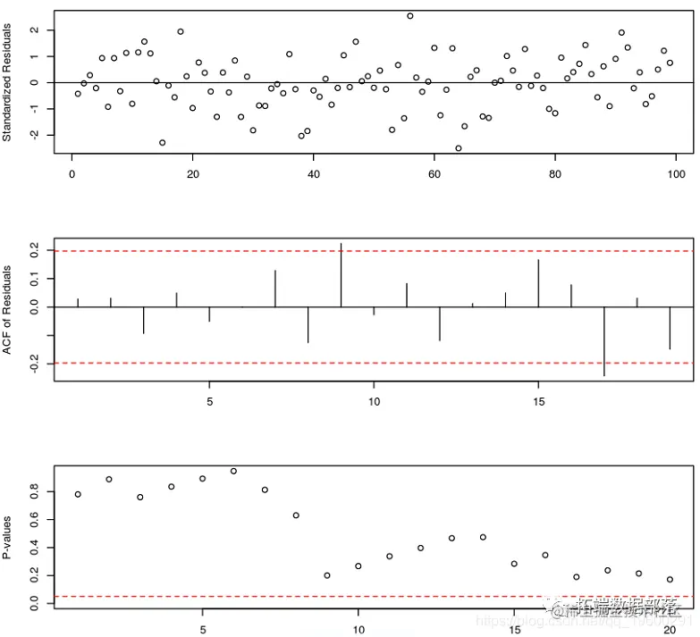
模型诊断

使用残差分析完成模型诊断。TAR模型的残差定义为

图片

标准化残差是通过适当的标准偏差标准化的原始残差:

图片

如果TAR模型是真正的数据机制,则标准化残差图应看起来是随机的。可以通过检查标准化残差的样本ACF来检查标准化误差的独立性假设。

#模型诊断

diag(model.tar.best, gof.lag=20)

图片

预测

预测分布通常是非正态的。通常,采用模拟方法进行预测。考虑模型

图片

然后给定Yt = yt,Yt-1 = yt-1,...

图片

因此,可以通过从误差分布中绘制et + 1并计算h(yt,et + 1),来获得单步预测分布的Yt + 1的实现。。

通过独立重复此过程 B 次,您可以 从向前一步预测分布中随机获得B值样本 。

可以通过这些B 值的样本平均值来估计提前一步的预测平均值 。

通过迭代,可以轻松地将仿真方法扩展为找到任何l步提前预测分布:

图片

其中Yt = yt和et + 1,et + 2,...,et + l是从误差分布得出的ll值的随机样本。

在[173]中:

#预测
model.tar.pred r.best, n.ahead = 10, n.sim=1000)
y.pred = ts(c
lines(ts(model.tar.pred$pred.interval[2,]start=end(y) + c(0,1), freq=1), lty=2)
lines(ts(model

图片

样例

这里模拟的时间序列是1700年至1988年太阳黑子的年数量。

在[174]中:

#数据集
#太阳黑子序列,每年

plot.ts(sunsp

图片

#通过滞后回归图检查非线性
lagplot(sunspo)

图片

#使用假设检验检查线性
Keenan.test(sunspot.year)
Tsay.test(sunspot.year)
$test.stat

18.2840758932705

$p.value

2.64565849317573e-05

$order

9

$test.stat

3.904

$p.value

6.689e-12

$order

9

在[177]中:

#使用MAIC方法
AIC{
    sunspot.tar.s = tar(sunspot.year, p1 = 9, p2 = 9, d = d, a=0.15, b=0.85)
    
AICM

图片

在[178]中:

#测试阈值非线性
tl(sunspot.yearp=9, d=9a=0.15b=0.85)
$percentiles

15

85
$test.statistic

: 52.2571950943405

$p.value

: 6.8337179274236e-06
#模型诊断
tsdiag(sunspot.tar.best)

图片

#预测
sunspot.tar.pred <- predict(sunspot.tar.best, n.ahead = 10, n.sim=1000)

lines(ts(sunspot.tar.pred$pretart=e

图片

#拟合线性AR模型
#pacf(sunspot.year)
#尝试AR阶数9
ord = 9
ar.mod <- arima(sunspot.year, order=c(ord,0,0), method="CSS-ML")

plot.ts(sunspot.year[10:289]

图片

模拟TAR模型上的AR性能

示例1. 将AR(4)拟合到TAR模型

图片

set.seed(12349)
#低机制参数
i1 = 0.3
p1 = 0.5
s1 = 1

#高机制参数
i2 = -0.2
p2 = -1.8
s2 = 1

thresh = -1
delay = 1

nobs = 200
#模拟200个样本
y=sim(n=nobs,Phi1=c(i1,p1),Phi$y

#使用Tsay的检验确定最佳AR阶数
ord <- Tsay.test(y)$order

#线性AR模型
#pacf(sunspot.year)
#try AR order 4

图片

例子2. 将AR(4)拟合到TAR模型

图片

图片

例子3. 将AR(3)拟合到TAR模型

图片

图片

例子3. 将AR(7)拟合到TAR模型

图片

图片

参考文献

恩德斯(W. Enders),2010年。应用计量经济学时间序列


图片

点击文末 “阅读原文”

获取全文完整资料。

本文选自《R语言时间序列TAR阈值自回归模型》。

图片

图片

点击标题查阅往期内容

向量自回归VAR数学原理及R软件经济数据脉冲响应分析实例
【视频】向量自回归VAR数学原理及R软件经济数据脉冲响应分析实例
向量自回归VAR的迭代多元预测估计 GDP 增长率时间序列|数据分享
分位数自回归QAR分析痛苦指数:失业率与通货膨胀率时间序列|数据分享
时变马尔可夫区制转换MRS自回归模型分析经济时间序列
向量自回归(VAR)模型分析消费者价格指数 (CPI) 和失业率时间序列
Matlab创建向量自回归(VAR)模型分析消费者价格指数 (CPI) 和失业率时间序列
Stata广义矩量法GMM面板向量自回归 VAR模型选择、估计、Granger因果检验分析投资、收入和消费数据
R语言时变向量自回归(TV-VAR)模型分析时间序列和可视化
R语言用向量自回归(VAR)进行经济数据脉冲响应研究分析
R语言arima,向量自回归(VAR),周期自回归(PAR)模型分析温度时间序列
R语言VAR模型的不同类型的脉冲响应分析
R语言随机搜索变量选择SSVS估计贝叶斯向量自回归(BVAR)模型
R语言时变参数VAR随机模型
R语言估计时变VAR模型时间序列的实证研究分析案例
R语言向量自回归模型(VAR)及其实现
R语言实现向量自回归VAR模型
R语言估计时变VAR模型时间序列的实证研究分析案例
Python和R用EWMA,ARIMA模型预测时间序列
R语言用LASSO,adaptive LASSO预测通货膨胀时间序列
Python中的ARIMA模型、SARIMA模型和SARIMAX模型对时间序列预测
R语言arima,向量自回归(VAR),周期自回归(PAR)模型分析温度时间序列
【视频】Python和R语言使用指数加权平均(EWMA),ARIMA自回归移动平均模型预测时间序列