【视频】决策树模型原理和R语言预测心脏病实例

136 阅读11分钟

全文链接:tecdat.cn/?p=33128

原文出处:拓端数据部落公众号

分析师:Yudong Wan

决策树模型简介

决策树模型是一种非参数的有监督学习方法,它能够从一系列有特征和标签的数据中总结出决策规则,并用树状图的结构来呈现这些规则,以解决分类和回归问题。与传统的线性回归模型不同,决策树回归模型能够捕捉到非线性关系,并生成易于解释的规则。

image.png

决策树模型的实现过程

决策树模型的实现过程主要包括三个步骤:特征选择、树的构建和剪枝。

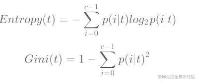
首先,特征选择是为了确定在每个节点上进行分割的最佳特征。常用的特征选择指标有信息增益、基尼指数等。

image.png

其次,树的构建是通过递归地分割数据集来生成决策树。根据某个标准,我们选择一个特征作为划分依据,并将数据集划分为更小的子集。

image.png

image.png

最后,剪枝是为了避免过拟合,提高模型的泛化能力。我们可以通过剪掉一些叶节点来减少决策树的复杂度。

max_features:在划分节点时所考虑的特征值数量的最大值,默认取None,可以传入int型或float型数据。如果是float型数据,表示百分数。max_leaf_nodes:最大叶子节点数,默认取None,可以传入int型数据。

min samples leaf:叶子节点的最少样本数,默认取1,如果小于该数值,该叶子节点会和兄弟节点一起被剪枝(即剔除该叶子节点和其兑弟节点,并停止分裂)。

min_weight_fraction_leaf:叶子节点最小的样本权重和,默认取0,即不考虑权重问题,如果小于该数值,该叶子节点会和兄弟节点一起被剪枝(即剔除该叶子节点和其兄弟节点,并停止分裂)。如果较多样本有缺失值或者样本的分布类别偏差很大,则需考虑样本权重问题。 max_features:在划分节点时所考虑的特征值数量的最大值,默认取None,可以传入int型或float型数据。如果是float型数据,表示百分数。max_leaf_nodes:最大叶子节点数,默认取None,可以传入int型数据。

image.png

image.png

决策树模型的应用场景

应用场景:决策树模型适用于非线性关系较为明显的问题,例如:

1.房屋价格预测:基于一些特征(如地理位置、面积等),预测房屋的价格。

image.png

2.销售量预测:根据产品的特征(如价格、广告费用等),预测销售量。

image.png

决策树模型的优缺点

优点

决策树模型具有以下优点: 首先,它易于理解和解释,生成的决策树可以直观地呈现规 则,让我们能够了解特征对结果的影响。

其次,决策树模型能够处理离散型和连续型的特征,适用于 多种数据类型。

最后,它对异常值和缺失值相对不敏感,能够在存在噪声的 数据集中表现较好。

缺点

然而,决策树模型也有一些缺点需要注意:

首先,在处理复杂问题时,决策树可能过度拟合训练数据,导致泛化能力较差,需要采取剪枝等措施来解决这个问题。

其次,对于特征空间划分较多的数据,决策树可能会产生过于复杂的模型,难以解释和理解。

最后,决策树的训练过程容易受到数据的微小变化影响,可能会产生不稳定的结果。

R语言逻辑回归、Naive Bayes贝叶斯、决策树、随机森林算法预测心脏病

数据集信息:

这个数据集可以追溯到1988年,由四个数据库组成。克利夫兰、匈牙利、瑞士和长滩。"目标 "字段是指病人是否有心脏病。它的数值为整数,0=无病,1=有病。

目标:

主要目的是预测给定的人是否有心脏病,借助于几个因素,如年龄、胆固醇水平、胸痛类型等。

我们在这个问题上使用的算法是:

  • 二元逻辑回归
  • Naive Bayes算法
  • 决策树
  • 随机森林

数据集的描述:

该数据有303个观察值和14个变量。每个观察值都包含关于个人的以下信息。

  • 年龄:- 个人的年龄,以年为单位
  • sex:- 性别(1=男性;0=女性)
  • cp - 胸痛类型(1=典型心绞痛;2=非典型心绞痛;3=非心绞痛;4=无症状)。
  • trestbps--静息血压
  • chol - 血清胆固醇,单位:mg/dl
  • fbs - 空腹血糖水平>120 mg/dl(1=真;0=假)
  • restecg - 静息心电图结果(0=正常;1=有ST-T;2=肥大)
  • thalach - 达到的最大心率
  • exang - 运动诱发的心绞痛(1=是;0=否)
  • oldpeak - 相对于静止状态,运动诱发的ST压低
  • slope - 运动时ST段峰值的斜率(1=上斜;2=平坦;3=下斜)
  • ca - 主要血管的数量(0-4),由Flourosopy着色
  • 地中海贫血症--地中海贫血症是一种遗传性血液疾病,会影响身体产生血红蛋白和红细胞的能力。1=正常;2=固定缺陷;3=可逆转缺陷
  • 目标--预测属性--心脏疾病的诊断(血管造影疾病状态)(值0=<50%直径狭窄;值1=>50%直径狭窄)

在Rstudio中加载数据

heart<-read.csv("heart.csv",header = T)

header = T意味着给定的数据有自己的标题,或者换句话说,第一个观测值也被考虑用于预测。 

head(heart)

当我们想查看和检查数据的前六个观察点时,我们使用head函数。 

tail(heart)

 显示的是我们数据中最后面的六个观察点

colSums(is.na(heart))

这个函数是用来检查我们的数据是否包含任何NA值。
如果没有发现NA,我们就可以继续前进,否则我们就必须在之前删除NA。

检查我们的数据结构

str(heart)

查看我们的数据摘要

summary(heart)

通过观察以上的总结,我们可以说以下几点

  • 性别不是连续变量,因为根据我们的描述,它可以是男性或女性。因此,我们必须将性别这个变量名称从整数转换为因子。
  • cp不能成为连续变量,因为它是胸痛的类型。由于它是胸痛的类型,我们必须将变量cp转换为因子。
  • fbs不能是连续变量或整数,因为它显示血糖水平是否低于120mg/dl。
  • restecg是因子,因为它是心电图结果的类型。它不能是整数。所以,我们要把它转换为因子和标签。
  • 根据数据集的描述,exang应该是因子。心绞痛发生或不发生。因此,将该变量转换为因子。
  • 斜率不能是整数,因为它是在心电图中观察到的斜率类型。因此,我们将变量转换为因子。
  • 根据数据集的描述,ca不是整数。因此,我们要将该变量转换为因子。
  • thal不是整数,因为它是地中海贫血的类型。因此,我们将变量转换为因子。
  • 目标是预测变量,告诉我们这个人是否有心脏病。因此,我们将该变量转换为因子,并为其贴上标签。

根据上述考虑,我们对变量做了一些变化

#例如
sex<-as.factor(sex)
levels(sex)<-c("Female","Male")

检查上述变化是否执行成功

str(heart)

summary(heart)

  

EDA

EDA是探索性数据分析(Exploratory Data Analysis)的缩写,它是一种数据分析的方法/哲学,采用各种技术(主要是图形技术)来深入了解数据集。

对于图形表示,我们需要库 "ggplot2"

library(ggplot2)
ggplot(heart,aes(x=age,fill=target,color=target)) + geom_histogram(binwidth = 1,color="black") + labs(x = "Age",y = "Frequency", title = "Heart Disease w.r.t. Age")

我们可以得出结论,与60岁以上的人相比,40至60岁的人患心脏病的概率最高。 

table <- table(cp)

pie(table)

我们可以得出结论,在所有类型的胸痛中,在个人身上观察到的大多数是典型的胸痛类型,然后是非心绞痛。

执行机器学习算法

Logistic回归

首先,我们将数据集分为训练数据(75%)和测试数据(25%)。

set.seed(100) 
#100用于控制抽样的permutation为100. 
index<-sample(nrow(heart),0.75*nrow(heart))

在训练数据上生成模型,然后用测试数据验证模型。 

glm(family = "binomial")
# family = " 二项式 "意味着只包含两个结果。

为了检查我们的模型是如何生成的,我们需要计算预测分数和建立混淆矩阵来了解模型的准确性。 

pred<-fitted(blr)
# 拟合只能用于获得生成模型的数据的预测分数。

我们可以看到,预测的分数是患心脏病的概率。但我们必须找到一个适当的分界点,从这个分界点可以很容易地区分是否患有心脏病。

为此,我们需要ROC曲线,这是一个显示分类模型在所有分类阈值下的性能的图形。它将使我们能够采取适当的临界值。

pred<-prediction(train$pred,train$target)
perf<-performance(pred,"tpr","fpr")
plot(perf,colorize = T,print.cutoffs.at = seq(0.1,by = 0.1))

通过使用ROC曲线,我们可以观察到0.6具有更好的敏感性和特异性,因此我们选择0.6作为区分的分界点。

pred1<-ifelse(pred<0.6,"No","Yes")

# 训练数据的准确性
acc_tr 

从训练数据的混淆矩阵中,我们知道模型有88.55%的准确性。

现在在测试数据上验证该模型

predict(type = "response")
## type = "response "是用来获得患有心脏病的概率的结果。
head(test)

我们知道,对于训练数据来说,临界点是0.6。同样地,测试数据也会有相同的临界点。

confusionMatrix((pred1),target)

#测试数据的准确性.

检查我们的预测值有多少位于曲线内

auc@y.values

我们可以得出结论,我们的准确率为81.58%,90.26%的预测值位于曲线之下。同时,我们的错误分类率为18.42%。

Naive Bayes算法

在执行Naive Bayes算法之前,需要删除我们在执行BLR时添加的额外预测列。

#naivebayes模型
nB(target~.)

用训练数据检查模型,并创建其混淆矩阵,来了解模型的准确程度。

predict(train)
confMat(pred,target)

我们可以说,贝叶斯算法对训练数据的准确率为85.46%。

现在,通过预测和创建混淆矩阵来验证测试数据的模型。

Matrix(pred,target)

 

我们可以得出结论,在Naive Bayes算法的帮助下生成的模型准确率为78.95%,或者我们也可以说Naive Bayes算法的错误分类率为21.05%。

决策树

在实施决策树之前,我们需要删除我们在执行Naive Bayes算法时添加的额外列。

train$pred<-NULL

rpart代表递归分区和回归树

当自变量和因变量都是连续的或分类的时候,就会用到rpart。

rpart会自动检测是否要根据因变量进行回归或分类。

实施决策树

plot(tree)

在决策树的帮助下,我们可以说所有变量中最重要的是CP、CA、THAL、Oldpeak。

让我们用测试数据来验证这个模型,并找出模型的准确性。

conMat(pred,targ)

我们可以说,决策树的准确率为76.32%,或者说它的错误分类率为23.68%。

随机森林

在执行随机森林之前,我们需要删除我们在执行决策树时添加的额外预测列。

test$pred<-NULL

在随机森林中,我们不需要将数据分成训练数据和测试数据,我们直接在整个数据上生成模型。为了生成模型,我们需要使用随机森林库

# Set.seed通过限制permutation来控制随机性。

set.seed(100)
model_rf<-randomForest(target~.,data = heart)
model_rf

在图上绘制出随机森林与误差的关系。

plot(model_rf)

红线代表没有心脏病的MCR,绿线代表有心脏病的MCR,黑线代表总体MCR或OOB误差。总体误差率是我们感兴趣的,结果不错。

结论

在进行了各种分类技术并考虑到它们的准确性后,我们可以得出结论,所有模型的准确性都在76%到84%之间。其中,随机森林的准确率略高,为83.5%。

关于分析师

image.png

在此对Yudong Wan对本文所作的贡献表示诚挚感谢,他完成了数据科学与大数据技术学位,专注数据分析,机器学习。擅长Python、R。


QQ截图20220707171154.png

最受欢迎的见解

1.R语言多元Logistic逻辑回归 应用案例

2.面板平滑转移回归(PSTR)分析案例实现

3.matlab中的偏最小二乘回归(PLSR)和主成分回归(PCR)

4.R语言泊松Poisson回归模型分析案例

5.R语言回归中的Hosmer-Lemeshow拟合优度检验

6.r语言中对LASSO回归,Ridge岭回归和Elastic Net模型实现

7.在R语言中实现Logistic逻辑回归

8.python用线性回归预测股票价格

9.R语言如何在生存分析与Cox回归中计算IDI,NRI指标