【JS每日一算法】🟨76. 删除排序链表中的重复元素 II(一次遍历)

432 阅读2分钟

给定一个已排序的链表的头 head , 删除原始链表中所有重复数字的节点,只留下不同的数字 。返回 已排序的链表 。

提示:

  • 链表中节点数目在范围 [0, 300] 内
  • -100 <= Node.val <= 100
  • 题目数据保证链表已经按升序 排列

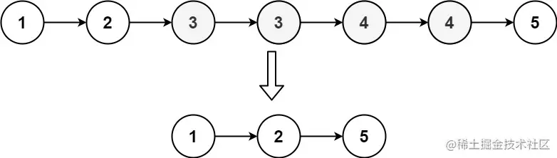
示例:

linkedlist1.jpg

输入: head = [1,2,3,3,4,4,5]
输出: [1,2,5]

题解:

更多JS版本题解点击链接关注该仓库👀

/**
 * @description: 迭代法   TC:O(n)  SC:O(1)
 * @author: JunLiangWang
 * @param {*} head 给定链表头节点
 * @return {*}
 */
function iterate(head) {
    /**
     * 由于给定的链表是排好序的,因此重复的元
     * 素在链表中出现的位置是连续的,因此我们
     * 只需要对链表进行一次遍历,就可以删除重
     * 复的元素。由于链表的头节点可能会被删除,
     * 因此我们需要额外使用一个哑节点(HEAD)指
     * 向链表的头节点。
     */

    // 添加哑节点
    const HEAD = new ListNode(null, head);
    // 定义上一个节点(已经确定不重复的节点)
    let lastNode = HEAD;
    // head为当前节点,当当前节点不存在
    // 证明链表无节点,此时结束遍历,或
    // 其下一个节点不存在证明已遍历完成
    // 所有节点,且当前节点是不重复的,
    // 此时结束遍历
    while (head && head.next) {
        // 当前节点与下一个节点不重复
        if (head.val != head.next.val) {

            // 当前节点已经确认不重复,将
            // 上一个节点(已经确定不重复
            // 的节点)向后移动一位
            
            // 注意head始终是等于last.next的
            // 因此当head不重复时,我们操作
            // lastNode即可
            lastNode = lastNode.next;
        }
        // 当前节点与下一个节点重复
        else {
            // 遍历找到与当前节点不重复的点
            while (head.next && head.val == head.next.val)
                head = head.next;
            // 将 上一个节点(已经确定不重复
            // 的节点)的下一个节点赋值为不重
            // 复的节点
            lastNode.next = head.next;
        }
        // 将当前节点后移一位
        head = lastNode.next
    }
    // 返回结果
    return HEAD.next
}               

来源:力扣(LeetCode)