数据代码分享|R语言用CHAID决策树分析花卉栽培影响因素数据可视化、误差分析

203 阅读4分钟

全文链接:tecdat.cn/?p=33078

原文出处:拓端数据部落公众号

在植物学和农业科学领域,理解影响植物生长和花朵产生的因素对于提高生产效率和优化栽培方法具有重要意义。因此,对于一个包含多个变量的数据集进行全面的分析和可视化是非常有帮助的。

本研究基于一个数据集,该数据集包含了花卉栽培过程中的多种变量,其中包括数值型变量(如花朵数量、白天条件和夜晚条件)以及分类变量(如肥料类型、品种和栽培制度)。我们使用R语言中的CHAID决策树算法帮助客户对这个数据集进行了分析,并通过可视化展现了影响种花的关键因素。

数据集中的变量解释如下:

数值型变量:

  1. Flowers(花朵):这是一个数值型变量,表示植物的花朵数量。每个样本有一个具体的数字,用于描述植物生长期间产生的花朵数量。
  2. Day(白天):这是一个数值型变量,表示植物在白天的相关信息。温度,用于描述植物在白天的环境条件和生长状态。
  3. Night(夜晚):这是一个数值型变量,表示植物在夜晚的相关信息。夜间温度,用于描述植物在夜晚的环境条件和生长状态。

分类变量:

  1. Fertilizer(肥料):这是一个分类变量,表示植物所接受的肥料类型,用于描述植物的养分供应情况。
  2. Variety(品种):这是一个分类变量,表示植物的品种,用于描述不同品种植物的特征和性质。
  3. Regimem(栽培制度):这是一个分类变量,表示植物的栽培方式或管理制度,用于描述植物的生长环境和栽培方法。

通过对这些变量的解释和研究,我们可以探索花朵数量与其他变量(如白天、夜晚条件、肥料类型、品种和栽培制度)之间的关系,了解不同因素对植物生长和花朵产生的影响。同时,也可以比较不同品种、不同栽培制度和肥料类型下的花朵数量和生长表现,以便在农业、园艺和植物繁殖等领域应用相关知识。

image.png

读取数据

df2=read.xlsx("data.xlsx",sheet = 2)  
  
head(df2)

image.png

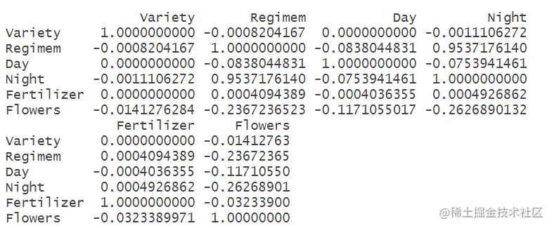
关联分析

cor(df2)

image.png

image.png

CHAID决策树

CHAID(Chi-square Automatic Interaction Detector)决策树是一种用于创建分类模型的决策树算法。它基于卡方检验来确定在给定的特征和目标变量之间是否存在显著的关联。

CHAID决策树的构建过程是逐步进行的。它首先选择一个作为根节点的特征,然后根据该特征的不同取值将数据集分割成多个子集。接下来,对每个子集重复上述过程,选择一个最佳的特征继续分割。这个过程一直持续到满足停止准则为止,例如达到预定的树深度或子集中的样本数量不足。

在每次分割过程中,CHAID使用卡方检验来评估特征和目标变量之间的关联程度。它将特征的不同取值作为自变量,目标变量的不同取值作为因变量,计算卡方值。如果卡方值超过了预定的显著性水平,说明该特征与目标变量之间存在显著的关联,可以选择该特征作为分割点。

CHAID决策树的优点是能够处理离散型和连续型的特征变量,并且可以处理多分类问题。它还可以自动选择最佳的分割点,减少了人工选择特征的主观性。然而,CHAID决策树在处理高维数据和处理缺失值方面存在一定的局限性。

#获得训练集  
train <- sample(1:nrow(df2), nrow(df2)*0.8)

建立决策树:Flowers

ct = deciionee(Flowers  ~ ., data = df2 )

通过决策树模型可以得到以下的决策树,从结果中可以看到day和night两个变量是决策flowers类型的重要变量。

image.png

# 预测每一个样本属于每一个类别的概率  
tr.pred = predict(ct, newda

第一个样本属于每个类别的概率如下表所示


## [[1]]  
##  [1] 0.153125000 0.109375000 0.083333333 0.044791667 0.018750000  
##  [6] 0.018750000 0.007291667 0.002083333 0.001041667 0.003125000  
## [11] 0.001041667 0.001041667 0.005208333 0.025000000 0.081250000  
## [16] 0.141666667 0.162500000 0.140625000  
##

第二个样本属于每个类别的概率如下表所示

## [[2]]  
##  [1] 0.153125000 0.109375000 0.083333333 0.044791667 0.018750000  
##  [6] 0.018750000 0.007291667 0.002083333 0.001041667 0.003125000  
## [11] 0.001041667 0.001041667 0.005208333 0.025000000 0.081250000  
## [16] 0.141666667 0.162500000 0.140625000  
##

第三个样本属于每个类别的概率如下表所示


## [[3]]  
##  [1] 0.153125000 0.109375000 0.083333333 0.044791667 0.018750000  
##  [6] 0.018750000 0.007291667 0.002083333 0.001041667 0.003125000  
## [11] 0.001041667 0.001041667 0.005208333 0.025000000 0.081250000  
## [16] 0.141666667 0.162500000 0.140625000  
##

得到训练集混淆矩阵

tab=table(tree.pred,df2.test$Flowers)

image.png

混淆矩阵为预测flower类别和实际flower类别组成的矩阵,行为预测类别,列为实际类别。从结果可以看到实际预测类别和预测类别符合的个数和程度。

绘制实际类别和预测类别的散点图

image.png

图中横线表示y=x的直线,横轴为实际类别,纵轴为预测类别,图中的点越接近横线表示预测的效果越好。

求均方误差

mean((as.numeric(tree.pred) - as.numeric(df2.test$Flowers))^2)

## [1] 74.65885

将flower分成三组5-9,9-13,13-19

将"flower"数量分成三组进行分类,每组的范围如下:

第一组:包括5到9(包括5和9)之间的flower; 第二组:包括9到13(包括9和13)之间的flower; 第三组:包括13到19(包括13和19)之间的flower。

# 建立CHAID决策树=======================Flowers

df2$Flowers=as.numeric(df2$Flowers)

index1=which(df2$Flowers<=5) 

index2=which(df2$Flowers<=9 & df2$Flowers>=5) 

index3=which(df2$Flowers>=9) 

df2$Flowers[index1]=1
df2$Flowers[index2]=2
df2$Flowers[index3]=3

CHAID决策树

plot(ct

1111.png

table(predict(ct), df2$Flowers)

预测类别概率Estimated class probabilities

tr.pred = predict(ct, newdata=df2.test, type="prob")  
tr.pred

## [[1]]  
## [1] 2.5125

image.png

误差

#rmse  
sqrt(mean((as.numeric(tree.pred) - as.numeric(df2.test$Flowers))^2))

## [1] 0.4875514

#nmse  
  
 

(sum( tree.pred - (df2.test$Flowers))^2)/(mean(tree.pred)*(mean((df2.test$Flowers))))/nrow(tree.pred)

## [1] 0.002686602

what is design thinking__1300503300_standard_1536x1536.webp

最受欢迎的见解

1.PYTHON用户流失数据挖掘:建立逻辑回归、XGBOOST、随机森林、决策树、支持向量机、朴素贝叶斯模型和KMEANS聚类用户画像

2.R语言基于树的方法:决策树,随机森林

3.python中使用scikit-learn和pandas决策树

4.机器学习:在SAS中运行随机森林数据分析报告

5.R语言用随机森林和文本挖掘提高航空公司客户满意度

6.机器学习助推快时尚精准销售时间序列

7.用机器学习识别不断变化的股市状况——隐马尔可夫模型的应用

8.python机器学习:推荐系统实现(以矩阵分解来协同过滤)

9.python中用pytorch机器学习分类预测银行客户流失