机器学习知识点复习(上)

217 阅读9分钟

机器学习知识点复习(上)

归纳

从特殊到一般,也就是从一些实例中总结规律--“指泛化能力”

演绎

从一般到特殊,从基础原理推演出具体情况-"特化能力"

过拟合

学习器把训练样本学习的”太好“,导致泛化性能下降。

  • 解决办法:优化目标正则项、early stop(早停)

例如训练集中样本树叶有锯齿,过拟合模型分类新的没有锯齿的树叶样本,认为其不是树叶(误以为树叶必须有锯齿)

欠拟合

对训练样本的一般性质尚未学好

  • 解决办法:

    • 决策树:拓展分支

    • 神经网络:增加训练轮次

例如,训练集为树叶样本,给出一棵树后,欠拟合模型分类结果为树叶,因为误以为绿色的都是树叶

自助采样

也称“有放回采样”、“可重复采样“。有一个m个样本的数据集,随机从其中取出一个样本放入采样集,再把样本放回原始的数据集,之后重复进行m次这样的随机采样操作,即可得到一个包含m个样本数据的集合。原始数据集中有的样本可能会被多次取出,但有的则可能从不被取到。样本在m次采样中始终不被采样的概率是(1-1/m)^m,取极限约等于0.368。

自助法即直接以自主采样为基础,其过程可以这样理解:

  1. 有一个数据集D,它里面有m个样本,假设采样后生成的数据集为D'
  2. 每次从D中随机选取一个样本,将其加入到D'中,之后再将该样本放回D中,注意此时D中样本数量仍然不变,仍为m个样本
  3. 重复执行第2m
  4. 最终得到包含m个样本数据的集合D'

对于D中的一部分数据,肯定会在D'中多次出现,但是也会有一部分数据在D'不出现。

样本在m次采样中始终不被采样的概率是(1-1/m)^m,取极限约等于0.368

说明数据集D中约有36.8%的样本不会出现在D'中,所以我们可以拿D'作为训练集,D\D'用作测试集

优势:

  • 训练集与原样本集同规模
  • 使用数据集小,划分难

这种类型进行测试的结果叫做包外估计

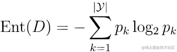
信息熵

度量样本集合纯度最常用的一种指标。假定当前样本集合D中第k类样本所占的比例为p_k(K=1,2,...,|у|),则D的信息熵定义为:

image-20230622161551757

Ent(D)的值越小,则D的纯度越高。

  • 规定:若 p = 0,则 plog₂p = 0
  • Ent(D)的最小值为0 (即全部为同一类),最大值为log₂|y| (每一类发生的概率相同)。

例题:

  1. 一堆数据可分成两类,第一类占50%,第二类占50%,求信息熵是 ?

    Ent(D) = (- 0.5*log₂0.5)+(-0.5*log₂0.5)= -log₂(1/2) = 1

  2. 一堆数据可分成两类,第一类占95%,第二类占5%,求信息熵是?

    Ent(D) = (- 0.95*log₂0.95)+(-0.05*log₂0.05)

数据归一化

将不同变化范围的值映射到[0,1]中。

规范化:将不同变化范围的值映射到相同的固定范围中。常见的是[0,1],此时亦”归一化“。

泛化

学得模型适用于新样本的能力。

混淆矩阵

以矩阵形式总结分类模型预测结果的情形分析表

image-20230621012901626

错误率

分类错误的样本数占样本总数的比例。m个样本里a个样本分类错误,则错误率E=a/m

image-20230621011713056

精度

分类正确的样本数占样本总数的比例。

image-20230621011803435

将预测对的样本数除以样本总数,也就等于1-E

查准率P

image-20230621012901626

查准率P=真正例(真正例+假正例)查准率P=\frac{真正例}{(真正例+假正例)}
P=TP(TP+FP)P=\frac{TP}{(TP+FP)}

查全率R

image-20230621012901626

查全率R=真正例(真正例+假反例)查全率R=\frac{真正例}{(真正例+假反例)}
P=TP(TP+FN)P=\frac{TP}{(TP+FN)}

测试集

学得模型后,拿一些确定得数据去测试模型,这些数据构成测试集。注意测试集中的测试例已知它的标签(结果)

训练集

训练过程中使用的数据称为训练数据,其中每个样本称为一个"训练样本",这些训练样本组成的集合成为"训练集"。

留出法

直接将数据集D划分为两个互斥的集合,其中一个集合作为训练集S,另一个作为测试集T,训练集/测试集通常为2:1~4:1

k折交叉验证法

将数据集分层采样划分为k个大小相似的互斥子集,即D=D_1∪D_2∪...∪D_k, D_i∩D_j=∅(i≠j)。且要求每个子集尽可能保证数据分布一致(D中分层采样得到)。

然后我们每次用k-1个子集的并集作为训练集,剩余子集作为测试集,最终返回k个测试结果的均值,k常用10

一般我们进行若干次随机划分,重复进行实验评估后取平均值(k=m留一法)

这种方法的评估结果被认为较为准确,但计算开销大

上述过程总体的思想就是,会选k次,最后训练出k个学习器,然后求平均,这样可以尽可能的利用数据集

好处:

  • 解决数据量不够大的问题
  • 解决参数调优问题

(下图展示10折交叉验证,图片来自西瓜书)

image-20230620211252879

P-R曲线

查准率P做纵轴查全率R做横轴作图,得到的曲线即为查准率-查全率曲线(P-R曲线)。显示该曲线的图即为“P-R图”。若一个学习器的P-R曲线包住另一个学习器的P-R曲线,则断言前者性能优于后者。

  • 平衡点BEP:一种综合查准率和查全率的度量方式,它是查准率=查全率时的取值。基于BEP进行比较时,认为BEP值大的学习器更优秀

ROC和AUC

ROC曲线:以“假正例率”为横轴,“真正例率”为纵轴可得到的曲线,全称“受试者工作特征”。

ROC曲线绘制方法:给定m^+个正例和m^-个负例,根据学习器预测结果对样例进行排序,将分类阈值设为每个样例的预测值,当前标记点坐标为(x,y),当前若为真正例,则对应标记点的坐标为(x,y+1/m^+ );当前若为假正例,则对应标记点的坐标为(x+1/m^- ,y),然后用线段连接相邻点.

ROC曲线衡量比较方式

  • 若某个学习器的ROC曲线被另一个学习器的曲线“包住”,则后者性能优于前者;
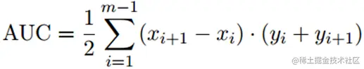
  • 如果曲线交叉,可以根据ROC曲线下面积大小进行比较,这个面积也叫做AUC值

AUC衡量了样本预测的排序质量

AUC可估算为:

image-20230621023926758

排序损失定义为:

image-20230621024009000

另外AUC = 1 - "损失",也就是说“损失” = 1 - AUC

余弦相似度

通过测量两个向量的夹角的余弦值来度量它们之间的相似性。

若存在两个向量A和B; Ai,Bi为A和B的各分量,余弦相似度相似度为similarity

similarty=cos(θ)=ABAB=i=1nAi×Bii=1n(Ai)2×i=1n(Bi)2similarty = cos(θ) = \frac{A·B}{||A||B||} = \frac{\sum_{i=1}^nA_i×B_i}{\sqrt{\sum_{i=1}^n(A_i)^2} × \sqrt{\sum_{i=1}^n(B_i)^2}}

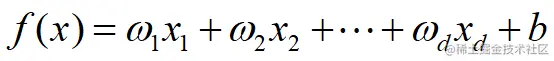
线性回归

线性模型

线性模型试图学得一个通过属性的线性组合来进行预测的函数,即image-20230622204925782

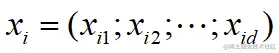
一般向量形式:

image-20230622211112983

其中

image-20230622211230409

wb是模型参数,分别为权重、系数

注意,这里wx都是d×1矩阵,把它俩想象成竖着的形式。

线性模型优点:

  • 形式简单、易于建模

  • 可解释性强

    这里w_1,w_2,...对应可理解为对某维属性的贡献度

线性回归

给定数据集

image-20230622202520175

其中

image-20230622202645448

image-20230622202659870

线性回归的目的: 学得一个线性模型以尽可能准确地预测实值输出标记

线性回归试图学得f(xi)=wTxi+b,使得f(xi)yi线性回归试图学得f(x_i)=w^Tx_i+b ,使得f(x_i)\simeq y_i

分类

属于“监督学习”

模型输出的预测值为离散值,则此类学习任务称为分类

回归

属于“监督学习”

模型输出的预测值为连续值,则此类学习任务称为分类

对数几率回归

实质:用线性回归模型的预测结果去逼近真实标记的对数几率,这样子对应的模型就是对数几率回归。

运用对数几率函数

y=11+ezy = \frac{1}{1+e^{-z}}

变为

y=11+e(wTx+b)y = \frac{1}{1+e^{-(w^Tx+b)}}

变为

lny1y=wTx+bln\frac{y}{1-y}=w^Tx+b

对数几率(log odds)

  • 约定y为样本x作为正例的可能性,则1-y样本x作为负例的可能性
  • 对数几率:样本作为正例的相对可能性的对数
𝑙𝑛𝑦(1𝑦)𝑙𝑛 \frac{𝑦}{(1−𝑦)}

对数几率回归(主要针对二分类问题)优点

  1. 无需事先假设数据分布
  2. 可得到“类别”的近似概率预测
  3. 有良好的数学性质,可直接应用现有数值优化算法求取最优解

多分类问题分解策略

多分类学习方法:

  • 二分类学习方法推广到多类
  • 利用二分类学习器解决多分类问题**(常用)**
    • 对问题进行拆分,为拆出的每个二分类任务训练一个分类器
    • 对于每个分类器的预测结果进行集成以获得最终的多分类结果

分解策略

一对一(One vs. One, OvO)

拆分阶段

  • N个类别两两配对
    • 得到N(N-1)/2 个二类任务
  • 各个二类任务学习分类器
    • 得到N(N-1)/2 个二类分类器

测试阶段

  • 新样本提交给所有分类器预测

    • 得到N(N-1)/2 个分类结果
  • 投票产生最终分类结果

    • 被预测最多的类别为最终类别
一对其余(One vs. Rest, OvR)

拆分阶段

  • 某一类作为正例,其他反例

    • N 个二类任务
  • 各个二类任务学习分类器

    • N 个二类分类器

测试阶段

  • 新样本提交给所有分类器预测

    • N 个分类结果
  • 比较各分类器预测置信度

    • 置信度最大类别作为最终类别
多对多(Many vs. Many, MvM)
  • 若干类作为正类,若干类作为反类

  • 纠错输出码(Error Correcting Output Code, ECOC)

    image-20230623155455950

    image-20230623155503704