机器学习知识点复习(中)

151 阅读5分钟

机器学习知识点复习(中)

一、决策树如何选分裂点?

决策树是基于树结构来进行预测

决策树学习的目的是为了产生一棵泛化能力强,即处理未见示例能力强的决策树

决策树学习的关键在于如何选择最优划分属性。一般而言,随着划分过程不断进行,我们希望决策树的分支结点所包含的样本尽可能属于同一类别,即结点的“纯度”越来越高

选择分裂点的方式:

  • 信息增益 (ID3决策树)
  • 增益率(C4.5决策树)
  • 基尼指数(GART决策树)

1.1 信息增益(ID3)

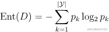
信息熵

度量样本集合纯度最常用的一种指标。假定当前样本集合D中第k类样本所占的比例为p_k(K=1,2,...,|у|),则D的信息熵定义为:

image-20230622161551757

Ent(D)的值越小,则D的纯度越高。

  • 规定:若 p = 0,则 plog₂p = 0
  • Ent(D)的最小值为0 (即全部为同一类),最大值为log₂|y| (每一类发生的概率相同)。

信息增益

离散属性aV个可能的取值{a¹,a²,...,aˇ}a来进行划分,则会产生V个分支结点,其中第v个分支结点包含了D中所有在属性a上取值为a^v 的样本,记为D_v 。则可计算出用属性a对样本集D进行划分所获得的“信息增益”:

image-20230623163649892

  • 一般而言,信息增益越大,则意味着使用属性 来进行划分所获得的“纯度提升”越大

存在的问题:信息增益对可取值数目较多的属性有所偏好

例题计算

image-20230623163825078

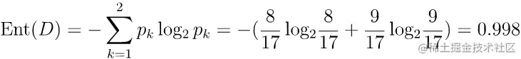
该数据集包含17个训练样本,|y|=2,其中正例占p₁=8/17

反例占p₂=9/17,计算得到根结点的信息熵为:

image-20230623164026721

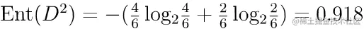
以属性“色泽”为例,其对应的3个数据子集分别为(色泽=青绿),(色泽=乌黑),(色泽=浅白)

子集包含编号为{1,4,6,10,13,17}的6个样例。其中正例占p₁=3/6,反例占p₂=3/6同理,则3个结点的的信息熵为:

image-20230623164643420

image-20230623164648725

image-20230623164653632

则属性色泽信息增益为:

image-20230623164812664

同理请尝试算出其他属性的信息增益

image-20230623164907301

由于,属性**“纹理”**的信息增益最大,其被选为划分属性

之后做出现在的决策树

image-20230623165123328

现在以图中第一个分支点(纹理=清晰)在进行上述操作。样例集合为,有编号{1,2,3,4,5,6,8,10,15}的9个样例,基于计算其它个属性的信息增益

1.2 增益率(C4.5)

增益率定义:

图片1

其中

image-20230623192006937

称为属性a的“固有值”,属性a的可能取值数目越多(即V越大),则Ⅵ(a)的值通常就越大

存在的问题:增益率准则对可取值数目较少的属性有所偏好

C4.5 使用了一个启发式:先从候选划分属性中找出信息增益高于平均水平的属性,再从中选取增益率最高的

1.3 基尼指数(GART)

数据集D的纯度可用“基尼值”来度量

image-20230623192608335

Gini(D)越小,数据集D的纯度越高

属性a基尼指数定义为:

image-20230623192754554

应选择那个使划分后基尼指数最小的属性作为最优划分属性,即

image-20230623192824595

GART 采用“基尼指数”来选择划分属性

二、感知机缺点

单层感知机的学习能力非常有限, 只能解决线性可分问题。例如对于与、或、非问题线性可分,感知机学习过程能够求得适当的权值向量;而异或问题不是线性可分的,感知机学习不能求得合适解

三、如何调节神经网络

早停、正则化

四、深度模型需要大量训练样本

五、神经网络中常用的激活函数

Sigmoid 函数

image-20230623214710365

六、SVM的分类基本原理

SVM即支持向量机

  1. 前提定义: 对于来自两类的一组模式image-20230629112856303,如果能用一个线性判别函数正确分类,则称他们是线性可分的。

    线性可分eg:

    image-20230629112654278

    线性不可分eg:image-20230629112916813

    image-20230629112920347

  2. 如何找到这个线性判别函数

    将训练样本分开的超平面可能有很多, 哪一个好呢?

    eg:image-20230629132157628

    该例子应选择”正中间”, 容忍性好, 鲁棒性高, 泛化能力最强。

  3. 分类原理

    名词解释:

    支持向量:距离超平面最近的训练样本称作支持向量

    间隔:两个异类支持向量到超平面的距离之和

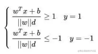
    • 首先定义超平面方程:

      wTx+b=0w^Tx+b=0
    • 任意样本x到超平面(w,b)的几何距离:

      r=wTx+bwr=\frac{|w^Tx+b|}{||w||}
    • 支持向量到超平面(w,b)的几何距离为d,则满足:

      image-20230629153922780

      对w和b变形

      image-20230629153950135

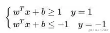
      合并

      y(wTx+b)1y(w^Tx+b)≥1

    image-20230629154151169

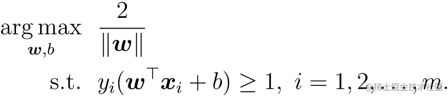
    • 最大间隔:寻找参数w和b, 使得γ最大最大.

      image-20230629154726383

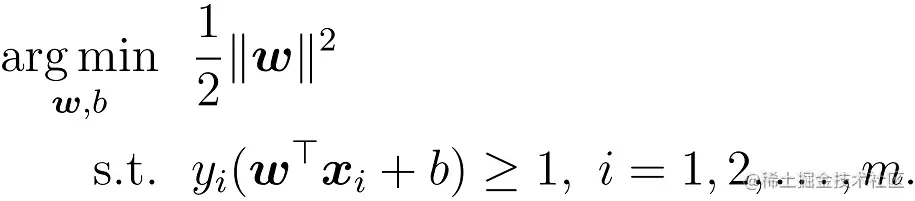
      等价于

      image-20230629154802830

七、朴素贝叶斯分类器

7.1 先验概率

指在观测前就已知的结果概率分布P(y)

eg: 根据经验,一个西瓜为好瓜的概率为P(y=1)=0.6,为一个坏瓜的概率为P(y=0)=0.4

7.2 后验概率

指在观测x对结果y的估计P(y|x)

eg: 例如:观测到一个色泽为青绿的西瓜(x),估计它为好瓜的概率为P(1|青绿)=0.7

计算后验概率的方法:贝叶斯公式

𝑃(𝐴𝐵)=𝑃(𝐵𝐴)𝑃(𝐴)𝑃(𝐵)𝑃(𝐴|𝐵)=\frac{𝑃(𝐵|𝐴)𝑃(𝐴)}{𝑃(𝐵)}

7.3 朴素贝叶斯分类器

注:贝叶斯分类器 ≠ 贝叶斯学习

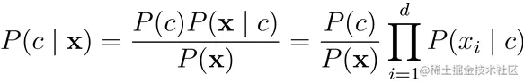
根据贝叶斯定理,有

image-20230630203538053

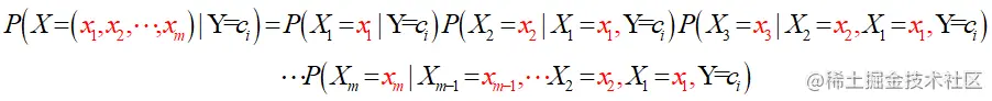
估计后验概率P(c|x)主要困难:

  • P(x|c)是所有属性上的联合概率,难以从有限的训练样本估计获得。

image-20230630204518178

其中image-20230630204558409

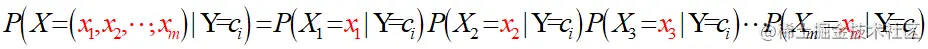
朴素贝叶斯分类器采用了**“属性条件独立性假设”:每个属性独立地**对分类结果发生影响。

image-20230630205418072

image-20230630205521358

  • 其中d为属性数目,x_ix在第i个属性上的取值。

则最终得到贝叶斯分类器的表达式

image-20230630205706555

总结: 使用朴素贝叶斯分类器,数据性质要有 属性条件独立性假设,即每个属性独立地对分类结果发生影响