运动控制领域——梯形曲线规划

5,088 阅读6分钟

摘要

在伺服系统以及作动机构的加减速动作中,为了让速度更加平滑,可以引入梯形速度曲线规划(T-curve velocity profile),梯形曲线是一种时间最优的曲线,在工业界被广泛采用。本文将对GCKontrol中的梯形速度曲线规划进行介绍,并使用2D面板画出梯形速度曲线规划的位移、速度、加速度等结果图。

一、基本原理

梯形速度曲线控制算法是工业控制领域应用中最为广泛的加减速控制策略之一。所谓梯形速度曲线是将整个运动过程分为匀加速、匀速和匀减速三个阶段,在变速过程中加速度保持不变。

在整体系统高速启动,制动的状态下,可以提高整体系统的性能。系统每完成一个动作的时候,总共包括匀加速,匀速,匀减速三个过程,具体如下图所示。

1.png

梯形速度曲线控制通过控制系统对电机或电动缸等作动机构施加不同的加速度或减速度,从而使机器人或其他执行器在启动和停止时能够平稳过渡,避免机械因过快加速或减速而导致的损坏和误差。

具体来讲,梯形速度曲线的工作流程可以分为以下几个步骤:

加速阶段:在启动时,系统将执行器施加一个较小的加速度,使其逐渐达到所需的运行速度。

匀速阶段:一旦执行器达到所需的运行速度,系统将维持这个速度一段时间,直到需要减速或停止。

减速阶段:在停止或改变运动方向时,系统将施加一个逐渐减小的减速度,使执行器逐渐减速到停止。

二、模型介绍

梯形速度曲线控制模型由三部分组成,梯形速度曲线规划模型、丝杆速度—电机转速转换模块、直流电机转速控制模型。三者结合后就可以对直流电机进行精确的位置控制,且运动能够平稳启动、平稳停止,系统架构图如下所示。

2.png

系统架构图

2.1梯形速度曲线控制模型介绍

q0:初始位置;t0 :初始时间;v0:初始速度;

q1:结束位置;t1 :结束时间;v1:结束速度;

aa:最大加速度;

ad:最大减速度;

vmax:输入最大速度;

vv:实际最大速度;

Ta:匀加速段时长;

Td:匀减速段时长;

在实际的机电系统中,其执行部件允许的最大速度、最大加速度、启动速度、停止速度等会受到自身的物理条件约束,不可以人为改变。因此,实际点到点轨迹规划任务中,一般指定起始点位置、速度、最大速度、最大加速度、终止点位置、速度来计算梯形速度轨迹。

因此,通用梯形速度曲线为已知初始速度,终止速度,加速度,减速度,最大速度,位移。要确定轨迹,关键是计算出加速度段,匀速段,减速度段对应的时间Ta、Tv、Td,然后就可以计算任意时刻t=[0,Ta+Tv+Td]对应的位移,速度,加速度。

给定的起始速度,终止速度,加速度,减速度,最大速度,位移参数,不一定都能满足,若给定的参数对应的轨迹不存在,那么需要修改最大速度参数,优先满足位移条件(在实际的数控系统中常常是这么做),常常修改的是最大速度。因此,可以按照以下步骤计算梯形速度曲线:

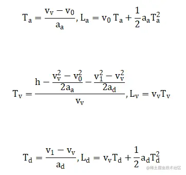
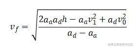
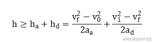
(1)根据h,v0,v1,aa,ad,其中h=q1-q0,计算能够达到的最大速度,要达到最大速度,只有加速度段和减速度段,没有匀速段,因此有:

3.png

即:

4.png

(2)然后,根据指定的最大速度vmax和vf判断梯形速度曲线有无匀速段

若vf<vmax,说明不用到达最大速度即可完成起点到终点的规划,则令vv=vf,此时速度波形没有匀速段,只有匀加速和匀减速。

若vf≥vmax,说明需要匀速段的参与才能走完全部位移。但是又不允许超过最大速度,因此将匀速段速度设置为vv=vmax

(3)计算加速段、匀速段、减速段的时间和位移

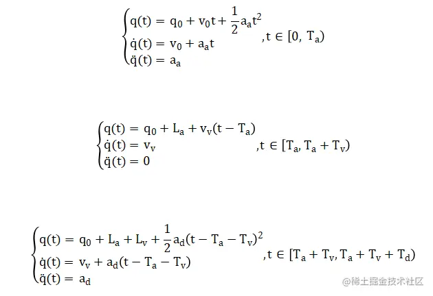
5.png (4)当t0=0,三个阶段的位置、速度、加速度时间关系方程分别为:

6.png

当初始时刻 t0≠0 时,将 t 换成 t-t0 ,上式同样适用。

2.2丝杆速度—电机转速转换模块介绍

因为伺服作动器是做直线运动,电机模型的输入信号是转速信号,所以这里需要做伺服作动器到电机模型的速度转换。在模型中,导程是1,减速比为10。

2.3直流电机模型介绍

永磁直流电机的转速控制模型,包括控制部分和永磁直流电机模型两部分。控制部分采用PI控制器,永磁直流电机模型包括电气方程和机械方程。

电气方程:

8.png

机械方程:

7.png

、模型说明

3. 1 模型整体框架

如下图,模型由梯形曲线规划(由基本参数、运动参数、梯形曲线运动算法组成)和直流电机模型组成。模型输入参数主要是:q0:初始位置;q1:结束位置;aa:最大加速度;ad:最大减速度;vmax:输入最大速度等等。

9.png

GCKontrol建模

系统参数如下表所示:

q0:初始位置;t0 :初始时间;v0:初始速度;

q1:结束位置;t1 :结束时间;v1:结束速度;

aa:最大加速度;

ad:最大减速度;

vmax:输入最大速度;

10.png

3. 2 梯形曲线规划模块****

梯形曲线规划模块输入变量为:q0:初始位置;t0 :初始时间;v0:初始速度;q1:结束位置;t1 :结束时间;v1:结束速度;aa:最大加速度;ad:最大减速度;vmax:输入最大速度;

梯形曲线规划模块输出变量为:Ta加速度时间、Td减速度时间、Tv匀速运动时间、La加速度运动距离、Ld减速度运动距离、Lv匀速运动距离。

3. 4 丝杆速度——电机速度转换模块

丝杆速度——电机速度转换模块,根据作动机构的减速比和导程进行变量的转换,输入变量为作动机构的直线运动速度(m/s);输出变量为直流电机的转速(rpm)。

3. 5 直流电机模型

直流电机模型的输入是目标电机速度曲线,输出是电机实际速度曲线。

11.png

直流电机模型建模

四、模型输入、输出

下面的曲线分别为给定和实际的位置曲线、速度曲线、加速度曲线。

image.gif

模型输入输出

五、总结:

梯形速度曲线规划算法广泛应用于机器人运动控制的各个领域,包括但不限于以下几个方面:

工业自动化:保证机器人在自动化生产线上的平稳运动,提高生产效率和质量。

机器人搬运:保证机器人在搬运过程中平稳加减速,减少货物的损坏和机器人的故障率。

无人机:保证无人机在起飞、降落、飞行过程中的平稳运动,提高飞行的稳定性和安全性。

移动机器人:保证移动机器人在不同场景下的平稳运动,如户外、楼梯、狭小空间等场景。

本次采用GCKontrol对梯形曲线规划算法、直流伺服电机控制进行建模,并通过仿真验证了算法的可行性,可生成高质量的C代码,便于嵌入式开发。这种典型的MBD开发流程,帮助软件开发团队明确开发流程、提高软件质量、降低开发风险、明确责任划分,同时具有适应性强等优点,可以满足不同应用场景的需求,具有广阔的市场前景。