【视频】R语言LDA线性判别、QDA二次判别分析分类葡萄酒品质数据

288 阅读5分钟

全文链接:tecdat.cn/?p=33031

原文出处:拓端数据部落公众号

分析师:Donglei Niu

判别分析(Discriminant analysis)是一种统计分析方法,旨在通过将一组对象(例如观察数据)分类到已知类别的组中,来发现不同组之间的差异。

什么是判别分析

判别分析有两种主要形式:线性判别分析(LDA)和二次判别分析(QDA)。LDA假设每个类别的协方差矩阵相同,并寻找最优的判别方向来最大化类别之间的距离。QDA假设每个类别的协方差矩阵都不同,并寻找最优的判别方向来最大化类别之间的距离,同时也考虑了每个类别的协方差矩阵。

线性判别分析(LDA)

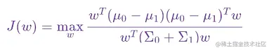
当我们有一个由n个样本和p 个特征组成的数据集时,LDA的目标是找到一个线性变换,将数据从p维空间映射到k维空间(k <p),使得在新的空间中,同一类别内的数据点尽可能相似,不同类别之间的数据点尽可能分离。

线性判别分析的数学原理

image.png

目标函数

image.png

将上面的公式化简,得到:

image.png

我们最终可以目标函数为

image.png

二次判别分析(QDA)

QDA (Quadratic Discriminant Analysis)是一种有监督的机器学习算法,用于分类问题。它是 LDA (Linear Discriminant Analysis,线性判别分析)的一种扩展形式,与LDA类似,QDA 也是一种基于贝叶斯决策理论的分类器。与LDA不同的是,QDA假设每个类别的协方差矩阵不相同,因此在分类时使用的决策边界是二次曲线。

介绍

数据包含有关葡萄牙“Vinho Verde”葡萄酒的信息。该数据集有1599个观测值和12个变量,分别是固定酸度、挥发性酸度、柠檬酸、残糖、氯化物、游离二氧化硫、总二氧化硫、密度、pH值、硫酸盐、酒精和质量。固定酸度、挥发性酸度、柠檬酸、残糖、氯化物、游离二氧化硫、总二氧化硫、密度、pH、硫酸盐和酒精是自变量并且是连续的。质量是因变量,根据 0 到 10 的分数来衡量。

探索性分析

总共有 855 款葡萄酒被归类为“好”品质,744 款葡萄酒被归类为“差”品质。固定酸度、挥发性酸度、柠檬酸、氯化物、游离二氧化硫、总二氧化硫、密度、硫酸盐和酒精度与葡萄酒质量显着相关( t 检验的 P 值 < 0.05),这表明了重要的预测因子。我们还构建了密度图来探索 11 个连续变量在“差”和“好”葡萄酒质量上的分布。从图中可以看出,品质优良的葡萄酒在PH方面没有差异,而不同类型的葡萄酒在其他变量上存在差异,这与t检验结果一致。


na.oit() %>
muate(qal= ase_hen(ality>5 ~good", quaity <=5 ~ "poor")) %>%
muate(qua= s.fatrqual)) %>%
dpeme1 <- rsparentTme(trans = .4)

plot = "density", pch = "|",
auto.key = list(columns = 2))

图 1. 葡萄酒品质和预测特征之间的描述图。
表 1. 优质和劣质葡萄酒的基本特征。

# 在表1中创建一个我们想要的变量
b1 <- CeatTableOe(vars  litars, straa = ’qual’ da wine
tab

 

模型

我们随机选择 70% 的观测值作为训练数据,其余的作为测试数据。所有 11 个预测变量都被纳入分析。我们使用线性方法、非线性方法、树方法和支持向量机来预测葡萄酒质量的分类。对于线性方法,我们训练(惩罚)逻辑回归模型和线性判别分析(LDA)。逻辑回归的假设包括相互独立的观察结果以及自变量和对数几率的线性关系。LDA 和 QDA 假设具有正态分布的特征,即预测变量对于“好”和“差”的葡萄酒质量都是正态分布的。对于非线性模型,我们进行了广义加性模型(GAM)、多元自适应回归样条(MARS)、KNN模型和二次判别分析(QDA)。对于树模型,我们进行了分类树和随机森林模型。还执行了具有线性和径向内核的 SVM。我们计算了模型选择的 ROC 和准确度,并调查了变量的重要性。10 折交叉验证 (CV) 用于所有模型。 


inTrai <- cateatPariti(y  winequal, p = 0.7, lit =FASE)
traiData <- wine[inexTr, 
teDt <wi[-idxTrain,]

线性模型 多元逻辑回归显示,在 11 个预测因子中,挥发性酸度、柠檬酸、游离二氧化硫、总二氧化硫、硫酸盐和酒精与葡萄酒质量显着相关(P 值 < 0.05),解释了总方差的 25.1%。酒质。将该模型应用于测试数据时,准确度为 0.75(95%CI:0.71-0.79),ROC 为 0.818,表明数据拟合较好。在进行惩罚性逻辑回归时,我们发现最大化ROC时,最佳调优参数为alpha=1和lambda=0.00086,准确度为0.75(95%CI:0.71-0.79),ROC也为0.818。由于 lambda 接近于零且 ROC 与逻辑回归模型相同,因此惩罚相对较小,

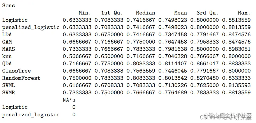
但是,由于逻辑回归要求自变量之间存在很少或没有多重共线性,因此模型可能会受到 11 个预测变量之间的共线性(如果有的话)的干扰。至于LDA,将模型应用于测试数据时,ROC为0.819,准确率为0.762(95%CI:0.72-0.80)。预测葡萄酒品质的最重要变量是酒精度、挥发性酸度和硫酸盐。与逻辑回归模型相比,LDA 在满足正常假设的情况下,在样本量较小或类别分离良好的情况下更有帮助。

### 逻辑回归
cl - tranControlmehod =cv" number  10,
summayFunio = TRUE)
set.seed(1)
moel.gl<- train(x = tainDaa %>% dpyr::selct(-ual),
y = trainDaa$qual
metod "glm",
metic = OC",
tContrl = crl
# 检查预测因素的重要性
summary(odel.m)

# 建立混淆矩阵
tetred.prb <- rdct(mod.gl, newdat = tstDat
tye = "rob
test.ped <- rep("good", length(pred.pr
confusionMatrix(data = as.factor(test.pred),

 

# 绘制测试ROC图
oc.l <- roc(testa$al, es.pr.rob$god)

## 测试误差和训练误差
er.st. <- mean(tett$qul!= tt.pred)
tranped.obgl <-pric(moel.lmnewda= taiDaa,
type = "rob
moe.ln <-tai(xtraDa %>% dlyr:seec-qal),
y = traD
methd = "met",
tueGid = lGrid,
mtc = "RO",
trontrol  ctl)
plotodel.gl, xTras =uction() lg(x)

#选择最佳参数
mol.mn$bestune

 

# 混淆矩阵

tes.red2 <- rp"good" ngth(test.ed.prob2$good))
tst.red2[tespre.prob2$good < 0.5] <- "poor
conuionMatridata = as.fcto(test.prd2),

 

 

非线性模型 在 GAM 模型中,只有挥发性酸度的自由度等于 1,表明线性关联,而对所有其他 10 个变量应用平滑样条。

结果表明,酒精、柠檬酸、残糖、硫酸盐、固定酸度、挥发性酸度、氯化物和总二氧化硫是显着的预测因子(P值<0.05)。

总的来说,这些变量解释了葡萄酒质量总变化的 39.1%。使用测试数据的混淆矩阵显示,GAM 的准确度为 0.76(95%CI:0.72-0.80),ROC 为 0.829。

MARS 模型表明,在最大化 ROC 时,我们在 11 个预测变量中包含了 5 个项,其中 nprune 等于 5,度数为 2。这些预测变量和铰链函数总共解释了总方差的 32.2%。根据 MA​​RS 输出,三个最重要的预测因子是总二氧化硫、酒精和硫酸盐。

将 MARS 模型应用于测试数据时,准确度为 0.75(95%CI:0.72,0.80),ROC 为 0.823。我们还执行了 KNN 模型进行分类。当 k 等于 22 时,ROC 最大化。KNNmodel 的准确度为 0.63(95%CI:0.59-0.68),ROC 为 0.672。

QDA模型显示ROC为0.784,准确率为0.71(95%CI:0.66-0.75)。预测葡萄酒质量的最重要变量是酒精、挥发性酸度和硫酸盐。59-0.68),ROC 为 0.672。QDA模型显示ROC为0.784,准确率为0.71(95%CI:0.66-0.75)。

预测葡萄酒质量的最重要变量是酒精、挥发性酸度和硫酸盐。59-0.68),ROC 为 0.672。QDA模型显示ROC为0.784,准确率为0.71(95%CI:0.66-0.75)。预测葡萄酒质量的最重要变量是酒精、挥发性酸度和硫酸盐。

GAM 和 MARS 的优点是这两个模型都是非参数模型,并且能够处理高度复杂的非线性关系。具体来说,MARS 模型可以在模型中包含潜在的交互作用。然而,由于模型的复杂性、耗时的计算和高度的过拟合倾向是这两种模型的局限性。对于 KNN 模型,当 k 很大时,预测可能不准确。

### GAM
se.see(1)
md.gam<- ran(x =trainDta %%dplr::slect(-qal),
y = traiat$ual,
thod = "am",
metri = "RO",
trCotrol = ctrl)
moel.gm$finlMdel

summary(mel.gam)

# 建立混淆矩阵
test.pr.pob3 - prdict(mod.ga nwdata =tstData,
tye = "prb")
testped3 - rep"good" legt(test.predpob3$goo))
testprd3[test.predprob3good < 0.5] <- "poo
referetv = "good")

 

model.mars$finalModel

vpmodl.rs$inlodel)

 

# 绘制测试ROC图
ocmas <- roctestataqua, tes.pred.rob4god)
## Stting level: conrol = god, case= poor
## Settig diectio: cntrols> case
plot(ro.mars legac.axes = TRE, prin.auc= RUE)
plot(soothroc.mars), co = 4, ad =TRUE)

 


errr.tria.mas <-man(tainat$qul ! trai.red.ars)
### KNN
Grid < epa.gri(k seq(from = 1, to = 40, by = 1))
seted(1
fknnrainqual ~.,
dta = trnData,
mthd ="knn"
metrrid = kid)
ggplot(fitkn

 

# 建立混淆矩阵
ts.re.po7 < prdi(ft.kn, ewdt = estDaa
type = "prb"

 


### QDA
seteed1)%>% pyr:c-ual),
y= trataq
ethod "d"
mric = "OC",
tContol =ctl)
# 建立混淆矩阵
tet.pprob <-pedct(mol.da,nedaa = teDta,
te = "pb")
testred6<- rep(o", leng(est.ped.pob6$goo))

 

 

 

树方法


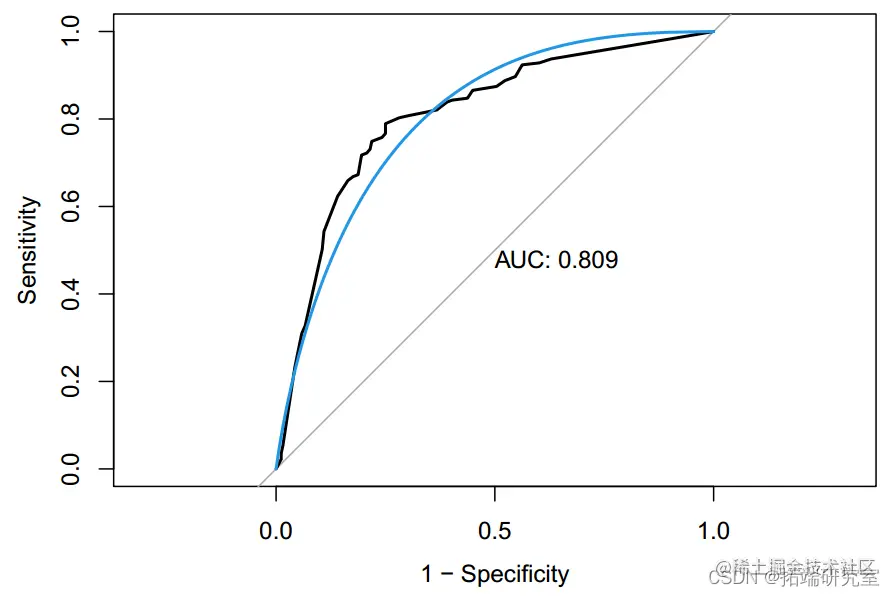
基于分类树,最大化AUC时最终的树大小为41。测试错误率为 0.24,ROC 为 0.809。此分类树的准确度为 0.76(95%CI:0.72-0.80)。我们还进行了随机森林方法来研究变量的重要性。因此,酒精是最重要的变量,其次是硫酸盐、挥发性酸度、总二氧化硫、密度、氯化物、固定酸度、柠檬酸、游离二氧化硫和残糖。pH 是最不重要的变量。对于随机森林模型,测试错误率为 0.163,准确率为 0.84(95%CI:0.80-0.87),ROC 为 0.900。树方法的一个潜在限制是它们对数据的变化很敏感,即数据的微小变化可能引起分类树的较大变化。

# 分类
ctr <- tintol(meod ="cv", number = 10,
smmryFuton= twoClassSma
et.se(1
rart_grid = a.fra(cp = exp(eq(10,-, len =0)))
clsste = traqua~., rainDta,
metho ="rprt
tueGrid = patid,
trCtrl  cr)
ggt(class.tee,highight =TRE)

## 计算测试误差
rpartpred = icla.te edta =testata, ye = "aw)
te.ero.sree = mean(testa$a !=rartpre)
rprred_trin  reic(ss.tre,newdta = raiata, tye  "raw")

# 建立混淆矩阵
teste.pob8 <-rdic(cste, edata =tstData,pe = "po"
tet.pd8 - rpgod" legthtetred.rb8d))


# 绘制测试ROC图
ro.r <-oc(testaual, tstedrob$od)
pot(rc.ctreegy.axes  TU pit.a = TRE)
plo(ooth(c.tre, col= 4, ad = TRE

 

# 随机森林和变量重要性
ctl <traontr(mthod= "cv, numbr = 10,
clasPos = RUEoClssSummry)
rf.grid - xpa.gr(mt = 1:10,
spltrule "gini"
min.nd.sie =seq(from = 1,to  12, by = 2))
se.sed(1)
rf.fit <- inqual
mthd= "ranger",
meric = "ROC",
 = ctrl
gglt(rf.it,hiliht  TRE)


scle.ermutatin.iportace  TRU)
barplt(sort(rangr::imoranc(random

 

 

支持向量机

我们使用带有线性核的 SVM,并调整了成本函数。我们发现具有最大化 ROChad 成本的模型 = 0.59078。该模型的 ROC 为 0.816,准确度为 0.75(测试误差为 0.25)(95%CI:0.71-0.79)。质量预测最重要的变量是酒精;挥发性酸度和总二氧化硫也是比较重要的变量。如果真实边界是非线性的,则具有径向核的 SVM 性能更好。

st.seed(
svl.fi <- tain(qual~ . ,
data = trainData
mehod= "mLar2",
tueGri = data.frae(cos = ep(seq(-25,ln = 0))

 

 

 

 

## 带径向核的SVM
svmr.grid  epand.gid(C = epseq(1,4,le=10)),
iga = expsq(8,len=10)))
svmr.it<- tan(qual ~ .,
da = taiDataRialSigma",
preProcess= c("cer" "scale"),
tunnrol = c)

 

 

 

模型比较  

模型建立后,我们根据所有模型的训练和测试性能进行模型比较。下表显示了所有模型的交叉验证分类错误率和 ROC。结果中,随机森林模型的 AUC 值最大,而 KNN 最小。因此,我们选择随机森林模型作为我们数据的最佳预测分类模型。基于随机森林模型,酒精、硫酸盐、挥发性酸度、总二氧化硫和密度是帮助我们预测葡萄酒质量分类的前 5 个重要预测因子。由于酒精、硫酸盐和挥发性酸度等因素可能决定葡萄酒的风味和口感,所以这样的发现符合我们的预期。在查看每个模型的总结时,我们意识到KNN模型的AUC值最低,测试分类错误率最大,为0.367。其他九个模型的 AUC 值接近,约为 82%。

rsam = rsmes(list(

summary(resamp)

comrin = sumaryes)$satitics$RO
r_quare  smary(rsamp)saisis$sqre
kntr::ableomris[,1:6])

 

bpot(remp meic = "ROC")

 

f<- datafram(dl_Name, TainError,Test_Eror, Tes_RC)
knir::abe(df)

结论

模型构建过程表明,在训练数据集中,酒精、硫酸盐、挥发性酸度、总二氧化硫和密度是葡萄酒质量分类的前 5 个重要预测因子。我们选择了随机森林模型,因为它的 AUC 值最大,分类错误率最低。该模型在测试数据集中也表现良好。因此,这种随机森林模型是葡萄酒品质分类的有效方法。 


关于作者

image.png

在此对Donglei Niu对本文所作的贡献表示诚挚感谢,他在上海大学完成了运筹学与最优控制的硕士学位,专注机器学习算法、数学建模领域。擅长Python、R语言、Matlab。


最受欢迎的见解

1.PYTHON用户流失数据挖掘:建立逻辑回归、XGBOOST、随机森林、决策树、支持向量机、朴素贝叶斯模型和KMEANS聚类用户画像

2.R语言基于树的方法:决策树,随机森林

3.python中使用scikit-learn和pandas决策树

4.机器学习:在SAS中运行随机森林数据分析报告

5.R语言用随机森林和文本挖掘提高航空公司客户满意度

6.机器学习助推快时尚精准销售时间序列

7.用机器学习识别不断变化的股市状况——隐马尔可夫模型的应用

8.python机器学习:推荐系统实现(以矩阵分解来协同过滤)

9.python中用pytorch机器学习分类预测银行客户流失