机器学习算法(一): 基于逻辑回归的分类预测-Task01

154 阅读3分钟

 基于逻辑回归LR的分类预测

1.逻辑回归的介绍

Logistic Regression 虽然被称为回归,但其实际上是分类模型,并常用于二分类。Logistic Regression 因其简单、可并行化、可解释强深受工业界喜爱。

Logistic 回归的本质是:假设数据服从这个分布,然后使用极大似然估计做参数的估计。其最为突出的两点就是其模型简单模型的可解释性强

逻辑回归模型的优劣势:

  • 优点:实现简单,易于理解和实现;计算代价不高,速度很快,存储资源低;
  • 缺点:容易欠拟合,分类精度可能不高

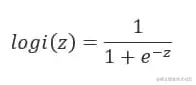
2.逻辑回归原理

Logistic回归是一种分类方法,主要用于二分类,使用了Logistic函数(或称为Sigmoid函数):

在这里插入图片描述​编辑

对应的函数图像:

​编辑

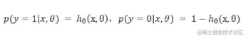
当z≥0 时,y≥0.5,分类为1,当 z<0时,y<0.5,分类为0,其对应的y值我们可以视为类别1的概率预测值。

在这里插入图片描述​编辑

可得

在这里插入图片描述​编辑

逻辑回归如何根据样本点获得决策边界呢?观察sigmoid函数,当g(z)>0.5时,z>0。g(X^T * W)>0.5, X^T * W>0,此时意味着预估y=1。

所以认为X^T * W = 0 是一个决策边界,当它大于或小于0时,逻辑回归模型分别预测不同的分类结果。只要g(z)中z设计足够合理,就能在不同情形下拟合出不同的决策边界,从而把不同的样本点分隔开来。
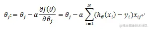
通过求导,还可以得到逻辑回归的损失函数:

在这里插入图片描述​编辑

计算所有样本的代价:

在这里插入图片描述​编辑

有了代价函数就能通过梯度下降的方式,迭代更新,获得最优参数:

在这里插入图片描述​编辑

这里的θ即为权重参数W。
整个过程其实是不断将点x(X1, X2)进行几何坐标变换的。
第一步将分布在整个二维平面的点x(X1, X2)通过线性投影映射到一维直线上成为点x(z);
第二步将分布在整个一维直线的点x(z)通过sigmoid函数映射到一维线段(0, 1)中成为点x(g(z));
第三步将所有点的坐标通过损失函数统一计算成一个值,如果这是最小值,相应的参数就是我们需要的理想值。
对于模型的训练而言:实质上来说就是利用数据求解出对应的模型的特定的ω。从而得到一个针对于当前数据的特征逻辑回归模型。
而对于多分类而言,将多个二分类的逻辑回归组合,即可实现多分类。

3.LR实战

第一步 库函数的导入

库函数的导入(包括导入基础函数库、导入画图库、导入逻辑回归模型函数),代码如下:

import numpy as np
import matplotlib.pyplot as plt
import seaborn as sns
from sklearn.linear_model import LogisticRegression

模型训练(包括构造数据集、调用逻辑回归模型、拟合构造的数据集),代码如下:

x_fearures = np.array([[-1, -2], [-2, -1], [-3, -2], [1, 3], [2, 1], [3, 2]])
y_label = np.array([0, 0, 0, 1, 1, 1])
lr_clf = LogisticRegression()
lr_clf = lr_clf.fit(x_fearures, y_label)

第二步 参数查看 和 模型可视化

参数查看(包括 查看其对应模型的回归权w、截距w0),代码如下:

print('the weight of Losgistic Regression:',lr_clf.coef_)
print('the intercept(w0) of Logistic Regression:',lr_clf.intercept_)

结果: the weight of Losgistic Regression: [[0.73462087 0.6947908 ]]
the intercept(w0) of Logistic Regression: [-0.03643213]

模型可视化(1 画散点图、取标题),代码如下:

plt.figure()
plt.scatter(x_fearures[:,0],x_fearures[:,1], c=y_label, s=50, cmap='viridis')
plt.title('ShuJuJi')
plt.show()

出图

​编辑

模型可视化(2 可视化决策边界),代码如下:

plt.figure()
plt.scatter(x_fearures[:,0],x_fearures[:,1], c=y_label, s=50, cmap='viridis')
plt.title('ShuJuJi')

nx, ny = 200, 100
x_min, x_max = plt.xlim()
y_min, y_max = plt.ylim()
x_grid, y_grid = np.meshgrid(np.linspace(x_min, x_max, nx),np.linspace(y_min, y_max, ny))
z_proba = lr_clf.predict_proba(np.c_[x_grid.ravel(), y_grid.ravel()])
z_proba = z_proba[:, 1].reshape(x_grid.shape)

plt.contour(x_grid, y_grid, z_proba, [0.5], linewidths=3., colors='red')
plt.show()

出图

​编辑

本模型可视化(3 可视化预测新样、训练样本、可视化决策边界),代码如下:

### 可视化预测新样本

plt.figure()
## new point 1
x_fearures_new1 = np.array([[0, -1]])
plt.scatter(x_fearures_new1[:,0],x_fearures_new1[:,1], s=50, cmap='viridis')
plt.annotate(s='New point 1',xy=(0,-1),xytext=(-2,0),color='blue',arrowprops=dict(arrowstyle='-|>',connectionstyle='arc3',color='red'))

## new point 2
x_fearures_new2 = np.array([[1, 2]])
plt.scatter(x_fearures_new2[:,0],x_fearures_new2[:,1], s=50, cmap='viridis')
plt.annotate(s='New point 2',xy=(1,2),xytext=(-1.5,2.5),color='red',arrowprops=dict(arrowstyle='-|>',connectionstyle='arc3',color='red'))

## 训练样本
plt.scatter(x_fearures[:,0],x_fearures[:,1], c=y_label, s=50, cmap='viridis')
plt.title('ShuJuJi')

# 可视化决策边界
plt.contour(x_grid, y_grid, z_proba, [0.5], linewidths=3., colors='red')

plt.show()

第三步 模型预测

在训练集和测试集上分布利用训练好的模型进行预测,代码如下:

y_label_new1_predict = lr_clf.predict(x_fearures_new1)
y_label_new2_predict = lr_clf.predict(x_fearures_new2)

print('The New point 1 predict class:\n',y_label_new1_predict)
print('The New point 2 predict class:\n',y_label_new2_predict)

结果: The New point 1 predict class:[0]
The New point 2 predict class:[1]

由于逻辑回归模型是概率预测模型(前文介绍的 p = p(y=1|x,\theta)),所有我们可以利用 predict_proba 函数预测其概率,代码如下:

y_label_new1_predict_proba = lr_clf.predict_proba(x_fearures_new1)
y_label_new2_predict_proba = lr_clf.predict_proba(x_fearures_new2)

print('The New point 1 predict Probability of each class:\n',y_label_new1_predict_proba)
print('The New point 2 predict Probability of each class:\n',y_label_new2_predict_proba)

结果: The New point 1 predict Probability of each class:
[[0.67507358 0.32492642]]
The New point 2 predict Probability of each class:
[[0.11029117 0.88970883]]

基于鸢尾花(iris)数据集的逻辑回归分类实践

首先第一步,导入一些基础的函数库包括:numpy (Python中用于数值计算方面的软件包,不导入也可以,只是为了简便,比如可以少用很多for循环之类的),pandas(主要是表格方面数据分析和处理的软件包),matplotlib和seaborn(绘图的软件包)。

Step1:库函数导入

import numpy as np 
import pandas as pd

【注】np就是numpy库的缩写,pd同理。这两句就是通用写法,基本都是这样套路开头。

import matplotlib.pyplot as plt
import seaborn as sns

【注】这里也是同样做法,导入绘图的库。

Step2:数据读取/载入

本次我们选择鸢尾花数据(iris)进行方法的尝试训练,该数据集一共包含5个变量,其中4个特征变量,1个目标分类变量。共有150个样本,目标变量为 花的类别 其都属于鸢尾属下的三个亚属,分别是山鸢尾 (Iris-setosa),变色鸢尾(Iris-versicolor)和维吉尼亚鸢尾(Iris-virginica)。

鸢尾花有四个特征,分别是花萼长度(cm)、花萼宽度(cm)、花瓣长度(cm)、花瓣宽度(cm),这些形态特征在过去被用来识别物种。

变量描述
sepal length花萼长度(cm)
sepal width花萼宽度(cm)
petal length花瓣长度(cm)
petal width花瓣宽度(cm)
target鸢尾的三个亚属类别,山鸢尾'setosa'(0), 变色鸢尾'versicolor'(1), 维吉尼亚鸢尾'virginica'(2)
## 我们利用 sklearn 中自带的 iris 数据作为数据载入,并利用Pandas转化为DataFrame格式
from sklearn.datasets import load_iris
data = load_iris() #得到数据特征
iris_target = data.target #得到数据对应的标签
iris_features = pd.DataFrame(data=data.data, columns=data.feature_names) #利用Pandas转化为DataFrame格式

【注】from sklearn.datasets import load_iris就是导入机器学习(sklearn)自带的鸢尾花(iris)数据。其他步骤就是## 的代码注释对应的意思。columns是列名称。

Step3:数据信息简单查看

①利用.info()查看数据的整体信息

iris_features.info()

【注】info()就是获取header的基本信息(维度、列名称、数据格式、所占空间等):,括号里可以填具体的数字。

输出结果:

​编辑

参考链接:机器学习-back_天池notebook-阿里云天池

Task01 基于逻辑回归的分类预测_叶锦小兴的博客-CSDN博客