C语言实现二叉树

1,408 阅读13分钟

“我正在参加「掘金·启航计划」”

引言

上篇文章介绍了树和二叉树的一些概念与定义。

本篇文章将讲解二叉树的算法实现。

二叉树的遍历算法

先序遍历算法

先序遍历的实现方式在前面已经说过了,比如下面的一棵二叉树: 在这里插入图片描述

我们需要先访问根结点A,然后以先序遍历的方式遍历左子树,左子树同样是一棵二叉树,以同样的方式访问根结点B,然后先序遍历B的左子树,会发现,这是一个递归的过程,所以我们可以通过递归实现。 先序遍历算法实现如下:

void PreOrderTraverse(BiTree t){
	//判断当前结点是否为空
	if(t == NULL){
		return;
	}
	//输出根结点
	printf("%c\t",t->data);
	//先序遍历左子树
	PreOrderTraverse(t->lchild);
	//先序遍历右子树
	PreOrderTraverse(t->rchild);
}

代码实现非常简单,但是需要一定的时间理解: 我们首先传入二叉树的根结点,根结点不为空,所以输出A,此时调用自身,将左孩子传入,此时将先序遍历左子树。 传入结点B依然不为空,此时输出B,然后又调用自身,将结点B的左孩子传入,此时将先序遍历结点B的左子树。 传入结点D依然不为空,此时输出D,然后又调用自身,将结点D的左孩子传入,此时左孩子为空,所以函数返回,返回后就执行先序遍历右子树,传入的右孩子仍然为空,此时继续返回,先序遍历结点B的右孩子。 以此类推,注意理解。

我们来测试一下,因为刚刚接触遍历算法,所以这里,我们通过一个比较笨的方式实现二叉树,然后调用先序遍历函数:

int main(){
	//创建根结点
	BiTree root = (BiTree) malloc(sizeof(BiNode));
	root->data = 'A';

	//创建根结点的左孩子
	root->lchild  = (BiTree) malloc(sizeof(BiNode));
	root->lchild->data = 'B';

	//创建根结点的右孩子
	root->rchild  = (BiTree) malloc(sizeof(BiNode));
	root->rchild->data = 'C';

	//创建根结点的左孩子的左孩子
	root->lchild->lchild  = (BiTree) malloc(sizeof(BiNode));
	root->lchild->lchild->data = 'D';

	//创建根结点的左孩子的右孩子
	root->lchild->rchild  = (BiTree) malloc(sizeof(BiNode));
	root->lchild->rchild->data = 'E';

	//根结点的右孩子无左右孩子
	root->rchild->lchild = NULL;
	root->rchild->rchild = NULL;

	//根结点的左孩子的左孩子无左右孩子
	root->lchild->lchild->lchild = NULL;
	root->lchild->lchild->rchild = NULL;

	//根结点的左孩子右孩子无左右孩子
	root->lchild->rchild->lchild = NULL;
	root->lchild->rchild->rchild = NULL;

	//先序遍历
	PreOrderTraverse(root);
	return 0;
}

运行结果:

A B D E C

中序遍历算法

中序遍历和后序遍历的算法就不用分析了,过程是一样的,只不过是操作根结点的顺序变了。 中序遍历算法实现如下:

void InOrderTraverse(BiTree t){
	//判断当前结点是否为空
	if(t == NULL){
		return;
	}
	//先序遍历左子树
	InOrderTraverse(t->lchild);
	//输出根结点
	printf("%c\t",t->data);
	//先序遍历右子树
	InOrderTraverse(t->rchild);
}

后序遍历算法

后序遍历算法实现如下:

void PostOrderTraverse(BiTree t){
	//判断当前结点是否为空
	if(t == NULL){
		return;
	}
	//先序遍历左子树
	PostOrderTraverse(t->lchild);
	//先序遍历右子树
	PostOrderTraverse(t->rchild);
	//输出根结点
	printf("%c\t",t->data);
}

非递归遍历算法

遍历思想

前面介绍了三种遍历算法,都是通过递归实现的,虽然递归实现的代码量非常少,但是递归较难理解,而且空间消耗大,所以这里我也介绍一下遍历算法的非递归实现,具体想用哪种办法就看自己了。

这里以中序遍历算法的非递归实现作为例子重点讲述。 当然思想还是一样的,我们需要优先遍历左子树,然后访问根结点,最后访问右子树,既然是这样,根结点我们就需要先保存下来,这里可以用栈实现。 比如下面的这棵二叉树: 在这里插入图片描述 如何实现非递归的中序遍历呢?

中序遍历算法是先遍历左子树,然后访问根结点的,所以一开始传入根结点A,我们不能访问,此时将根结点A入栈,然后遍历根结点A的左子树。 在这里插入图片描述 此时以同样的方式遍历左子树,遇到左子树的根结点B,同样不能访问,将根结点B入栈,然后遍历根结点B的左子树。 在这里插入图片描述 我们接着遍历结点B的左子树,同样将根结点D入栈。 在这里插入图片描述 此时结点D无左孩子,这样就可以访问根结点了,对栈进行出栈操作,因为栈的特性,此时出栈结点为D。 在这里插入图片描述 然后遍历根结点D的右子树,因为结点D无右孩子,此时需要退回到结点B,这时候结点B的左子树已经遍历完了,可以访问根结点了,对栈进行出栈操作,出栈结点为B。 在这里插入图片描述 此时根结点A的左子树也遍历完了,又进行出栈操作,出栈结点为A。 在这里插入图片描述 以同样的方式遍历右子树,遇到结点C,先入栈,然后访问其左子树,结点C无左孩子,所以结点C出栈,接着遍历右子树,以此类推。

遍历结果为:D B A C E

算法实现

实现思想讲解清楚了,接下来是算法实现,在实现这个算法之前我们还需要实现一个栈结构,这里采用顺序栈。

#define TElemType char
int top=-1;//top变量时刻表示栈顶元素所在位置
//构造结点的结构体
typedef struct BiTNode{
    TElemType data;//数据域
    struct BiTNode *lchild,*rchild;//左右孩子指针
}BiTNode,*BiTree;

//前序和中序遍历使用的进栈函数
void push(BiTNode** a,BiTNode* elem){
    a[++top]=elem;
}
//弹栈函数
void pop( ){
    if (top==-1) {
        return ;
    }
    top--;
}
//模拟操作结点元素的函数,输出结点本身的数值
void displayElem(BiTNode* elem){
    printf("%c ",elem->data);
}
//拿到栈顶元素
BiTNode* getTop(BiTNode**a){
    return a[top];
}

//中序遍历非递归实现
void InOrderTraverse(BiTree Tree){
    BiTNode* a[20];//定义一个顺序栈
    BiTNode * p;//临时指针
    p=Tree;
    //当p为NULL并且栈为空时,表明树遍历完成
    while (p != NULL || top!=-1) {
        //如果p不为NULL,将其压栈并遍历其左子树
        if (p != NULL) {
            push(a, p);
            p=p->lchild;
        }
        //如果p==NULL,表明左子树遍历完成,需要遍历上一层结点的右子树
        else{
            p=getTop(a);
            pop();
            displayElem(p);
            p=p->rchild;
        }
    }
}

层次遍历算法

层次遍历算法是通过二叉树的层次决定的,如下面的一棵二叉树: 在这里插入图片描述 它的层次遍历结果为:A B C D E,即从上到下,从左到右进行遍历。 对于层次遍历,我们可以使用队列实现。 首先传入根结点A,此时将根结点A入队,然后就可以执行出队操作,出队结点为A; 在这里插入图片描述 出队之后判断根结点A是否有左右孩子,如果有,则将结点B、C分别入队,然后执行出队操作,由于队列的特性,出队结点为B; 在这里插入图片描述 结点B出队之后判断结点B是否有左右孩子,有左孩子,则入队,然后执行出队操作,出队结点为C; 在这里插入图片描述 继续判断结点C是否有左右孩子,结点C有右孩子E,将结点E入队,然后执行出队操作,出队结点为D; 在这里插入图片描述 判断结点D是否有左右孩子,结点D无左右孩子,直接执行出队操作,出队结点为E; 结点E也无左右孩子,而队列也已经空了,此时遍历完成。

该算法和刚才介绍的非递归遍历算法有异曲同工之妙,这里就不具体写出该算法了,大家可以尝试着自己实现一下。

先序遍历建立二叉树算法

在学习遍历算法的时候,还记得我们是如何建立二叉树的吗?

int main(){
	//创建根结点
	BiTree root = (BiTree) malloc(sizeof(BiNode));
	root->data = 'A';

	//创建根结点的左孩子
	root->lchild  = (BiTree) malloc(sizeof(BiNode));
	root->lchild->data = 'B';

	//创建根结点的右孩子
	root->rchild  = (BiTree) malloc(sizeof(BiNode));
	root->rchild->data = 'C';

	//创建根结点的左孩子的左孩子
	root->lchild->lchild  = (BiTree) malloc(sizeof(BiNode));
	root->lchild->lchild->data = 'D';

	//创建根结点的左孩子的右孩子
	root->lchild->rchild  = (BiTree) malloc(sizeof(BiNode));
	root->lchild->rchild->data = 'E';

	//根结点的右孩子无左右孩子
	root->rchild->lchild = NULL;
	root->rchild->rchild = NULL;

	//根结点的左孩子的左孩子无左右孩子
	root->lchild->lchild->lchild = NULL;
	root->lchild->lchild->rchild = NULL;

	//根结点的左孩子右孩子无左右孩子
	root->lchild->rchild->lchild = NULL;
	root->lchild->rchild->rchild = NULL;

	return 0;
}

可以看到,这个方法非常麻烦,但是建立算法又建立在遍历算法之上,所以我们应该先掌握遍历算法,再来学习建立算法。

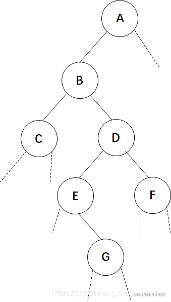
先序遍历建立算法即通过一个先序的遍历序列建立出一棵二叉树,比如下面的一个先序序列: A B C D E G F 需要注意的是,单凭这个先序序列并不能唯一确定一棵二叉树。 在这里插入图片描述 比如这两棵二叉树的先序遍历结果均为:A B C D E G F。 所以我们需要对这棵二叉树进行补充,补充一些空结点,然后按照顺序进行建立: 在这里插入图片描述 先序遍历建立二叉树算法实现如下:

BiTree CreateBiTreePre(){
	BiTree root;
	char ch;
	printf("请输入结点数据:\n");
	scanf("%c",&ch);
	getchar(); //接收一个回车
	if(ch == '#'){
		root = NULL;
	}else{
		//创建结点
		root = (BiTree) malloc(sizeof(BiNode));
		root->data = ch;
		//递归建立左子树
		root->lchild = CreateBiTreePre();
		//递归建立右子树
		root->rchild = CreateBiTreePre();
	}
	return root;
}

测试一下:

int main(){
	BiTree root;
	//先序建立二叉树
	root = CreateBiTreePre();

	printf("先序遍历:");
	PreOrderTraverse(root);
	printf("\n");
	printf("中序遍历:");
	InOrderTraverse(root);
	printf("\n");
	printf("后序遍历:");
	PostOrderTraverse(root);
	return 0;
}

运行程序,输入:A B C # # D E # G # # F # # # 运行结果:

先序遍历:A      B       C       D       E       G       F
中序遍历:C      B       E       G       D       F       A
后序遍历:C      G       E       F       D       B       A

遍历二叉树算法的应用

下面介绍一下遍历二叉树算法的应用。

复制二叉树

通过遍历一棵二叉树,我们能够将一棵二叉树复制到另一棵二叉树上。

BiTree CopyTree(BiTree t){
	BiTree newT;
 	if(t == NULL){ 
 		return NULL;
 	}else{
 		//创建新结点
  		newT = (BiTree) malloc(sizeof(BiNode));
  		if(newT == NULL){
  			exit(-1);
  		}
  		//复制结点的数据域
 		newT->data = t->data;
 		//递归复制左子树
  		newT->lchild=CopyTree(t->lchild);
  		//递归复制右子树
  		newT->rchild=CopyTree(t->rchild);
  		return newT;
 	}
}

中序和后序复制二叉树的实现与其类似,不重复讨论。

计算二叉树的深度

遍历二叉树算法还可以用于计算二叉树的深度,算法如下:

int Depth(BiTree t){
	int m,n;
	//判断二叉树是否为空
	if(t == NULL){
		return 0;		//深度为0
	}
	//计算左子树深度
	m = Depth(t->lchild);
	//计算右子树深度
	n = Depth(t->rchild);
	//判断左右子树哪棵树深度最大,最后记得加1(加的是根结点)
	if(m > n){
		return m + 1;
	}else{
		return n + 1;
	}
}

这些算法都比较简单,就不一一分析了,看代码注释应该就能够理解了。

计算二叉树的结点总数

遍历算法因为要访问二叉树中的每个结点,所以它还能够用于计算结点总数,算法实现如下:

int GetNodeCount(BiTree t){
	if(t == NULL){	//若当前结点为NULL,返回0
		return 0;
	}
	//返回左子树结点数 + 右子树结点数 + 根结点
	return GetNodeCount(t->lchild) + GetNodeCount(t->rchild) + 1;
}

计算二叉树的叶子结点数

计算叶子结点数的方式和刚才的算法类似,下面是代码实现:

int GetLeafCount(BiTree t){
	if(t == NULL){	//若当前结点为NULL,返回0
		return 0;
	}
	if(t->lchild == NULL && t->rchild == NULL){
		//若当前结点无左右孩子,则表明是叶子结点
		return 1;
	}
	//返回左子树叶子结点数 + 右子树叶子结点数
	return GetLeafCount(t->lchild) + GetLeafCount(t->rchild);
}

线索二叉树的由来

先来看下面这棵二叉树: 在这里插入图片描述 这是二叉树存储结构中的二叉链表,其优点是能够很方便地找到任意结点的左右孩子,然而,它也有缺点:一般情况下,无法直接找到某个结点在某种遍历序列下的前驱结点和后继结点。

为了能够方便地找到任意结点的前驱和后继结点,我们可以在结点中保存其前驱和后继的结点地址,但如果为其增设两个指针域显然会牺牲很多空间,为此,我们可以利用二叉链表中的空指针域。

假设一棵具有n个结点的二叉树,其一共有2n个指针域,而n个结点的二叉树有n - 1个孩子结点,也就是说,该二叉树一共使用了n - 1个指针域用来指向左右孩子,这样就有n + 1个指针域是空着的,我们刚好可以利用这些指针域,用它们指向结点的前驱或者后继结点。

如何利用二叉链表中的空指针域

对于一棵二叉树的二叉链表结构,若某个结点的左孩子为空,则将空的左孩子指针域指向其前驱结点;同理,若某个结点的右孩子为空,则将空的友好孩子指针域指向其后继结点。我们将这种改变指向的指针称为"线索",加上了线索的二叉树称为线索二叉树。

看这样的一个例子,比如下面的一棵二叉树: 在这里插入图片描述 我们说二叉树的线索化是相对于某个遍历序列而言的,上面这棵二叉树的中序遍历结果为:C B E G D F A 则对于中序遍历序列来说,该如何实现线索化呢?

先看结点A,其右孩子指针域为空,此时我们应该利用起来这个空指针域,让其指向它的后继结点,而从中序遍历结果得知,结点A无后继结点,所以我们最后还是让结点A的右孩子指针域为空,不作处理。

再看结点C,其左右孩子指针域均为空,此时我们先处理左孩子指针域。从中序遍历结果得知,结点C无前驱结点,但其后继结点为B,所以我们不对左孩子指针域作处理,而让右孩子指针域指向结点B。 在这里插入图片描述 继续看结点E,其左孩子指针域为空,而其前驱结点为B,所以让其左孩子指针域指向结点B。 在这里插入图片描述 处理结点F和结点G的方式也是一样的,最后线索化完成的结果应为: 在这里插入图片描述 看到线索化后的二叉树,很多同学可能懵了,这么多的指针指向,到底哪些是指向前驱和后继结点的,哪些是指向孩子结点的呢?

为了区分,我们可以对二叉链表的结点结构增设两个标志域ltag和rtag,并作出如下约定:

  • ltag = 0,lchild指向该结点的左孩子
  • ltag = 1,lchild指向该结点的前驱
  • rtag = 0,rchild指向该结点的右孩子
  • rtag = 1,rchild指向该结点的后继

所以其结点结构应为:

typedef struct BiThrNode{
	char data;
	struct BiThrNode *lchild,*rchild;
	int ltag,rtag;	//标志域
}BiThrNode,*BiThrTree;

看下面的一棵二叉树: 在这里插入图片描述 对其进行先序线索化,先得出先序遍历结果:A B C D E,其线索化结果为: 在这里插入图片描述 其中序线索化结果为(中序遍历结果:B C A E D): 在这里插入图片描述 后序线索化就留给大家自己画一画了。