针对混合合作竞争环境下的多智能体演员-评论家网络

284 阅读7分钟

针对混合合作竞争环境下的多智能体演员-评论家网络

Multi-Agent Actor-Critic for Mixed Cooperative-Competitive Environments


摘要:

  • Q-learning受到环境non-stationarity的影响,策略梯度则受到随着智能体数量增加而增加。
  • 本文提出:
    • 一种适应演员-评论家网络方法,该方法考虑了其他agent的行动策略,并能够成功地学习需要复杂multi-agent 协调的策略。
    • 引入了一种训练方案,利用每个agent的策略集合,从而产生更健壮的multi-agent 策略。

介绍:

  • 传统的强化学习方法,如Q-Learning或策略梯度,不太适合多智能体环境。原因在于:

    1.随着训练的进行,每个agent的策略都在变化,从任何单个agent的角度来看,环境变得不稳定

    2.当需要多个agent协调时,策略梯度方法通常表现出非常高的变化。(一般可以使用基于模型的策略优化,它可以通过反向传播学习最优策略:这需要一个环境动态的可微分模型和有关agent之间相互作用的假设。但是这个解决方案应用于竞争环境还是有困难。)

  • 主要贡献

    • 提出通用多智能体学习算法

      1.学习策略时只使用在运行时的本地信息(比如自己的观测值)

      2.不去假设环境动态的可微分模型,也不去假设agent之间通信方法有任何特定结构 →对应于方法中的“参照其他agent的策略

      3.不仅适用于合作还适用于竞争以及合作-竞争的混合环境

    • 采用集中训练和分散执行的框架,允许策略使用额外的信息来简化训练,这些信息不在测试时使用

      提出适应演员-评论家网络方法:评论家增加关于其他agent策略的额外信息,而演员只能访问本地信息。训练后,在执行阶段只使用本地演员,以分散的方式执行

    • 其他贡献

      1.展示表明agent可以在线学习其他agent的近似模型,并在自己的策略学习过程中有效地使用它们

      2.介绍一种方法:通过训练具有集合策略的agent来提高多agent策略的稳定性,这需要合作和竞争的策略进行鲁棒交互


基础知识:

  • 困难

    • 由于agent在学习过程中会独立地更新策略,因此从任何一个agent的角度来看,环境都是非平稳的。
    • 经验回放缓冲区不能在这种环境中使用,因为P(ss,a,π1,,πN)P(ss,a,π1,,πN)P(s'|s,a,π_1,…,π_N)≠P(s'|s,a,π'_1,…,π'_N)
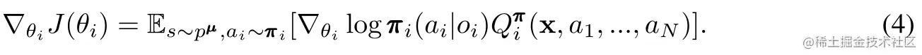
  • 策略梯度算法:image-20230625164707737,其中pπp^π为状态分布

  • 将策略梯度框架推广到确定性策略(DPG)算法μθμ_θ(S→A):image-20230625170119714,该算法要求动作空间和策略是连续的


方法

  • 多智能体演员-评论家网络
    • 概述image-20230625184045904

    • 评论家被其他agent的策略的额外信息所增强

    • 有N个agent,其策略参数为θ={θ1,,θNθ_1,…,θ_N} 令π={π1,,πNπ_1,…,π_N}是所有agent策略的集合

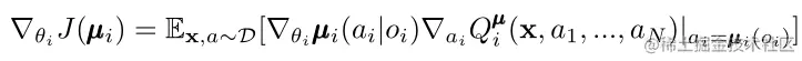
      agent i 的期望收益梯度:image-20230625164345341其中Qiπ(x,a1,,aN)Q{_i^π}(x,a_1,…,a_N)是集中的动作值函数,将所有agent的动作作为输入,加上一些状态信息x,输出agent i的q值。最简单的情况下,x由所有agent的观测值组成 x=(o1,,oNo_1,…,o_N)

      因为每个QiπQ{_i^π}是独立学习的,所以agent可以有任意的奖励结构

    • 拓展到确定性策略上,考虑N个连续性策略μiμ_i,梯度变成:image-20230625165544275,此时replay buffer为(x,x,a1,,aN,r1,,rN)(x,x',a_1,…,a_N,r_1,…,r_N),损失计算变为:image-20230625174053646其中u={uθ1,,uθN}u'=\{u_{θ’_1},…,u_{θ’_N}\}是具有延迟参数θiθ'_i的目标策略集合

  • 参照其他agent的策略:为了消除知道其他agent策略的假设,避免环境持续变化
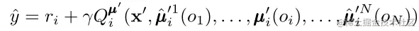
    • 每个agent i 维持一个对agent j 真实策略μjμ_j近似值μˆφijμˆ_{φ{_i^j}},其中φ是近似值参数。这个近似策略是通过学习最大化agent j动作的对数概率得来,并且使用熵正则化器image-20230625180203729,其中H是策略分布的熵。对于近似策略,y变为了image-20230625180347097

      在更新QiμQ{_i^μ}之前,从replay buffer中得到 每个agent j的最新样本,然后执行单个梯度步骤更新φijφ{_i^j};将每个agent动作的对数概率直接输入到Q中,而不采样。

  • 具有策略集合的agent:为了获得多代理策略,这种策略对于竞争关系agent的策略变化更具鲁棒性
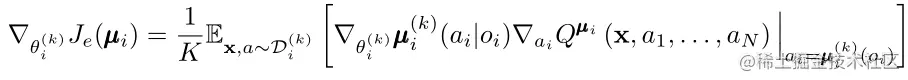
    • 训练K个不同的子策略,在每一轮随机为每个agent选择一个特定的子策略来执行。假设策略μiμ_i是有不同子策略k(记为μθi(k)μ_{θ{_i^{(k)}}} μi(k)μ{_i^{(k)}})的集合,对于agent i,我们将使集成目标最大化:image-20230625183234270,然后为每个agent i的每个子策略μi(k)μ{_i^{(k)}}放置一个replay bufferDi(k)D{_i^{(k)}},推导出集成目标梯度:image-20230625183455299

实验

  • 六种环境:
    • 合作通信:分为speaker和listener,在每轮中listener必须要走到一个特定颜色的地标,根据距离这个地标的距离获得奖励,但他不知道去哪个地标。speaker能得到具体的地标,可以在每一步为listener指明具体地标。“speaker必须学会根据listener的动作输出地标的颜色”——因为只有这样才能使得listener获得最大奖励,可能一开始speaker说的不对,但是根据listener的动作改变自己的说法。
    • 合作导航:多个agent要到达一组特定地点上,每个agent可观察到其他agent和地点的相对位置,根据每个地点的接近程度获得集体奖励(所有的agent必须覆盖尽量多的地点 ),agent相撞时会受到惩罚。
    • 抢占游戏:场景由L个地点组成,其中一个为目标地点。N个合作的agent知道目标地点并根据其与目标的距离获得奖励,而另外M个对抗agent必须阻止合作agent到达目标。可以将agent从地点上赶走,暂时占领它,对抗agent也会根据他们到目标地标的距离获得奖励,但并不知道正确的目标,这必须从合作agent的运动中推断出来。
    • 分身欺骗:有N个合作agent和N个地点,还有一个对抗对手,其中一个为目标地点。合作agent的奖励为任何一个agent到目标的最小距离(所以只有一个代理需要到达目标地点),但对手与目标的距离作为惩罚。一个对抗对手也希望到达目标地点,但对手不知道哪一个地点是正确的。因此,合作agent要学会分散并覆盖所有地标以欺骗对手。
    • 捕食者-猎物游戏:N个速度较慢的合作agent必须在随机环境中追逐速度较快的对手,环境中有障碍挡住前进的道路。每次合作agent与对手发生碰撞时,合作agent都会得到奖励,而对手则会受到惩罚。
    • 隐蔽通信(对抗性通信环境):其中说话agent(“Alice”)必须将消息传达给侦听agent(“Bob”),侦听agent必须重建消息。一个对抗性agent(“Eve”)也在观察并想要重建消息——Alice和Bob会因为Eve的重建而受到惩罚,因此Alice必须使用一个只有Alice和Bob知道的随机生成的密钥来编码消息。
  • 实验结果
    • 优化网络:相比于DDPG所有环境中均有所提升
    • 参照其他agent的策略:尽管不能完美地拟合其他agent的策略,但能够获得与使用真实策略相同的成功率,而不会显著减缓收敛速度
    • 策略集合:具有策略集合的agent比具有单一策略的agent更强大