m基于NOMA-CoMP系统的保密信道中断概率的matlab仿真

144 阅读5分钟

1.算法仿真效果

matlab2022a仿真结果如下:

90c65ee25f184b9f809287bb1e22714f_watermark,size_14,text_QDUxQ1RP5Y2a5a6i,color_FFFFFF,t_100,g_se,x_10,y_10,shadow_20,type_ZmFuZ3poZW5naGVpdGk=.png

  e119e06bb3a11a158e9773d52c6269d8_watermark,size_14,text_QDUxQ1RP5Y2a5a6i,color_FFFFFF,t_100,g_se,x_10,y_10,shadow_20,type_ZmFuZ3poZW5naGVpdGk=.png

2.算法涉及理论知识概要

        随着数字通信技术的不断发展,无线通信作为一种高效且灵活的通信方式,已经成为了现代社会中不可或缺的一部分。然而,随着通信技术的不断进步,网络安全问题也逐渐成为了无线通信领域中的热点问题之一。在保证通信质量的同时,如何保护通信内容的安全,成为了当前无线通信领域中的一个重大挑战。为了解决这个问题,近年来研究者们开始将非正交多址(NOMA)和联合传输(CoMP)技术应用于保密通信中。NOMA技术可以在同一频带上服务多个用户,提高频谱效率,并且可以利用功率分配策略来实现用户间的不同安全级别。CoMP技术可以协同多个基站来提高通信质量和安全性。本文将介绍基于NOMA-CoMP系统的保密信道中断概率的研究。

 

       NOMA技术是一种多址技术,它允许多个用户在同一频带上进行通信。与传统的频分多址技术(FDMA)和时分多址技术(TDMA)不同,NOMA技术不要求用户之间进行频带或时隙的分配,而是利用功率分配策略来实现用户之间的区分。具体来说,NOMA系统中,所有用户在同一频段上传输数据,但是每个用户被分配不同的功率水平,以便在接收端进行解码时,可以区分不同的用户。这种功率分配策略可以根据用户之间的不同需求进行优化,例如可以使高优先级用户分配更多的功率,从而提高其服务质量和安全性。

 

       CoMP技术是一种联合传输技术,它可以协同多个基站来提高通信质量和安全性。在传统的无线通信中,用户只能与最近的基站进行通信,这可能会导致网络中存在一些盲区或者容易受到干扰。CoMP技术通过协同多个基站来解决这个问题,它可以利用网络中所有的基站来提供更好的服务质量和更高的安全性。具体来说,CoMP系统中,多个基站可以协同工作,共同处理用户的数据,并向用户发送协同传输的信号。这种协同传输可以有效地减少干扰,提高通信质量和安全性。

 

       NOMA-CoMP系统是一种将NOMA技术和CoMP技术结合起来的保密通信系统。在NOMA-CoMP系统中,多个用户可以在同一频带上传输数据,同时利用功率分配策略和CoMP技术来实现用户之间的不同安全级别。具体来说,高优先级用户可以被分配更多的功率,并且可以利用多个基站进行协同传输,从而提高安全性和通信质量。对于低优先级用户,可以分配较少的功率,从而保证其在网络中的正常服务,但是相应的安全级别会降低。

 

       保密信道中断概率是衡量保密通信系统中通信中断的概率。在保密通信中,通信中断可能会导致用户数据泄露或者丢失,因此需要对保密信道中断概率进行精确的计算和分析。在NOMA-CoMP系统中,保密信道中断概率与多个因素有关,例如功率分配策略、干扰和协同传输等。因此,需要对这些因素进行详细的分析,从而对保密信道中断概率进行准确的估计。

 

        在NOMA-CoMP系统中,功率分配策略是影响保密信道中断概率的一个重要因素。具体来说,对于高优先级用户,需要分配更多的功率,以便保证其在网络中的服务质量和安全性。对于低优先级用户,可以分配较少的功率,但是需要保证其在网络中的正常服务。在实际应用中,功率分配策略需要根据用户之间的不同需求进行优化,从而实现最佳的保密信道中断概率。

 

      干扰是影响保密信道中断概率的另一个重要因素。在NOMA-CoMP系统中,由于多个用户共享同一频带,因此可能会存在干扰问题。干扰可能来自于其他用户或者外部环境,例如天气和电磁干扰等。在实际应用中,需要采用适当的干扰消除技术,例如频率选择性衰减、自适应干扰抑制和信号加权等,从而减少干扰对保密信道中断概率的影响。

 

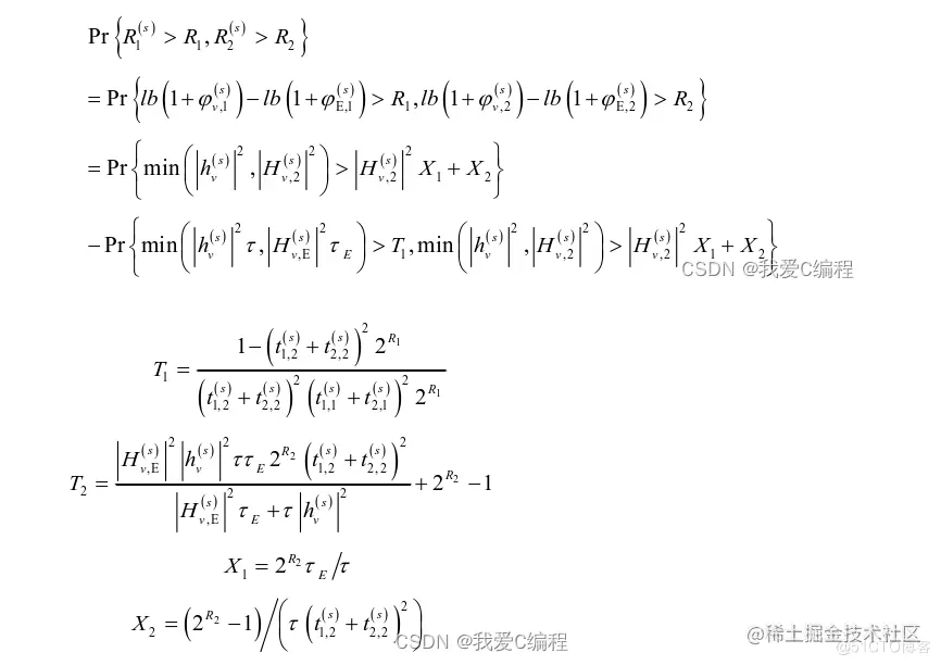
      协同传输是NOMA-CoMP系统中的另一个重要因素,它可以提高通信质量和安全性。在协同传输中,多个基站可以协同工作,共同处理用户的数据,并向用户发送协同传输的信号。这种协同传输可以有效地减少干扰,提高通信质量和安全性。在实际应用中,需要对协同传输进行精确的优化和调整,以实现最佳的保密信道中断概率。具体公式如下:

  32827e652fd027647a24047d0951da75_watermark,size_14,text_QDUxQ1RP5Y2a5a6i,color_FFFFFF,t_100,g_se,x_10,y_10,shadow_20,type_ZmFuZ3poZW5naGVpdGk=.png

 

3981eb823843e2c69445841d9638a84b_watermark,size_14,text_QDUxQ1RP5Y2a5a6i,color_FFFFFF,t_100,g_se,x_10,y_10,shadow_20,type_ZmFuZ3poZW5naGVpdGk=.png

 

3.MATLAB核心程序 `%定义信道参数H和h

            lemda1   = 0.5*sel(k);

            lemda2   = 0.5*sel(k);

            lemdaE   = 2*sel(k);

            tao      = 800;

            taoE     = 10^(-SNR(i)/10);

            X1       = 2^R2*taoE/tao;

            X2       = (2^R2-1)/(tao*(t12s + t22s)^2);

 

            x3       = lemda1X1 + lemda2X2 + lemdaE;

            %计算Pa

            Pa       = lemdaEexp(-1(lemda1 + lemda2)X2)/x3expx;%

            %计算Pb

            Pb       = lemdaEexp(-1(lemda1 + lemda2)X2)/x3exp(-x3*T1/taoE);

            Pout(k)  = 1-(Pa-Pb);

            tmps(k)  = (Pa-Pb);

        end

        ZD(i,j)  =  1-prod(tmps);

        ZD1(i,j) =  Pout(1);

        ZD2(i,j) =  Pout(2);

        ZD3(i,j) =  Pout(3);

        ZD4(i,j) =  Pout(4);

        ZD5(i,j) =  Pout(5);

        ZD6(i,j) =  Pout(6);

    end

end

 

 

%%

figure;

semilogy(SNR,mean(ZD,2),'-bs',...

    'LineWidth',1,...

    'MarkerSize',6,...

    'MarkerEdgeColor','k',...

    'MarkerFaceColor',[0.9,0.0,0.0]);

hold on

semilogy(SNR,mean(ZD1,2),'-mo',...

    'LineWidth',1,...

    'MarkerSize',6,...

    'MarkerEdgeColor','k',...

    'MarkerFaceColor',[0.5,0.9,0.0]);

hold on

semilogy(SNR,mean(ZD2,2),'-b^',...

    'LineWidth',1,...

    'MarkerSize',6,...

    'MarkerEdgeColor','k',...

    'MarkerFaceColor',[0.2,0.9,0.5]);

hold on

semilogy(SNR,mean(ZD3,2),'-r>',...

    'LineWidth',1,...

    'MarkerSize',6,...

    'MarkerEdgeColor','k',...

    'MarkerFaceColor',[0.9,0.9,0.0]);

 

hold on

semilogy(SNR,mean(ZD4,2),'-k<',...

    'LineWidth',1,...

    'MarkerSize',6,...

    'MarkerEdgeColor','k',...

    'MarkerFaceColor',[0.9,0.3,0.3]);

 

 

hold on

semilogy(SNR,mean(ZD5,2),'-m<',...

    'LineWidth',1,...

    'MarkerSize',6,...

    'MarkerEdgeColor','k',...

    'MarkerFaceColor',[0.4,0.9,0.3]);

 

 

hold on

semilogy(SNR,mean(ZD6,2),'-b<',...

    'LineWidth',1,...

    'MarkerSize',6,...

    'MarkerEdgeColor','k',...

    'MarkerFaceColor',[0.4,0.3,0.9]);`