机器学习:手撕 EM 算法

avatar
@海尔优家智能科技(北京)有限公司

本文首次发表于知乎,欢迎关注作者。

1. 前言

EM 算法是求解带有隐变量的最大似然估计的方法。常见的需要 EM 求解的模型有 GMM,HMM。甚至 K-mean 的迭代过程,也是 EM 的一个特例。本文尝试说明 EM 算法的基本原理,以及它在几个不同模型上的应用。学习 EM 的过程中比较曲折,经常出现” 翻开书,马冬梅;合上书,马冬啥” 的现象。对 EM 的理解一直不够深入,记得曾经老师对 EM 总结时说:EM 算法就像古代武林中的轻功,高手们左脚踩右脚,右脚踩左脚便不断的拔地而起了。当时理解不了这句话。整理出这篇文章,希望加深对 EM 的理解。文本尝试说明:

  • 隐变量给 MLE 带来哪些困难;

  • EM 算法的主要原理,包括 EM 算法的动机,以及如何求解 E 步和 M 步;

  • 解释 EM 算法中常见两种 q(z) 形式为什么是等价;

  • 用 EM 如何求解 GMM 模型;

  • 解释为什么 k-meams 是 GMM 的特例;

  • 用 EM 如何求解 HMM 模型;

如果不知道如何从 EM 的角度解释封面这张图,那么读完本文后,便知道封面这张图的含义了。

2. 隐变量给 MLE 带来的困难

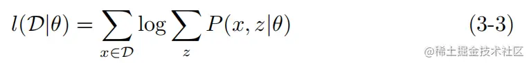
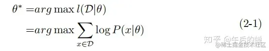
在机器学习任务中,常常会遇到概率密度估计的任务:即给我们一个数据集 D,其中数据集中每个元素 x∈R^d, 我们需要找到一个模型和模型的一组参数 θ,可以很好的描述数据集的概率密度 P(x|θ)。MLE(MaximumLikelihood Estimation) 是解决这类问题的方法之一,MLE 将密度估计问题看做一个优化问题,然后搜索到模型的一组参数,使模型对数据的拟合达到最好:

θ* 表示最优的参数,l(D|θ) 表示数据集 D 的对数似然函数。实际求解时会对式 2-1 取负号变为 NLL(negative log likelihood), 从而将最大化转化为最小化的问题, 然后采用基梯度 (gradient-based) 的优化方法,求解出式 2-1 的一个局部极小点。这里为了叙述方便,我们以 MLE 的原始形式说明。

但是 MLE 有一个天然的限制,它适用于“完全可观测”的数据集,即数据集中的元素 x∈R^d 包含了与问题相关的所有变量。与“完全可观测”数据集相对应的是“部分可观测”的数据集,即与问题相关的所有变量,只有部分变量是可观测的,存在一部分变量不可观测,其中不可观测的变量叫做隐变量

当 MLE 遇到带有隐变量 z( z∈R^d ) 的数据集 D 时,优化问题转化为如下形式:

式 2-2 相当于引入隐变量 z, 然后用全概率公式消掉参数 z。相比于式 2-1, 在式 2-2 中 log 里面多出了对 z 的求和项 (若 z 是连续变量,则是对 z 的积分),从而形成 logsum 的形式。因为 logsum 的出现,使式 2-2 不论在求和还是在=求导上,都会变得不方便计算。若是在计算过程中,不考虑隐变量 z, 虽然避免了计算上的不便,但对于明确存在隐变量的问题,在求解时不去考虑隐变量,那么求出的 p(x|θ) 效果也不会太好。

面对如式 2-2 这种不容易计算的 MLE 公式时,采用 EM 算法可以很方便的解决这个问题。

3. EM 算法的主要原理

3.1 EM 算法背后的动机

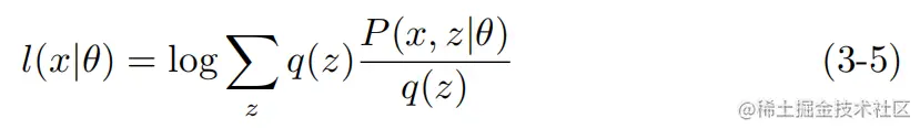
在介绍 EM 算法前,把式 2-2 中的 log-likelihood 提取出来:

为了方便说明,我们从数据集 D 中抽取一条数据 x, 计算一条数据的 log-likelihood:

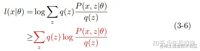
现在,我们假设存在一个关于隐变量 z 的概率质量分布 q(z)(如果是 z 是连续变量,则是概率密度函数), 我们在式 3-4 中同时乘一个 q(z) 和除一个 q(z),不改变结果:

在式 3-5 中 log 后面的部分可以看做是变量 \frac{P(x,z|\theta )}{q(z)} 关于分布 q(z) 的期望。这时,可以借用 Jenson’s inequality 在凹函数下形式"期望的函数大于等于函数的期望",便可以将 log 放到 ∑ 内部:

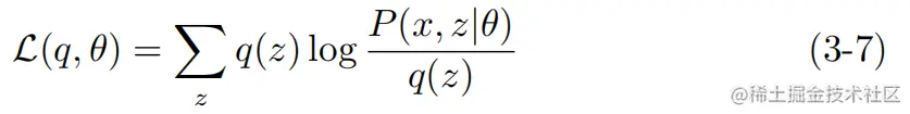
式 3-6 中红色的部分有一个专有名字 ELBO(Evidence lower bound), 即:

很容易看出 ELBO 是 l(x|\theta ) 的一个下界,即:

我们知道求解如式 3-4 这种 logsum 的形式比较困难,但求解式 3-7 这种 sumlog 的形式相对容易些。所以我们不再直接求解 log p(x|θ), 而是通过最大化 l(q|\theta ) , 近似最大化 log p(x|θ) 的值。这样优化问题也由原来:

转化为如下形式:

式 3-10 将最大化 ELBO 转化为两个子问题。第一个子问题,在 θ 固定的情况下,寻找一个 q(z) 使 L(q|\theta ) 最大,这步这称作 Expectation Step,即 E 步:

第二个子问题固定 q(z),寻找一个 θ 使 L(q|\theta ) 最大,这步称作 Maximization Step,即 M 步:

这两个子问题不断循环迭代,直到 ELBO 收敛。

3.2 如何求解 q(z)

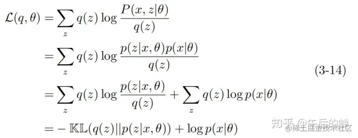
在求解 q(z) 前, 我们先进一步对 L(q|\theta ) 进行展开。由概率相关知识可知:

于是我们可以对 ELBO 进一步推导:

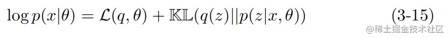
通过式 3-14 我们可以得到 L(q|\theta ) 和 log p(x|θ) 的等式关系:

通过散度的定义我们知道 KL ≥ 0, 结合式 3-15 我们知道当 KL = 0 时:

此时 L(q|\theta ) 取得最大值。由散度的相关知识可知, 当

时, 有:

这样我们便求解出 q(z)。

3.3 如何求解 θ

接下来在 \hat{q}(z) 已知的情况下,如何求解 θ,为了方便区分我们将 \hat{q}(z) 的参数用 \theta ^{old} 表示。把 L(q|\theta ) 以另外一种方式展开:

式 3-18 第三行的第二项是 \hat{q}(z) 的熵,它是一个常数量,与参数 θ 无关,所以可以舍去,得到第四行的表达式。第四行是“完全可观测”数据 log-likelihood 的表达式,所以可以用基于梯度的优化方法求解 θ。

3.4 EM 算法思路总结

首先带有隐变量的 log-likelihood 难以计算,EM 的思想是找到 log-likelihood 的下界 ELBO, 然后通过最大化 ELBO,间接增大 log-likelihood。然后在增大 ELBO 的过程中,通过两步迭代计算。通过上面的叙述,我们可以看到,在 E 步:

式 3-19 是在 θ, x 已知的条件下,对隐变量的推断,这是推断过程。同理当已知 q(z), 在 M 步我们求得:

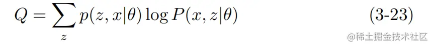
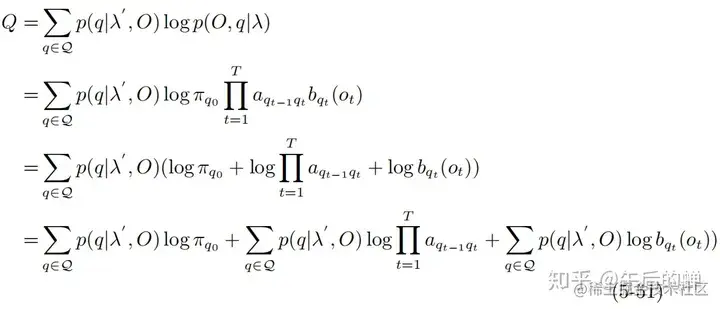
式 3-20 是求解参数 θ 的过程,而且在求解过程中,必须求解“完全可观测”数据的 log-likelihood,这个过程叫做学习过程。其中我们将式 3-20 中的最大化项定义为 Q 函数, 即:

式 3-21 表示“完全可观测”数据的 log-likelihood 相对于分布 q(z) 的期望。

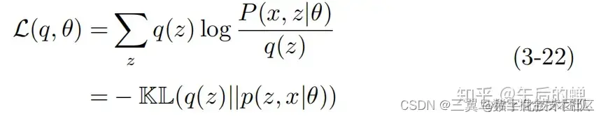
在有的文献中,会看到 \hat{q}(z) = p(z,x| \theta ), 其实这种表述与式 3-19 等价。若将 ELBO 直接看成散度:

最大化式 3-22 便可以得到 \hat{q}(z) = p(z,x|\theta) 。相应的 Q 函数变为

式 3-14 的推导过程相比式 3-22, 不仅可以求出 q(z), 而且还可以得到 ELBO 与 p(x|θ) 的定量关系 (如式 3-15 所示)。后面我们以 \hat{q}(z) = p(z,x|\theta) 的表达形式说明。

图 3-1 经常出现在 EM 相关文档中,我们也借助图 3-1 来说明下 EM 过程。图中,横坐标是 θ 值,纵坐标是对数似然值。

4. EM 求解 GMM 模型

4.1 GMM 介绍

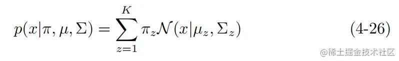
GMM(Gaussian Mixture Model) 是由多个高斯分布组成的混合分布,我们需要求它的概率密度。它的参数有三类:

  • 每个高斯模型占整体的比重,这是一个标量:\pi={\pi_1,\pi_2,\pi_3,...,\pi_K}

  • 每个高斯模型的均值,它的维度和 x 的维度相同:\mu={\mu_1,\mu_2,\mu_3,...,\mu_K}

  • 每个高斯模型的协方差矩阵:\Sigma ={\Sigma _1,\Sigma _2,\Sigma _3,...,\Sigma _K}

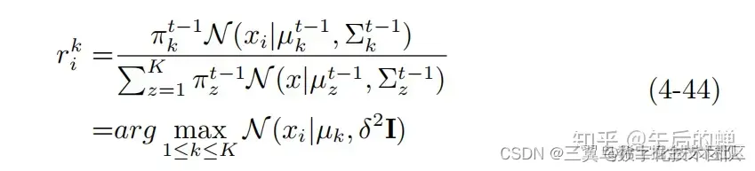
其中 K 是高斯混合模型的个数。在 GMM 中,可观测数据是 x ∈R^d , 其中数据 x_i 对应的隐变量的分布 q(z) 记作 r_i ,表示数据 x_i 来自每个高斯分布的概率分布:

根据 r_i^k 的定义,对于每一个数据点,我们有:

我们需要学习出一组参数 π, µ, Σ, 估计出整体概率密度:

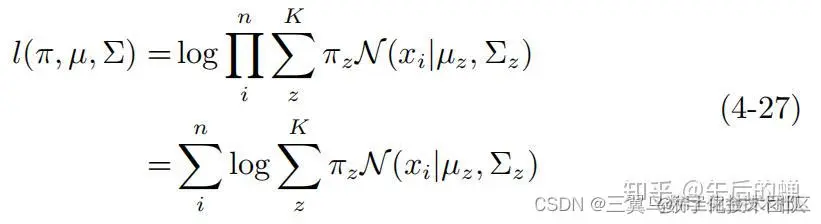
有可观测数据集 D={x_1,x_2,x_3,...,x_K},我们先计算下 GMM 的 log-likelihood:

可以看到 GMM 的 log-likelihood 式 4-27 化简出 log − sum 的形式,不方便直接计算。

4.2 求解 GMM

4.2.1 E 步

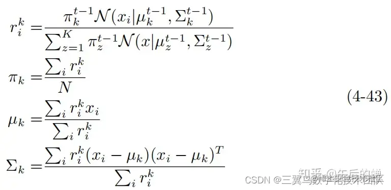
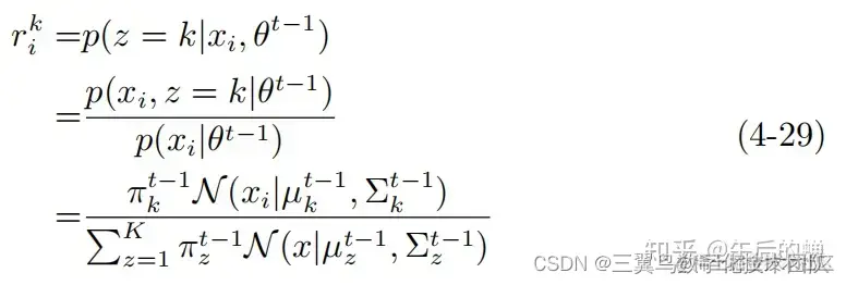
我们采用 EM 算法求解 GMM。根据 EM 算法,先初始化一组参数 \theta ^0={\pi ^0,\mu ^0,\Sigma ^0},先求隐变量的分布 q(z) ,E 步:

对应到 GMM 模型中,是数据 x_i 来自各个高斯分布的概率分布 r_i。比如求来自第 k 个高斯分布的概率 r_i^k :

在已知 \theta ^{t-1} 时,由式 4-29 可以很容易的求出 r_i

4.2.2 M 步

接下来我们计算 M 步,即已知 q(z) 时,求解参数 θ:

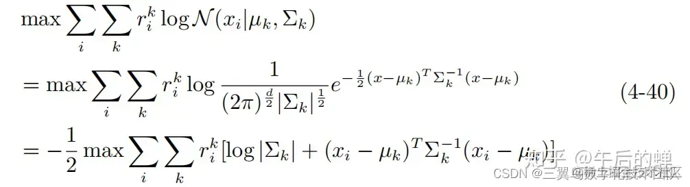
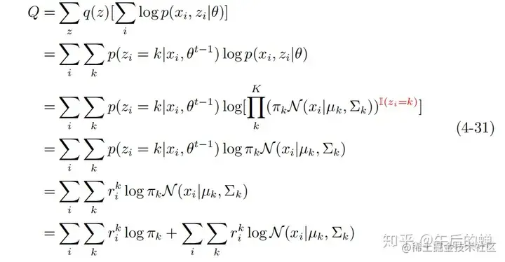
对应到 GMM 中是已知 r_i , 求解 {π, µ, Σ}, 我们先计算 GMM 的完全数据的 log-likelihood 的期望 Q,为了更好的理解 GMM 解的含义,我们记作 Q 为整个数据集 D 上的完全数据的 log-likelihood 的期望:

因为数据集 D 中,任意 2 条数据相互独立,他们在求 log-likelihood 时没有耦合,所以对他们的“对数似然的和求期望”,等价于“分别求期望后的和”,于是第一行的 \Sigma _i 可以提到最左侧。对于 GMM 模型,当知道完全数据 (x, z)时,完全数据的概率:

所以有了式 4-31 中第三行到第四行的变换。又因为 p(z_i =k|x_i,\theta _{t-1}) 已经在 E 步计算求出,直接带入,便得到式 4-31 的第五行,然后按照 log 的运算法则,得到式 4-31 最后一行。

求参数 π 通过式 4-31 可以看到参数 π 和参数 µ, Σ 相互独立,所以我们可以分别求解。由式 4-30,我们可以将 \pi _k 转化下面这个优化问题的解:

式 4-33 的拉格朗日函数:

其中 λ 是拉格朗日乘子,然后分别对 \pi _k,求导,并令导数为 0:

将式 4-35 变形得:

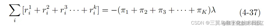
将式 4-36 前 K 个方程等号左右两边分别相加:

然后结合式 4-25, 可以求出:

其中 N 为数据总数。将式 4-38 代入 4-36, 求出 \pi _k :

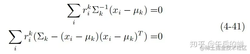
求参数 \mu _k\Sigma _k:因为参数 \mu _k\Sigma _k 没有额外的约束,比较容易求解,由式 4-31,可以将 \mu _k\Sigma _k 转化为下面这个优化问题的解 (忽略常数项):

分别对 \mu _k\Sigma _k 求偏导数, 并令偏导数为 0:

在求解 \Sigma _k 的偏导数时,用到了矩阵代数的相关知识,具体可以参考 [1]。求解式 4-41 可得:

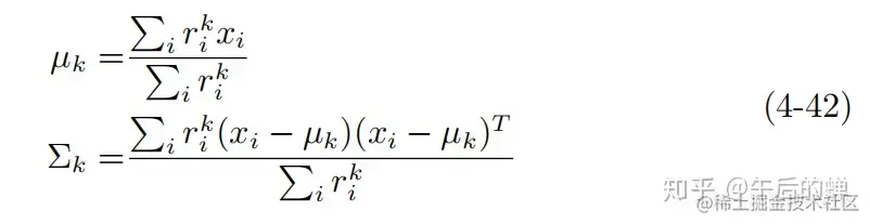
总结一下,在第 t 轮迭代中,GMM 的参数求解公式如下:

在式 4-43 中,包含和 E 步和 M 步,每次新求的参数用于下次迭代。

4.3 K-means 是 GMM 的特例

本小节主要解释为什么人们常说“K-means 是 GMM 的特例”。我们先回顾下 K-means 的计算过程:

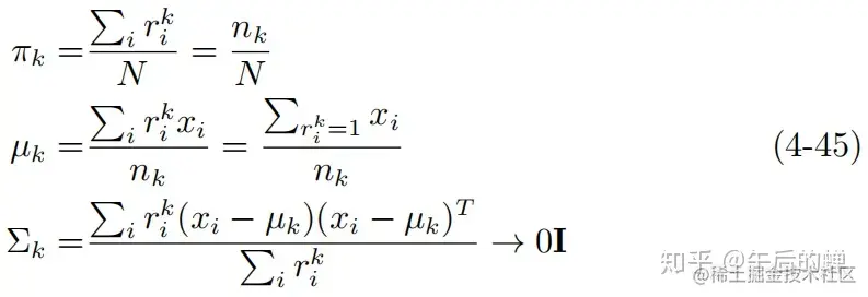
现在我们给 GMM 模型填加一个约束:每个高斯的形状为“圆形”,即在每个维度上数据分散程度一致,且具有相同的协方差矩阵, 即 \Sigma =\delta ^2I 。然后我们让 \delta ^2 → 0,直观上每个高斯分布的概率质量更集中, 如图 4-2。当 \delta ^2 小到一定程度,会出现每个点在某个特定的高斯分布上概率特别大,在其他高斯分布上概率很小,几乎为 0, 此时 4-43 中的 r_i^k 退化为 one-hot 向量:

r_i^k 为 one-hot 时,式 4-43 其他参数求解为:

式 4-45 中 n_k 表示落在第 k 个高斯分布中的点的个数,N 表示所有点的个数。 \mu _k 退化为第 k 个高斯分布中点的均值 (重心)。这时 EM 算法中的 E 步,即式 4-44 中 r_i^k 的求解过程对应 Kmeans 算法的“计算每个样本所属的类别”,EM 算法的 M 步,即式 4-45 中 \mu _k 的求解过程对应 Kmeans 算法的“更新类别中心”。此时受约束的 GMM 退化为 Kmeans 算法,所以说 Kmeans 算法是 GMM 算法的特例。

5. EM 求解 HMM 模型

5.1 HMM 基本概念

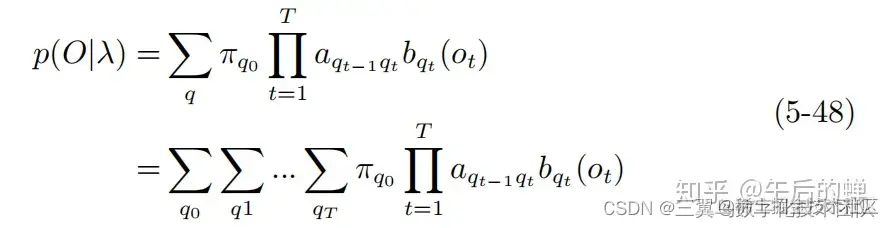
首先我们来回顾下 HMM 的基本概念。HMM 的模型如图 5-3 所示。HMM 是关于随机变量 {O1, O2, O3, ..., OT , Q1, Q2, Q3, ..., QT } 的联合概率密度模型。其中 Qt 表示隐变量,它是离散型数值。Ot 是观测变量,它既可以是离散的数值也可以是连续的数值。HMM 引入 2 个假设,使问题变得简化,容易求解:

在以上两种假设下,HMM 可以用三组参数表示:

  1. 转移概率矩阵 A={a_{i,j}}=p(Q_t=j|Q_{t-1}=i) ,表示 2 个隐变量的转移概率。若 Q 的取值有 N 种,则 A 是一个 N × N 的矩阵;

  2. 初始状态概率向量 \pi ={p(Q_1=i)},在 t=0 时刻,隐变量每个状态的概率。其中 π 的维度为 N;

  3. 观测概率矩阵 B={b_j(o_t)}=p(O_t=o_t|Q_t=j)。表示在 t 时刻,隐变量为 j 的条件下,观测变量为 o_t 的概率。其中 O_t 既可以是离散值也可以是连续值,为了方便说明问题,这里我们规定 O_t 为离散值,且维度为 M, 则 B 是 N × M 的矩阵;

这样 HMM 表示的概率密度可以写成:

因为隐变量序列 q 是 T 维度的向量,所以式中第二行是每个维度都展开后的表示,方便进一步理解。围绕 HMM 模型有三个基本的问题:

  1. 概率计算。给定模型参数 \lambda={A,B,\pi } 和观测数据 O={o_1,o_2,...o_T},求观测数据的概率 p(O|\lambda )

  2. 学习模型参数。已知观测数据 O={o_1,o_2,...o_T} ,学习一组模型参数 \lambda ={A,B,\pi }, 使观测数据 O 出现的概率 p(O|\lambda ) 最大;

  3. 预测隐变量。给定模型参数 λ 和观测序列 O,求出最有可能的隐变量序列 q={q_1,q_2,q_3,...q_T}

本文我们主要讲 EM 算法,所以我们只关注问题 2,看看通过 EM 算法,如何学习 HMM 的参数。

5.2 求解 HMM

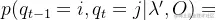
5.2.1 E 步

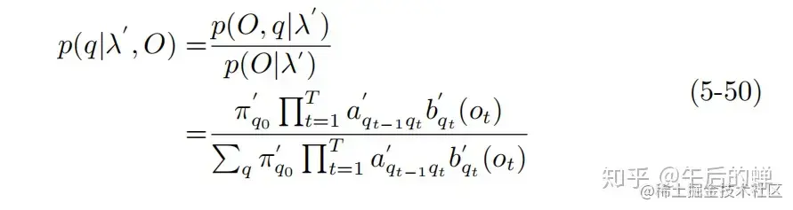
我们先初始化一组参数 \lambda ^0={A^0,B^0,\pi ^0} 。然后根据式 3-19 求解隐变量序列分布 q(z)。因为在 HMM 中我们已经用 q 表示隐变量序列了, 所以我们改用 p(q) 表示隐变量序列 q 的分布(注意这里的 q 是 T 维的向量):

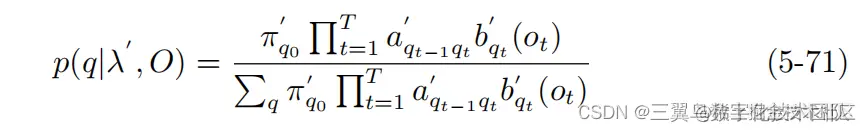
当知道前一时刻的参数 λ′ 和观测数据 O, 对于指定的任意一个隐变量序列 q, 很容易求出概率 p(q|λ′, O):

这样我们完成 E 步的求解,接下来求解 M 步。

5.2.2 M 步

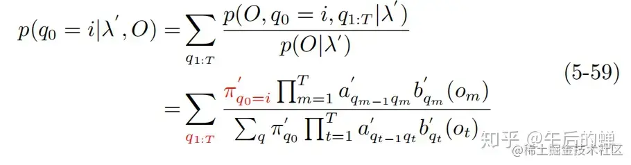
由式 3-20 和式 3-21。我们先计算 HMM 的 Q 函数:

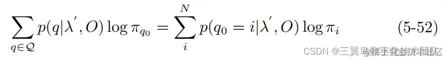
在式 5-51 中:

  1. 第一行为 Q 函数的定义,可由式 3-21 推出;

  2. 将式 5-48 带入第一行,便得到第二行的形式;

  3. 根据 log 的运算法则,便得到第三行;

  4. 将第三行的括号打开,便得到第四行的表达形式;

通过式 5-51, 我们看到 Q 函数可以表示为 3 个独立项的和,对 Q 函数求最大,可以分别表示为对每一项单独求最大。

求初始状态 π : 因为 π 表示 q_0 的取值概率,所以 π 的维度和 q_0 的取值数量相同为 N。其中式 5-51 第一项可以化简为:

又因为 \Sigma ^N_{k=1}\pi _k=1 , 所以我们将求解 \pi _k 转化为下面这个优化问题:

式 5-53 的拉格朗日函数:

其中式 \alpha 是拉格朗日乘子,然后分别对式 5-54 中的 \pi _i , 求导, 得:

变形可得:

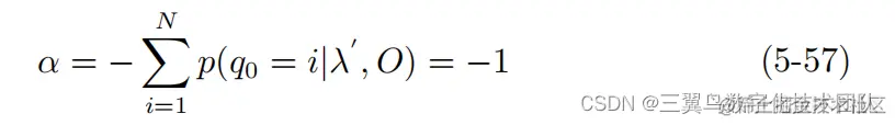
将式 5-56 的前 N 个方程左右两边分别相加,结合 \Sigma ^N_{k=1}\pi _k=1 可得:

将式 5-57 代入式 5-56, 求得:

由式 5-58 和式 5-59 便可以计算出所有的 π 值:

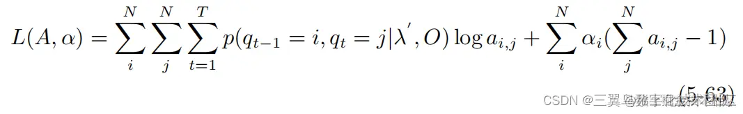
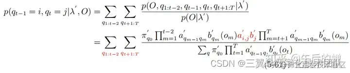
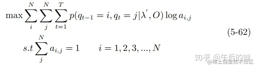
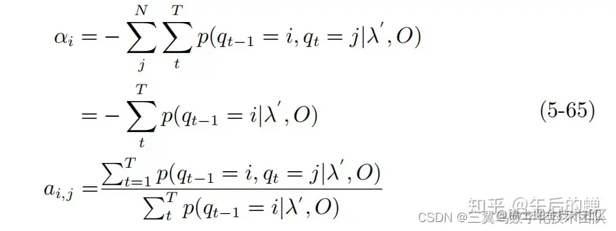
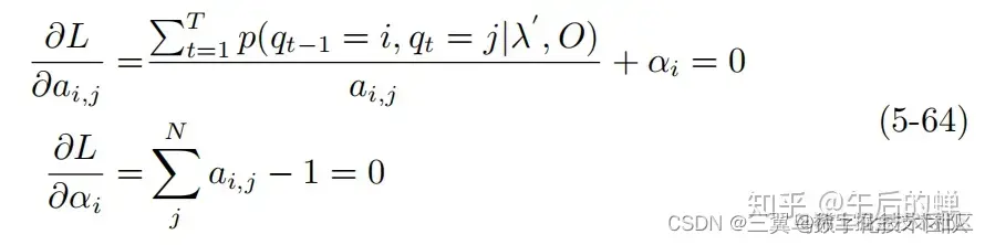
求转移矩阵 A={a_{i,j}} 我们化简式 5-51 中第二项 (关于 A的项):

在式 5-59 中 p(q_{t-1}=i,q_t=j|\lambda ',O), 可以通过全概率公式消掉隐变量序列 q_{1:t-2},q_{t+1:T},求解:

另外结合约束 \Sigma ^N_j a_{i,j}=1, 得到关于 A 的优化问题:

式 5-62 的拉格朗日函数:

同理,然后分别对式 5-63 中的 a_{i,j}\alpha _i 求导, 得:

求解方法与式 5-56 相同,求解式 5-64 可得:

通过式 5-65 可以求出状态转移矩阵 A。

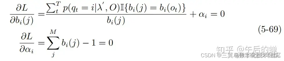
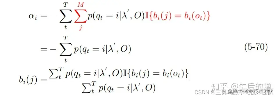
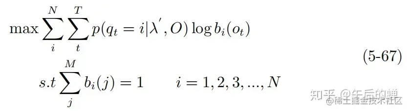
求观测矩阵 B={b{q_t}(o_t)} 我们化简式 5-51 中第三项 (关于 B 的项):

根据 B 的定义,我们易知 \Sigma ^M_j b_i(j)=1 ,所以关于矩阵 B 的优化问题是:

同理式 5-67 的拉格朗日函数:

然后分别对式 5-68 中的 b_i(j)\alpha _i 求导,其中注意式中的红色字体部分 o_t 是观测数据 O 在 t 时刻的状态,所以在求导时,若 b_i(o_t) 与被求导变量 b_i(j) 一致,则导数为 1, 否则为 0, 用指示函数 \Pi {b_i(j)=b_i(o_t)} 表示。综上得:

求解式 5-69 可得 (解方法与式 5-56 相同, 这里省了):

在式 5-70 中,在求解 \alpha _i 时,如红色字体所示,对于每一个时刻 t, 都存在一个 j 使 b_i(j)=b_i(o_t) , 所以指示函数 \Pi 可以去掉,得到 \alpha _i 的最终表达式。至此我们求解出参数 B 。然后我们通过 EM 算法不断的迭代,直到算法收敛,HMM 的所有参数 λ = {A, B, π} 将全部求解出来。

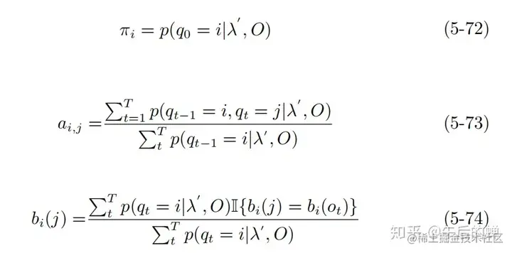
总结在第 k 轮 EM 迭代中,HMM 的参数求解公式如下:

6. 结束

本文主要探讨了 EM 算法的背景和原理。并应用 EM 算法求解机器学习中常用的 GMM 和 HMM 模型。本文侧重 EM 算法在 GMM 和 HMM 上的应用,希望大家对 EM 的原理有更进一步的理解,对 GMM 和 HMM 没有过细的分析。作者能力有限,文中难免存在理解不正确,或者描述不清的地方。欢迎留言讨论。

参考文献

[1] Bilmes: A Gentle Tutorial of the EM Algorithm and its Application to

Parameter Estimation for Gaussian Mixture and Hidden Markov Models

imaging.mrc-cbu.cam.ac.uk/methods/Bay…

[2] Yida.Xu: Expectation Maximization

roboticcam/machine-learning-notes

[3] LongMingsheng lecture

Mingsheng Long - Tsinghua University

[4] David Rosenberg: Expectation Maximization Algorithm

davidrosenberg.github.io/mlcourse/Ar…

[5] What is the difference between K-means and the mixture model of

Gaussian?

www.quora.com/What-is-the…

[6] Murphy: Machine Learning A Probabilistic Perspective